大规模MIMO信道估计算法研究毕业论文
2020-02-17 22:07:35
摘 要
随着信息时代的到来,移动通信正在深刻地改变着我们的生活,它不仅成为科技革命和产业变革的重要驱动力,更是国家经济增长的新引擎。而信道估计技术作为信号检测和自适应的基础,在目前的研究中显得尤为重要。
本文重点围绕适用于大规模MIMO系统的信道估计算法进行研究。文章的研究思路是由浅入深。作为引入,本文首先对蜂窝网络和天线系统的基本理论进行概述,为后面研究大规模MIMO系统的基本原理作必要的铺垫。接着建立了导频传输的系统模型,从而提出可获得良好估计质量的最小均方误差(MMSE)信道估计算法。为了理解MMSE信道估计算法的基本特性,本文分别考虑了空间信道相关性和导频污染对其性能的影响。结果表明,强本征方向比弱本征方向更容易估计,当用户设备具有几乎正交的相关特征空间,导频污染对估计质量的影响可以忽略不计。然后针对如何降低算法复杂度这一问题,提出了两种低复杂度算法,即EW-MMSE和最小二乘(LS)信道估计算法,对比分析总结以上介绍的三种算法的估计质量的优劣,结果表明,EW-MMSE估计器虽然也能提供较为良好的估计性能,但与MMSE估计器有很大差距,最小二乘估计器在低信噪比下性能很差,但在高信噪比时能提供良好估计。
关键词:大规模MIMO,信道估计,空间相关性,导频污染
Abstract
With the advent of the information age, mobile communication is profoundly changing our lives. It has not only become an important driving force for the technological revolution and industrial transformation, but also a new engine for national economic growth. As the basis of signal detection and adaptation,channel estimation technology is particularly important in current research.
This paper focuses on the channel estimation algorithm for large-scale MIMO systems. The research ideas of the article are from shallow to deep. As an introduction, this paper first summarizes the basic theory of cellular networks and antenna systems, and lays the foundation for the basic principles of large-scale MIMO systems. Then, a system model of pilot transmission is established, and a Minimum Mean Square Error (MMSE) channel estimation algorithm that can obtain good estimation quality is proposed. In order to understand the basic characteristics of the MMSE channel estimation algorithm, the spatial channel correlation and the influence of pilot pollution on its performance are considered. The results show that the strong eigendirection is easier to estimate than the weak eigendirection. When the user equipment has almost orthogonal correlation feature space, the influence of pilot pollution on the estimated quality is negligible. Next, two low-complexity algorithms, namely EW-MMSE and Least Squares (LS) channel estimation algorithm, are proposed to reduce the complexity of the algorithm. The comparative analysis summarizes the pros and cons of the estimated quality of the three algorithms introduced above. The results show that although the EW-MMSE estimator can provide better estimation performance, it is far from the MMSE estimator. The least squares estimator performs poorly at low SNR, but at high SNR. Provide a good estimate.
