梳状滤波器的设计与实现毕业论文
2020-02-17 21:46:49
摘 要
随着时代的进步,智能化、数字化、网络化逐渐成为生活发展的趋势,绚丽多彩的世界同样也伴随着越来越多的数据和信号产生,如广播信号、电视信号、网络信号等。伴随着这些数据的产生,人们对数据和信号的处理越来越看重。滤波技术作为信号处理中的基本技术,一直备受人们关注。
数字滤波器作为数字信号处理中重要的部分在数字信号处理领域中应用越来越广泛。梳状滤波器作为数字滤波器的一种,因其结构简单,所需存储空间小的特点,在实际运用中起了巨大的作用。
本文通过对数字滤波器的研究背景和发展方向进行研究,着重研究了两种主流数字滤波器:IIR数字滤波器、FIR数字滤波器,并分析其设计方法、系统结构、结构特点,并根据这两种数字滤波器的仿真频谱图像比较两种滤波器的优缺点。除此之外,文章也通过分析几种主流算法来学习数字滤波器的设计思路。论文的重要工作如下:
1.研究数字滤波器的研究现状和发展历史,分析数字滤波器的种类,以及各种滤波器的设计方法和结构特点。
2.研究梳状滤波器的发展历史和应用领域,分析其基本结构、参数特点,并分析其系统的幅频特性和相位特性。
3.利用Matlab设计一梳状滤波器应用于去噪系统中并仿真。
关键字:数字滤波器;IIR滤波器;FIR滤波器;梳状滤波器
Abstract
With the advancement of the times, intelligent, digital, and networked have gradually become the trend of life development. The colorful world is also accompanied by more and more data and signal generation, such as broadcast signals, television signals, network signals, etc. improve dramatically. With the generation of these data, people are increasingly concerned about the processing of data and signals. As the basic technology in signal processing, filtering technology has been receiving much attention.
As an important part of digital signal processing, digital filters are more and more widely used in the field of digital signal processing. As a kind of digital filter, the comb filter plays a huge role in practical application because of its simple structure and small storage space.
In this paper, through the research background and development direction of digital filter, two mainstream digital filters are studied: IIR digital filter, FIR digital filter, and its design method, system structure and structural characteristics are analyzed. The simulated spectral images of the two digital filters compare the advantages and disadvantages of the two filters. In addition, the article also learns the design ideas of digital filters by analyzing several mainstream algorithms. The important work of the thesis is as follows:
1. Study the research status and development history of digital filters, analyze the types of digital filters, and the design methods and structural characteristics of various filters.
2. Study the development history and application field of comb filter, analyze its basic structure, parameter characteristics, and analyze the amplitude-frequency characteristics and phase characteristics of its system.
