基于软件无线电的CDMA通信系统发射机设计毕业论文
2020-02-19 20:35:14
摘 要
第三代移动通信技术(即3G技术)已在许多国家和地区得到广泛应用,目前,实现3G技术的方案有三种,即欧洲提出的WCDMA,美国提出的CDMA2000和中国提出的TD-SCDMA。这三种方案都采用了码分多址技术,本文对CDMA系统和软件无线电技术进行简要介绍。软件无线电的基本思想就是构造一个通用硬件平台,它可以将各种功能通过软件来完成。为了实现这个功能,系统将宽带模数变换器(A/D)及数模变换器(D/A)尽可能地靠近射频天线。CDMA是在无线通信上使用的技术,更是第三代移动通信的核心技术,它是在数字通信技术的分支扩频技术的基础上发展而来的。
本次设计主要研究CDMA通信系统及软件无线电技术在CDMA通信系统中的应用,设计基于软件无线电CDMA通信系统发射机,并进行仿真和性能分析。研究过程中,通过LABVIEW和MATLAB仿真,最后在XSRP实验平台上运行,发送遵照3GPP定义的WCDMA信号。
研究结果表明,通过仿真,可以在实验平台上发射出符合3GPP定义的CDMA信号,本文特色在于实验时可以通过对主界面各种参数进行调节,观察运行结果,比较运行结果的区别,进一步了解各个参数的作用及对实验效果的影响,加深学习效果。
关键词:LABVIEW;MATLAB;添加CRC比特;扩频与扰码
Abstract
The third generation mobile communication technology (3G technology) has been widely used in many countries and regions. At present, there are three schemes to realize 3G technology, namely WCDMA proposed by Europe, CDMA2000 proposed by the United States and TD-SCDMA proposed by China. They all adopt code division multiple access (CDMA) technology. This paper briefly introduces the CDMA system and software radio technology. The basic idea of software radio is to construct a general hardware platform, which can accomplish various functions through software. To achieve this function, the system puts the broadband analog to digital converter (A/D) and digital to analog converter (D/A) are as close as possible to the radio frequency antenna. CDMA is a technology used in wireless communication, and it is the core technology of the third generation mobile communication. It is developed on the basis of the branch spread spectrum technology of digital communication technology.
This design mainly studies the application of CDMA technology and software radio technology in the CDMA communication system, it designs a transmitter which based on software radio CDMA communication system, and carries out simulation and performance analysis. In the process of research, through the simulation of MATLAB and LABVIEW, and finally on the XSRP experimental platform, the WCDMA signal which conforms to the definition of 3GPP is transmitted.
The research results show that the simulation can be launched out on the experimental platform in line with the 3 GPP defined CDMA signals, this paper features experiments can be adjusted through to the main interface of various parameters, observation results, a comparison of the results, further explore the effects of various parameters and influence on experimental results, deepen study effect.
Keywords:LABVIEW;MATLAB;Adding CRC bits;spread spectrum and scrambling code
目 录
第1章 绪论 1
1.1 背景介绍 1
1.1.1 CDMA技术背景及其发展 1
1.1.2 软件无线电技术背景及发展 2
1.2 主要研究内容与安排 3
第2章 CDMA系统理论基础 4
2.1 扩频技术 4
2.1.1 香农信道容量 4
2.1.2 直接序列扩频通信系统 4
2.2伪随机序列码 6
2.2.1 m序列 6
2.2.2 Gold序列 6
2.3 信道化码 7
2.4 添加CRC比特 8
2.5 信道编码 8
2.5.1 卷积编码 9
2.5.2 Turbo码 10
2.6 加扰 10
2.7 信号同步 11
第3章 CDMA发射机设计与仿真 13
3.1 仿真软件介绍 13
3.1.1 MATLAB软件综述 13
3.1.2 LABIEW软件综述 13
3.2 CDMA发射机基本框图 15
3.3 信源编码 16
3.4 添加CRC校验位 17
3.5 扩频 18
3.6 加扰 20
3.7 整体框图 21
3.8 运行结果 22
第4章 结论 30
4.1 论文结论 30
4.2论文总结与展望 30
参考文献 31