Keywords:massive MIMO, channel estimation, spatial correlation, pilot pollution
目 录
目 录 1
第 1 章 绪论 1
1.1 研究背景及意义 1
1.2 国内外发展现状 1
1.3 本文的结构 2
第 2 章 大规模MIMO技术介绍 4
2.1 蜂窝网络 4
2.2 天线系统的基本理论 5
2.2.1 传统的无线系统 5
2.2.2 多天线系统 6
2.3 大规模MIMO系统 7
2.4 本章小结 8
第 3 章 基于导频传输进行的信道估计算法 9
3.1 导频传输的系统模型 9
3.2 最小均方误差信道估计算法 9
3.3 空间相关性和导频污染的影响 12
3.3.1 空间相关性对信道估计的影响 12
3.3.2 导频污染对信道估计的影响 13
3.4 仿真与分析 14
3.5 本章小结 17
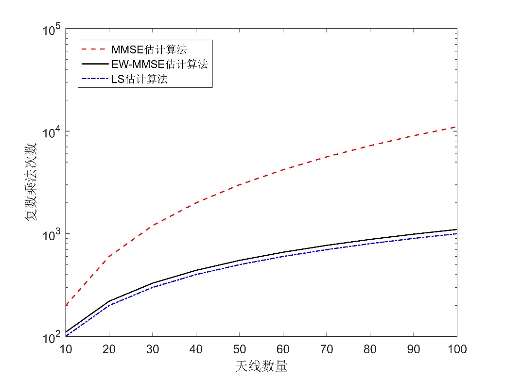
第 4 章 大规模MIMO系统低复杂度信道估计算法 18
4.1 计算复杂性 18
4.2 EW-MMSE信道估计 19
4.3 最小二乘信道估计 20
4.4 仿真与分析 20
4.5 本章小结 23
第 5 章 总结与展望 24
5.1 本文工作总结 24
5.2 未来研究展望 24
参考文献 26
绪论
研究背景及意义
在过去的20年中,全球的移动通信技术不断进步,与此同时,技术标准也在不断演进。目前第四代移动通信技术(4G)已在各国推行发展,新一代移动通信系统(5G)正成为信息时代国内外研究的重点和热点。无线通信技术已经从根本上改变了我们的交流方式。当电话、电脑和互联网出现之初,网络连接被限定为有线连接,并且只能在预先定义的位置上使用。有线传输的时代已经过去了,在部署了蜂窝广域网、局域网后,地球上几乎所用地方都可以无线接入网络,并提供卫星服务。同时,我们见证了流媒体的革命,在21世纪,音乐和视频可以通过互联网按需传送。展望10年以后的未来,我们将迎来今天所无法预想到的技术革新。
无线语音和数据通信的数量已经以指数增长了几十年,这种趋势被称为Cooper定律,这是因为在上世纪90年代,美国的一位无线研究员Martin Cooper研究发现,每两年半,语音和数据连接的数量就会翻倍,自从1895年古列尔莫·马可尼第一次无线传输开始。这相当于年增长率为32%。近年来,爱立信移动业务报告预测,移动数据将出现复合增长,2016年~2022年的数据流量年增长率将突破42%,这个数字甚至超过了Cooper定律。在可预见的未来,无线数据连接的需求肯定会爆炸增长。
大规模MIMO技术是当前蜂窝网络发展中的一个流行词汇,是下一代无线通信最有前途的技术之一,因为它有潜力改变通信网络的游戏规则。而信道估计作为大规模MIMO系统突破瓶颈的关键,是值得我们深入研究的课题。
国内外发展现状
MIMO技术最早是由Marconi于1908年提出的,它通过发送端和接收端都配备多根天线来提高传输数据速率、通信系统容量以及传输可靠性的技术[1],MIMO无线技术曾通过其创造性的优势在移动通信领域掀起一股新浪潮,并成为新一代无线通信系统中的关键技术[2].但传统MIMO技术在一定程度上来说仍然属于广义智能天线领域,主要是以空时处理技术和天线分集为设计原理,充分结合了二者的长处。然而,传统MIMO技术的瓶颈在于收发两端的天线数量非常有限,这成为通信系统和传输速率增加的幅度相对有限的主要原因[3]。因此,在无线通信领域急需一种新技术来打破僵局。
2010年,贝尔实验室的Thomas L.Marzetta第一次提出了了大规模MIMO技术的早期概念。其实它的诞生时间并不早,但由于其突破性的优势,大规模MIMO技术很快就成为无线通信领域中炙手可热的课题。