3. Use Matlab to design a dressing filter to be applied to the drying system and simulate.
Key words: digital filter; IIR filter; FIR filter; comb filter
目录
第1章 绪论 1
1.1课题研究背景 1
1.2 数字滤波器的应用现状和研究意义 1
第2章 数字滤波器 3
2.1数字滤波器介绍 3
2.2数字滤波器分类 3
2.2.1数字滤波器系统 3
2.2.2 IIR数字滤波器 4
2.2.3 FIR数字滤波器 7
2.2.4 IIR滤波器与FIR滤波器对比 9
2.3数字滤波器设计算法 10
2.4本章小结 12
第3章 梳状滤波器 13
3.1梳状滤波器的介绍 13
3.2梳状滤波器基本结构和系统特性 14
3.3 拓展型梳状滤波器 16
3.3.1 相加型N阶梳状滤波器 16
3.3.2 相减型N阶梳状滤波器 17
3.3.3递归性梳状滤波器 18
3.4梳状滤波器实际应用 19
3.5 本章小结 20
第4章 基于梳状滤波器的降噪系统设计 21
4.1降噪系统介绍 21
4.2系统仿真分析 21
4.2.1滤波效果分析 21
4.2.2参数N和r对系统的影响 27
4.3本章小结 28
第5章 总结 29
参考文献 30
致谢 31
第1章 绪论
1.1课题研究背景
目前,数字信号处理技术已经逐渐成为一门热门高新技术,开始被越来越多的人们关注。随着社会经济的巨大发展和科技的进步,人们的生活质量日益增高,智能手机、移动电脑、平板电脑等高端科技产品逐渐在大众中流行,人们的生活工作交流日益增加。与此同时,网络技术和数据传输技术的重大突破,使得人们可以随时随地地上网交流,获取自己想要的资料和信息,人们交流开始突破地域和时间的限制。
同时,伴随计算机运算能力的大幅度提高,各种新型芯片和大规模集成技术的诞生,数字电路开始逐渐取代传统模拟电路,与之相关的算法和理论研究开始被人们广泛的运用到各个相关领域。数字滤波技术,作为数字信号处理技术中的重中之重,逐渐开始出现在各种滤波电路中。相比于传统的模拟滤波电路,数字滤波器拥有着集成度高、实用性强、精确度高、经济等特点,已经成为一门非常重要的实用技术并在诸多科学领域和工业领域,如数字电视、通信传播、图形识别、生物医学、遥控传感、航空航天等各个领域中发挥着不可缺少的作用。所以,对数字滤波器的性能研究和算法分析是大势所趋,对整个社会的科学进步和发展有巨大的作用和深远的意义。
作为数字滤波器的一员,梳状滤波器拥有结构简单、需要存储量小的特点,对各种复杂滤波电路具有极强的适应性,因其梳状滤波的幅频特性,能极大作用的降低信号采集时的混叠干扰,减少噪声的产生,提高信噪比,适用于各种信号的采集和处理,在彩色电视信号、光电信号系统、通讯系统、语音系统、矿井探测等领域中都发挥着巨大的作用。
1.2 数字滤波器的应用现状和研究意义
当前,随着微电子集成技术和计算机技术的不断发展,许多新型的大规模集成芯片和超大规模集成芯片的诞生,使得我们对数据信号处理的要求越来越高。数字滤波技术,通过算法功能来实现对信号的处理,从而达到降低信号噪声和提取有用信号的目标。对比与传统的模拟电路滤波,由于数字滤波器主要是通过对离散时间信号进行过滤处理,它不仅可以通过软件进行处理,也可以通过硬件进行实现,并且在这两种情况下,数字滤波器都有可以对实时信号和非实时信号进行滤波处理,除此之外,数字滤波技术避免了如温度、时间、电压等对电路性能的影响,极大地提高了滤波电路的可靠性。因此,数字滤波技术被广泛地运用到我国各行各业的领域中。
数字滤波器的研究历史早在上世纪40年代左右,就有学者提出讨论数字滤波的可能性问题,50年代大量学者开始在研究生课题上研究数字滤波。而作为数字滤波器里程碑的是上世纪60年代中期,美国科学家库利、图基等人总结的快速傅里叶变换算法(FFT)等成果。经过大量数据研究,在此基础上研究出的关于数字滤波器的正规算法理论。之后,大量数字滤波器的结构,算法和实现理论被人们提出,如Wiener滤波、Kalman滤波、中值滤波、自适应滤波算法和粒子滤波算法等[1],数字滤波理论体系在这一时期得到快速发展。到了90年代至今,大家主要致力于各种蕴含数字滤波器的电子产品的研究和开发。现在,人们大多根据数字滤波中滤波系统的单位冲激响应将数字滤波器分为有限冲击响应(FIR)数字滤波器和无限冲击响应(IIR)数字滤波器,并依此研究出相关的算法原理。
随着我国科技技术的迅速发展,大量高校和研究院开始在数字滤波领域展开长期深入的理论研究,大学教育也开始在信号与系统、数字信号处理这些课程中加入数字滤波等相关知识理论。除了理论的飞跃提升,硬件也有了巨大的发展,大规模集成和超大规模集成电路技术、微电子处理技术、高数数字运算单元技术、新型半导体技术等相继诞生。通过先进理论与硬件的结合,数字滤波器逐渐在航空航天、生物医疗、网络通讯、国防军事、日常生活电器等领域中崭露头角。
第2章 数字滤波器