致 谢 32
第1章 绪论
1.1 背景介绍
无线通信至今为止已经有超过100多年的历史,随着人们对通信需求的不断提高,WCDMA通信系统在2000年开始投入商用,它采用无线宽带传输,对信号进行编码加密,同时运用高阶的调制解调算法,相对于第二代移动通信技术,它具有大容量语音、高速数据和图像传输的优点。
1.1.1 CDMA技术背景及其发展
人们对通信需求的不断提高是CDMA技术出现及迅速发展的主要原因,第二次世界大战期间研究开发出了CDMA技术。而后,人们进一步发现它传输速率快,信息容量大和适用于多样化的环境等方面的优点,使CDMA技术得到飞速发展,并在世界各地得到了推广,迅速投入商用。
CDMA(Code Division Multiple Access)又称码分多址,是在无线通信上使用的技术,更是第三代移动通信的核心技术,它是在数字通信技术的分支扩频技术的基础上发展而来的。什么是扩频呢,简单的来说,扩频就是将频谱扩展,CDMA技术是通过将信号和另一路带宽远远大于传输信号带宽的伪随机码相乘再进行传输,通过这种特殊的码型处理,信号的能量被扩散到一个很宽的频带上,信息会被湮没在频谱上的噪声中,只有在接收端通过相同的码型解码,才能得到正确的传输信号。通过这种方法,可以初步实现信号的保密传输。
CDMA自1988年提出概念以来,迄今为止已经过去了三十多年,这三十多年来,CDMA技术由小到大,逐渐完善。现如今,CDMA多址接入技术包括三种候选方案:WCDMA,cdma2000,TD-SCDMA。这三种候选方案已成为第三代移动通信的主流标准。
CDMA2000是由窄带CDMA(CDMA IS95)技术发展而来的,这一标准由美国提出,主要厂商有高通、朗讯、摩托罗拉和北方电讯。cdma2000是基于3GPP2制定的全IP网络架构,其技术特点是反向信道连续导频、相干接收、前向发送分集,电磁干扰影响小等[1]。
    TD-SCDMA全称为Time Division-Synchronous CDMA,是由中国大唐电信公司提出的第三代移动通信标准,TD-SCDMA采用时分双工(TDD)技术,频谱分配上更加容易。TD-SCDMA系统上、下行使用相同频率,上、下行链路的传播特性相同,易于引进智能天线、多用户检测等新技术,有利于提高无线频谱利用率[2]。
WCDMA技术全称为Wideband CDMA,由欧洲标准化组织3GPP制定,是3G的主流体制。它的代表厂商有爱立信、诺基亚和NTT。WCDMA系统是宽带直接序列扩展码分多址系统,即用户的信息比特和来自CDMA扩频码序列集的伪随机码序列比特(也称为码片)相乘,得到频域内的宽带信号。WCDMA系统采用了可变扩频因子和多码传输技术,实现高速的物理连接(达2Mb/s),该系统的码片速率达3.84Mc/s,载波带宽约5MHz[2]。WCDMA的宽带特性支持高速的用户数据传送和更好的多径分集效果,网络运营商可以用多个小区层的方式实现多个载波间的空白频带是200kHz的倍数。
1.1.2 软件无线电技术背景及发展
无线通信是现代通信重要的一部分,它广泛应用于当代社会生活的各个方面,如卫星通信系统、短波通信系统、蜂窝移动通信系统、微波通信系统等等。以上各种通信系统都有自己的优点,依据它们各自不同的长处,不同的无线通信系统被应用于不同的场合。但由于各个系统工作频段、调制方式、编码加密方式的不同,极大地限制了不同系统之间互联互通,相互合作的能力。为了解决这个问题,各国科学家们进行了积极的探索。通过几十年的研究与发展,无线通信在不断的进步。通信系统由模拟体制不断向数字化体制过渡。
软件无线电的基本思想就是构造一个通用硬件平台,这个平台具有开放性、标准化、模块化的特点,它可以将各种功能通过软件来完成。为了实现这个功能,我们将宽带模数变换器(A/D)及数模变换器(D/A)尽可能地靠近射频天线[3]。由于软件无线电采用了标准化、模块化的结构,其硬件模块可以和不同的系统兼容,可以解决系统之间无法互通合作的问题,另一方面,由于通过软件来控制功能,可以通过增加新的软件模块来为通信系统增加新的功能。
软件无线电技术由于其优良的特点得到了迅速的发展,其具体发展可以分为以下几个阶段:
1992年5月,MILTRE公司的Jeo Mitola首次明确提出了软件无线电(soft radio)的概念。
1996年3月发起“模块化多功能信息变换系统”(MMITS)论坛,这是致力于软件无线电的第一个行业协会,1999年6月改名为“软件定义的无线电”(SDR)论坛。
2004年,Vanu公司成功通过了FCC(Federal Cmmunications Commission)认证,这是FCC首次批准商业化软件无线电技术。
2015年微软研究院软件无线电Sora正式通过GitHub开源,这个软硬件平台上的创新使得PC上可以完成高性能的无线信号处理[4]。
华为、中兴等公司已经在一些网络基础设施上运用了软件无线电技术,如小米公司红米手机2A里的LC1860智能芯片,这意味着一个无线新时代的到来,SDR正在应用到更多的产品和领域。现在,软件无线电技术正在支持着5G网络的发展。
软件无线电摆脱了针对用途而完全依赖于硬件的模式,通过一个通用的硬件,把系统从固定电路的方式中解放出来,把通信系统提高到一个新的高度。本次设计要求研究CDMA通信系统及软件无线电技术在CDMA通信系统中的应用,设计基于软件无线电的CDMA通信系统发射机,并进行仿真和性能分析。
1.2 主要研究内容与安排
本论文中,第1章主要介绍了软件无线电和CDMA技术的背景及发展,对软件无线电和CDMA技术形成了基本概念;第2章的内容是关于CDMA的一些基础知识和关键技术的介绍;第3章主要是描述实验的仿真过程;第4章对实验过程及结果进行了总结与分析,并对未来基于软件无线电的CDMA技术做了进一步的展望。
第2章 CDMA系统理论基础
2.1 扩频技术
扩频就是将频谱扩展,CDMA技术是通过将信号和另一路带宽远远大于传输信号带宽的伪随机码相乘再进行传输,通过这种特殊的码型处理,信号的能量被扩散到一个很宽的频带上,信息会被湮没在频谱上的噪声中,只有在接收端通过相同的码型解码,才能得到正确的传输信号。
2.1.1 香农信道容量
信道能传输信息的最大能力称为最大数据速率或信道容量,记为比特/秒。信道容量越大,信道的传输能力就越强。在实际应用中,信道容量应该大于传输速率,否则信号传输过程中码元信息会丢失或有误码。另外,数据信号一般在模拟信道或者数字信道中传输。
假设系统无码间串扰,信号的理想带宽为B(Hz),信道的最大信息容量可以由香农定理确定,香农定理的公式表达式如下:
                                 (2.1)
通过上面公式提供的运算关系,为了维持同样大小的信道容量,我们可以通过调整信道的带宽(B)或者信噪比(S/N)来达到目的,即信道容量可以通过系统带宽与信噪比的互换而保持不变[5]。
2.1.2 直接序列扩频通信系统
随着时间的推移和技术的发展,扩频通信的应用逐渐由军事领域发展到民用领域,图2.1所示为一个典型的扩频通信系统框图:

图2.1 扩频通信系统框图
该通信系统发送端由信源,编码,扩频,调制四个单元组成,而接收端则由信宿,译码,解扩,解调四个单元构成,下面分别对各单元加以介绍。
信源是发送信号的单元,信宿则是与信源相对应接收信号的单元。编码和译码则包括信源编译码和信道编译码。信源编码可以压缩数据,去除冗余信号,提高信号的有效性;信道编码是在信道中加入一定的监督码元,这种方法虽然会加大信号的冗余度,但却使信号具有检错和纠错的能力,提高了信号传输的可靠性。调制与解调则是信道传输的必需步骤,通过调制,将数字信号转换成模拟信号在信道中进行传输,而解调则将接收到的信号还原为数字信号,以便对信号进行下一步的处理。
直接序列扩频通信系统(DS-SS)将要传输的信息信号和高速率的伪随机码相乘,用载波进行调制后将信号发射出去。图2.2和图2.3分别为直接序列扩频通信系统发射机和接收机的简化框图。

图2.2 直接序列扩频通信系统发射机的简化框图

图2.3 直接序列扩频通信系统接收机的简化框图
2.2 伪随机序列码
2.2.1 m序列
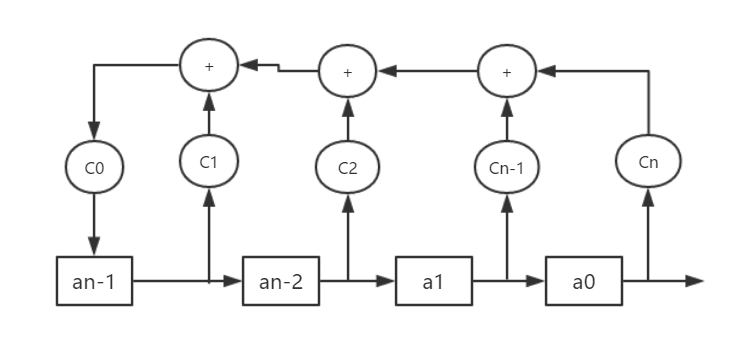
伪随机序列码有一定的随机性,由移位寄存器产生,具有良好的相关特性。其中m序列是最长线性移位寄存器序列的简称,它是由多级移位寄存器或者其他延迟元件通过线性反馈产生的最长的码序列[6]。图2.4是产生m序列的基本结构图,它由n级线性移位寄存器、移位脉冲产生器和模2加法器组成,C0=1,Cn=1。

图2.4 m序列产生原理图
按图中线路关系,可得到递推方程:
           (2.2)
移位寄存器能否产生m序列,取决于它的反馈系数
,由于反馈的存在,寄存器的输出端受到输入端的控制。反馈系数的值可以用特征多项式表示:
             (2.3)
式中x的取值并没有实际意义,
仅指明系数
的值,若反馈寄存器的特征多项式为本原多项式,则移位寄存器产生的序列为m序列。若寄存器初始状态为全0,容易看出移位后得到的序列全为0,要避免出现这种情况。n级移位器存器有
种状态,去除全0状态,可得m序列的周期为
。
2.2.2 Gold序列
本次实验中CDMA系统中采用Gold序列作为扰码。Gold序列由两个互为优选对的m序列相加构成。Gold序列具有以下特性:
(1)Gold码序列具有三值自相关特性,其旁瓣的极大值满足优选对条件。
以上是毕业论文大纲或资料介绍,该课题完整毕业论文、开题报告、任务书、程序设计、图纸设计等资料请添加微信获取,微信号:bysjorg。
相关图片展示:








        
            