在大规模MIMO技术的概念提出的早期,无线通信技术的研究也尚处在起步阶段。由于缺乏相关的理论建模和实测建模,行业中并没有受到广泛认可的信道模型出现。研究工作中所涉及的信道传输方案大部分都是以2010年贝尔实验室的Thomas L.Marzetta提出的方案为基础[4],即都是以配备单天线的用户数目远远小于基站的天线个数的假设前提下,但实际情况却与理论有较大出入。
大规模 MIMO 技术与传统 MIMO技术相比, 有以下几个主要的变化:就物理层面上来看,传统MIMO系统的天线数目通常不多于8个,而大规模MIMO系统的天线数目通常不少于100个;从信道传输的角度来看,大规模MIMO提高了系统的信道容量,并且对信道矩阵有条件要求;另外,大规模MIMO系统的链路可靠性和抗噪性能较传统MIMO系统都有显著提升。
美国的Rice大学于2012年开发了基于WARP软件无线系统,研究测试表明,与单天线系统相比,采用简单下行波束赋型的实验系统在相同功耗条件下可以获得高达12.7倍的速率提升。瑞典的Lund大学于2014年完成了具有100根天线的大规模MIMO系统的传输实验。与此同时,工业界也在大规模MIMO技术以及毫米波的研究中取得了不少成果。2014年9月,华为携手中国移动推出了业界第一款支持大规模MIMO特性的基站产品,也是当时规格最大的多天线系统。另外,世界两大标准化组织 IEEE 和 3GPP也已经开展了对基于毫米波的大规模 MIMO的研究[5]。
为了降低导频污染对系统的影响,相关研究人员做出了很多努力。文献[6]提出了一种导频方案,能够提高大规模多小区多用户MIMO 系统的频谱效率, 尤其适用于具有大型阴影衰落差异的场景。针对信道路径数未知的大规模MIMO系统,文献[7]提出一种稀疏度自适应的压缩感知信道估计方法块稀疏自适应匹配追踪(BSAMP, block sparsity adaptive matching pursuit)算法。针对大规模 MIMO 通信系统中旋转离散傅里叶变换(DFT)码本的用户端码字搜索问题,文献[8]提出了一种低复杂度的码本搜索方法。所提出的搜索方法在保证了系统性能的同时显著降低了搜索复杂度,研究结果表明,随着天线数目的增加优势更加明显。
本文的结构
本文以大规模MIMO系统为核心深入展开研究,考虑在多小区多用户的场景下,以信道估计算法为主线,研究分析相关算法的性能。
第1章的工作重心主要是从论文的研究背景与意义和国内外研究现状两方面,介绍了大规模MIMO系统的发展历程,然后简要阐述了本文的研究思路和基本架构。
第2章首先对蜂窝网络和天线系统的理论进行了基本的介绍,详细研究了无线通信系统的基本形式,并对基本公式进行推导,最后对大规模MIMO系统的基本定义进行概述。
第3章主要是围绕大规模MIMO技术的信道估计算法这一课题进行深入的研究,首先提出基于UL导频传输的系统模型,进而引出利用统计特性来获得良好估计的最小均方误差(MMSE)信道估计算法,同时考虑到两大特性——空间相关性和导频污染对信道估计质量的影响,然后通过仿真验证假设。
第4章则将研究的侧重点放在如何降低大规模MIMO系统的算法复杂度这一问题上。首先介绍了算法复杂性的相关概念和计算依据,然后提出了两种低复杂度算法,即逐元素最小均方误差(EW-MMSE)和最小二乘(LS)信道估计算法,并设计参数通过仿真结果探究方案的可行性和有效性,最后总结评估三种算法的估计质量。
第5章在总结全文的同时,指出文章需要完善的方面并且对下一步的研究工作进行展望。
大规模MIMO技术介绍
蜂窝网络
无线通信是以无线电为基础的,即电磁波。电磁波的作用是将信息从发射机传送到一个或多个接收器。由于电磁波会从发射机向所有可能的方向传播,所以随着传输距离的增加,信号能量向外传播后能到达目的接收器的越来越少。贝尔实验室的研究人员在1947年假设,需要一种蜂窝网络拓扑结构,这种拓扑结构具有足够高的信号能量,并且覆盖范围足够广。根据这一想法,信号覆盖区域被划分为使用固定位置单独使用的单元——即基站,一种方便设备与网络之间无线通信的设备。在随后的几十年中,蜂窝概念得到了进一步的发展和深入研究,并在随后的实践中得到了应用。毫无疑问,蜂窝网络的概念是一个重大突破,在过去的近40年里,它一直是提供无线服务的主要驱动力。