2.1数字滤波器介绍
数字滤波器主要由加法器、数字乘法器、延时器等结构组成,可以分为传统数字滤波器和现代数字滤波器。传统数字滤波器的主要功能是利用离散时间系统的特性,通过对目标的离散信号进行一系列的数学处理将信号和噪声频率分离,进而过滤掉噪声频率信道,从而达到滤波的效果。现代数字滤波器主要是建立在信号和噪声随机性质的本质基础上,将噪声和信号作为随机信号,通过统计特性估计等一系列算法估计出信号本身,从而达到滤波的效果[2]。数字滤波器的应用范围较广,电压、电流、功率等波形信号都可以进行处理。
数字滤波器有多种方法实现信号的处理,实际运用中大多使用两种,一种为采用集成电路将各种所需元件集成组装,形成一个专用的滤波装置,这种实现设备称为数字信号处理机,这种硬件电路简单方便、成本低,适合在各种工作环境中使用。另外一种方法为软件处理,通常采用各种商用或者工控计算机通过专业软件模拟仿真,从而达到滤波效果,这种方式通常在实验室或者大型滤波项目中使用,成本较高不易大规模的生产。由于其使用的是软件模拟,可操作性高,能够模拟各种高阶运算,在高阶模拟和运算中具有极大的优势。
数字滤波器使用奈奎斯特采样定理对输入信号进行采样,所以其处理能力与系统采样频率有关。其系统的采样频率必须大于两倍的输入信号的频率分量,否则,数字滤波器就会在频谱上产生“混叠”而影响正常工作。如果超出1/2采样频率的频率分量不占主要地位,常用的解决方法是在A/D转换电路之前添加一个低通滤波器(即抗混叠滤波器)将超过的高频成分滤除,从而减少信号的频率避免产生“混叠”[3]。
2.2数字滤波器分类
2.2.1数字滤波器系统
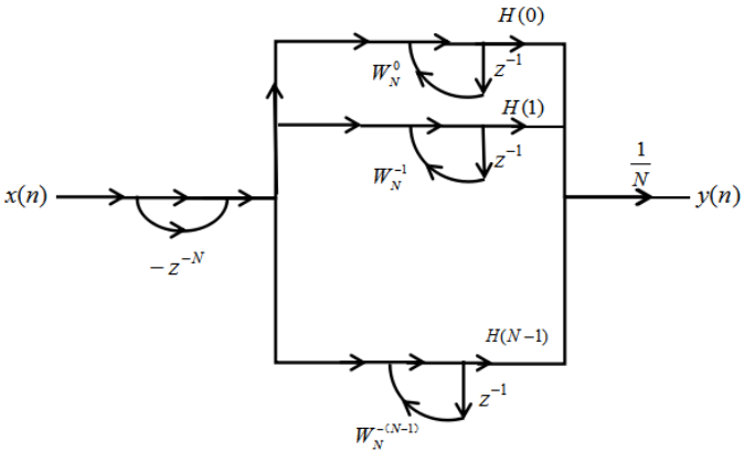
   数字滤波器主要是通过对离散输入信号进行傅里叶变换,得到频域信号,通过消除其中的噪声频率,从而达到滤波的效果,其系统如图2.1所示。
图2.1 数字滤波器系统
滤波系统时域函数关系:
                       (2.1)
差分方程表示:
               (2.2)
系统频域函数关系:
                     (2.3)
系统函数表示:
                         (2.4)
2.2.2 IIR数字滤波器
通常数字滤波器按照其系统的单位响应可以分为无限冲激响应(IIR)滤波器和有限冲激响应(FIR)滤波器,两种滤波器具有不同的特点。
IIR滤波器的系统如图2.2所示:
图2.2  IIR滤波器系统
系统函数:
            (2.5)
                        (2.6)
                     (2.7)
差分方程:
                    (2.8)
其阶数
,系统反馈环次数为m次,因为存在反馈,所以IIR数字滤波器的的单位响应无限长。由于模拟滤波器是无线长的冲激响应滤波器,IIR滤波器通常可以利用它进行仿真设计[4]。IIR滤波器设计的过程如下:首先根据所需滤波器参数要求设计出对应的模拟滤波器(如巴特沃斯滤波器、切比雪夫滤波器和椭圆滤波器等等),然后将IIR滤波器的系统函数通过算法换算(如脉冲响应不变算法、双线性映射算法等等)将模拟滤波器变换为数字滤波器,从而决定IIR滤波器的参数。但是,IIR滤波器系统为非线性相位,对非线性相位的运算会造成一定影响,对于输入不同的频率分量信号,其系统造成的相位差和频率不成正比,在输出会造成通带信号失真,除此之外,IIR滤波器还存在极点,从而导致其稳定性不能得到很好的保证。由于IIR滤波器结构存在输出到输入的反馈,通常采用递归性结构设计。
(1)IIR滤波器直接型
根据其系统函数可以直接推出其结构如图2.3所示:
图2.3  IIR滤波器直接型
从图3可以看出结构特点:所需的延时单元较多,系统调整比较复杂对滤波器的性能控制不直接,特别是阶数高时,对零极点的控制差,受有限字长影响较大,比较不稳定。
(2)IIR滤波器级联型
除此之外,通过对其系统函数进行因式分解可以得到以下形式:
 
=
                      (2.9)
其中
,为了简化形式,将式(2.9)中的分子分母中一阶子系统视为
和
为零的二阶子系统特例。则
可视为由实系二阶子系统构成的级联形式:
                (2.10)
                               (2.11)
从而可以得到
的级联分解结构如图2.4所示:
图2.4 IIR滤波器级联型结构
通过图2.4所示结构,可以看出级联型结构特点:实现简单所需存储单元少,能够流水线操作,系数调节方便,便于准确实现系统的零极点且方便控制和调整,零极点可以互换位置,方便组合和对系统的优化,但是受有限字长影响较大。
(3)IIR滤波器并联型
除了上述两种结构,IIR滤波器还可以通过对
的部分分式展开实现得到其并联结构。对式(2.9)展开得到以下公式:
       (2.12)
以上是毕业论文大纲或资料介绍,该课题完整毕业论文、开题报告、任务书、程序设计、图纸设计等资料请添加微信获取,微信号:bysjorg。
相关图片展示:








        
            