蜂窝网络(Cellular network),又称移动网络(mobile network)是一种移动通信硬件架构,由于构成网络覆盖的各通信基地台的信号覆盖呈六边形,从而使整个网络像一个蜂窝而得名。如图2.1所示,蜂窝网络是由一组基站(base stations)和一组用户设备(user equipments)组成。每个用户设备都连接到向其提供服务的基站。下行链路(DL)指的是从基站到用户的传输,而上行链路(UL)指的是从用户到基站的传输。虽然这个定义规定了我们将要研究的基础,但它并没有涵盖蜂窝网络的每个方面:例如,为了实现小区之间的有效切换,一个用户设备可以暂时连接到多个基站。

图2.1 基本蜂窝网络示意图
另外,蜂窝网络也可以看成是由两个主要层组成的异构网络:
1.覆盖层:由室外蜂窝基站组成,提供广域覆盖、移动性支持,并在多个用户设备之间共享;
2.热点层:由(主要)室内基站组成,在小的局部区域为少数用户提供高吞吐量。
蜂窝网络最初是为无线语音通信而设计的,但现在主要是无线数据传输。流媒体传输占无线网络流量的大部分,也是预测流量增长的主要因素之一。目前使用的无线技术有几个分支,如无线局域网的IEEE 802.11系列、移动通信的第三代合作伙伴计划(3GPP)系列,以及与IS-95/CDMA2000/EV-DO竞争的3GPP2系列。这些系列中的一些标准是相互进化的。
区域吞吐量是衡量蜂窝网络的高度相关的性能指标。它以bit/s/km²为单位进行测量,可以使用以下公式进行建模:
| (2.1) |
其中,B是带宽,D是平均小区密度,SE是每个小区的SE。SE是每秒在1赫兹带宽上传输的信息量.
决定区域吞吐量的三个主要因素,由此可见,我们有三种主要方法可以提高蜂窝网络的区域吞吐量:
1.分配更多带宽;
2.通过部署更多基站来提高密度;
3.提高每个小区的频谱效率SE。
天线系统的基本理论
传统的无线系统
如图2.2所示,传统的无线通信系统往往只具有一根发射天线和一根接收天线,所以也称为单入单出(SISO,Single input single output)系统。

图2.2 SISO系统
根据信息论中我们所学习的香农定理:
| (2.2) |
其中C为信道容量,B为带宽,S/N为信道的信噪比。
多天线系统
如图2.3所示,典型的MIMO系统其中包含
个发射天线和
个接收天线,根据无线信道的特性可知,每个接收天线都会接收到不同发射天线的内容,因此不同收发天线间的信道冲击响应均有不同的表现形式。

图2.3 通用的MIMO系统
定义元素
为收发两端的传输链路增益,其中j表示接收天线,k表示发射天线,
1<j<
,1<k<
,由此可得传输信道矩阵H:
| (2.3) |
考虑收发天线之间的信道为窄带时不变系统时,可以得到MIMO系统的接收信号Y:
| (2.4) |
其中Y为
×1维的接收向量,X为
×1维的发送向量,n为
×1维服从高斯分布的信道加性高斯白噪声(AGWN,Addictive White Gaussian Noise)。
在MIMO系统中,发射天线的数据被分为几个独立的数据流,数据流M的数目一般小于或等于天线的数目,如果收发天线之间并不相等,那么数据流等于或小于收发端最小的天线数目。例如,3×3的MIMO系统可以用于传输3个及3个以下的数据流,而3×2的MIMO系统只能发送2个及2个以下的数据流。理论上来说,传输信道的容量随数据流数目线性增长,因此有如下公式:
| (2.5) |
对于目前的无线通信系统,有如下三种基本形式:
以上是毕业论文大纲或资料介绍,该课题完整毕业论文、开题报告、任务书、程序设计、图纸设计等资料请添加微信获取,微信号:bysjorg。
相关图片展示:













