高强耐摔手机背板玻璃研究毕业论文
2021-12-04 19:28:52
论文总字数:23346字
摘 要
玻璃前后盖是显示产业的关键基础材料,广泛用于触控式手机和平板电脑等显示领域。随着5G和无线充电技术的普及,玻璃已成为移动终端前后盖材料的首选。然而,国内现有的中高铝玻璃的抗跌落和耐划伤等性能等已不能满足通信新技术带来的更薄更强的挑战。本文以手机背板微晶玻璃为研究目标,选用Na2O-MgO-Al2O3-SiO2系统,以TiO2作为晶核剂,采用DSC、XRD、SEM等测试技术,研究了MgO含量对玻璃析晶性能的影响,探索合适的玻璃组成,最后采用化学强化方法,对制备好的微晶玻璃样品进行两步法离子交换以形成压应力层,从而提高玻璃的机械性能。
研究结果表明,随着MgO含量的下降(被Na2O替代),玻璃化转变温度降低,相同温度下热处理时MgO含量低的玻璃组成析晶程度明显增强。这是因为随着Na2O含量的增加,玻璃内部网络结构逐渐变得疏松,热稳定性下降,这有利于晶体析出。同时当基础玻璃组成中Al2O3含量较低时(11.57 mol %),析出晶体主要为TiO2,MgTi2O5和Mg2SiO4,而当Al2O3含量较高时(14.57 mol %),析出晶体主要为霞石(Na6.8Al6.3Si9.7O32),这是因为本实验高Al2O3含量系列组成的玻璃其氧化物比例更接近理想霞石的化学组成(Na2O : Al2O3 : SiO2 = 1 : 1 : 2)。优先考虑玻璃透明性,以及可控析晶的要求,选择Al2O3为14.57 mol%,MgO为10 mol%组成的玻璃在650℃保温2h制备微晶玻璃。最后对微晶玻璃进行离子交换增强,离子交换后微晶玻璃表面压应力值为1014MPa,显微硬度平均值为842.67kgf/mm2,获得了符合预期的高强耐摔手机背板玻璃。
关键词:霞石微晶玻璃、离子交换、高强度。
Abstract
Glass front and back cover is the key basic material of display industry, which is widely used in touch mobile phones, tablet computers and other display fields. With the popularization of 5g and wireless charging technology, glass has become the first choice of front and rear cover materials of mobile terminals. However, the drop resistance and scratch resistance of the existing high alumina glass can not meet the challenge of new communication technology. In this paper, taking the back plate glass ceramics of mobile phone as the research goal, the Na2O-MgO-Al2O3-SiO2 system, TiO2 as the nucleating agent, DSC, XRD, SEM and other testing technologies are used to study the effect of MgO content on the glass devitrification performance, and explore the appropriate glass composition. Finally, the chemical strengthening method is used to carry out two-step ion exchange on the prepared glass ceramics samples to form the compressive stress layer, So as to improve the mechanical properties of glass.
The results show that with the decrease of MgO content (replaced by Na2O), the glass transition temperature decreases, and the crystallization degree of glass with low MgO content increases obviously under the same temperature. This is because with the increase of Na2O content, the internal network structure of the glass gradually becomes loose, and the thermal stability decreases, which is conducive to crystal precipitation. At the same time, when the Al2O3 content in the basic glass is low (11.57 mol%), the precipitated crystals are mainly TiO2, MgTi2O5 and Mg2SiO4, while when the Al2O3 content is high (14.57 mol%), the precipitated crystals are mainly nepheline (Na6.8Al6.3Si9.7O32), which is because the oxide ratio of the glass with high Al2O3 content series is closer to the ideal nepheline chemical composition (Na2O: Al2O3: SiO2 = 1 : 1 : 2). The glass ceramics with Al2O3 of 14.57 mol% and MgO of 10 mol% were prepared at 650 ℃ for 2 hours. Finally, the glass ceramics were strengthened by ion exchange. After ion exchange, the surface compressive stress value of the glass ceramics was 1014MPa, and the average microhardness value was 842.67kgf/mm2.
Key words: Nepheline glass ceramics, ion exchange, high strength.
目录
第一章 绪论 1
1.1 研究背景 1
1.1.1 智能手机用玻璃概况 1
1.1.2 手机背板玻璃性能要求 1
1.1.3 国内外研究现状 2
1.2 玻璃的强化 4
1.2.1 化学强化 4
1.2.2 微晶玻璃 5
1.2.3 霞石 6
1.3 本课题研究内容 7
第二章 微晶玻璃样品制备与测试 8
2.1 玻璃设计 8
2.1.1 基础玻璃成分设计 8
2.1.2 玻璃原料 8
2.1.3 实验设备 9
2.2 微晶玻璃制备 9
2.2.1 基础玻璃熔制 10
2.2.2 不同温度下热处理 10
2.2.3 微晶玻璃的制备 10
2.3 玻璃样品测试 11
2.3.1 差式扫描量热法(DSC) 11
2.3.2 X射线衍射分析(XRD) 11
2.3.3 扫描电子显微镜(SEM) 11
2.3.4 全自动显微硬度仪 12
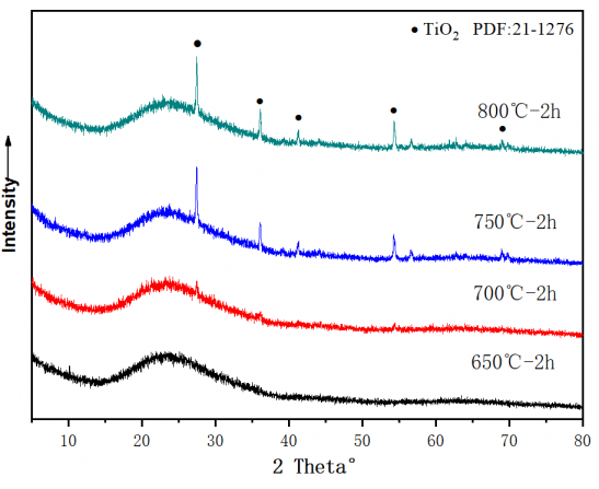
第三章 MgO含量对Na2O-MgO-Al2O3-SiO2系统玻璃析晶性能的影响 13
3.1 低铝成分下MgO含量对玻璃析晶性能的影响 13
3.1.1 DSC结果分析 13
3.1.2 不同温度下热处理后结果分析 14
3.1.3 XRD结果分析 15
3.2 高铝成分下MgO含量对玻璃析晶性能的影响 17
3.2.1 DSC结果分析 17
3.2.2 不同温度下热处理后结果分析 18
3.2.3 XRD结果分析 19
3.2.4 SEM结果分析 21
3.3 小结 22
第四章 霞石微晶玻璃离子交换增强 24
4.1 离子交换与强度测试 24
4.1.1 离子交换制度 24
4.1.2 显微硬度测试 24
4.2 结果分析 25
第五章 实验结论 26
参考文献 27
致谢 28
附录 29
第一章 绪论
1.1 研究背景
1.1.1 智能手机用玻璃概况
智能手机自2007年正式问世后,屏幕保护材料经历树脂等高分子材料,至今全部采用表面不易出现划痕且强度较高的化学强化玻璃。
玻璃前后盖是显示产业的关键基础材料,广泛用于触控式手机和平板电脑等显示领域。目前包括苹果,华为,三星等品牌90%以上的旗舰机型基本采用由美国康宁公司提供的高强度,耐磨损的化学钢化玻璃材料[1]。康宁公司先后开发了大猩猩(Gorilla)第1代至第6代系列玻璃,并将化学增强技术应用到Gorilla玻璃的研制中,每一代玻璃的各种性能都不断提高,特别是Gorilla 6玻璃制成的智能手机屏幕在机械性能上能满足从1m高度连续15次跌落到粗糙地面上,仍然完好无损,其性能比Gorilla 5增加两倍以上。与此同时,德国肖特公司、日本旭硝子公司、电气硝子株式会社等都相继研发出不同性能和强度的智能手机玻璃。国内各个玻璃生产企业也不甘示弱,如南玻集团,东旭集团,中建材凯盛公司、海南特玻等都相继建成了手机玻璃生产线。
科技发展日新月异,智能手机也发展迅速,2019年智能手机全球出货量15.4亿台,其中我国智能手机市场总的出货量就为3.7亿台,相应的盖板和背板的需求也日益增长,未来每年手机的前盖板和后背板玻璃用量初步估计可达7~8亿片[1]。此外对手机前后玻璃的质量要求也相应提高,随着5G和无线充电时代的到来,一方面由于5G频率较高,传统的金属后盖吸收信号的缺点更为突出。另一方面,金属对电磁波有很大的屏蔽作用,结果电磁波在穿透金属外壳时将产生较大的能量损耗,从而使手机的无线充电性能衰减。这就导致了未来智能手机不能使用金属后盖而必须采用玻璃或者微晶玻璃外壳。由此可见未来玻璃外壳(前后盖)等将会有着巨大的实用价值和广阔的前景。
1.1.2 手机背板玻璃性能要求
手机背板主要起到保护手机内部硬件和显示器的作用,智能手机背板玻璃发展至今已经多种多样,从玻璃功能来说,有抗指纹、防雾等;从成分上来说,有钠钙硅酸盐、高铝硅酸盐等;化学增强方法有一步法、两步法、多步法等[2]。但对手机背板玻璃性能都有一定要求:(1)力学性能。包括化学增强前的泊松比、弹性模数、维氏硬度、断裂韧性等参数,以及化学增强后对应的相关数据都满足一定的强度要求。对未化学增强的玻璃其维氏硬度(200g负荷)要求在5194 MPa(530 kgf/mm2)以上,增强后硬度要求在6272 MPa(640 kgf/mm2)以上。(2)化学稳定性。手机背板需要长时间的暴露在空气中,经常会受到汗水、大气污染物等的腐蚀,在玻璃基片制备和储存过程也容易产生风化现象,因此所制备的背板玻璃的化学稳定性就显得十分重要。其稳定性通常以5%HCl溶液在95℃下侵蚀24h的失重来表示;也有用10%的HF在20℃下侵蚀20min的失重;以及用5%NaOH在95℃下侵蚀6h的失重来表示[1]。(3)热学性质。手机背板玻璃还需满足一定的热学要求,其热膨胀系数不能太大,一般不得高于88×10-7 /℃ (0~300℃)。
请支付后下载全文,论文总字数:23346字
相关图片展示:





您可能感兴趣的文章
- 利用污泥和低质粉煤灰制备高强度陶粒外文翻译资料
- 注蒸汽井中硅含量对水泥石抗压强度的影响外文翻译资料
- 碳纳米管和二氧化锰纳米粒子修饰的少层石墨烯在高性能超级电容器中的应用外文翻译资料
- 高能MnO2纳米线/石墨烯和石墨烯不对称电化学电容器外文翻译资料
- 影响立式辊磨机性能的操作参数外文翻译资料
- 水泥行业立式辊磨机及其性能参数研究进展外文翻译资料
- 立式辊磨机遇滚磨机基于能量的比较外文翻译资料
- 一种工作在500℃以下用于固体氧化物燃料电池的铌和钽共掺杂钙钛矿阴极外文翻译资料
- 层状钙钛矿A位缺陷的理解: 促进质子陶瓷电化学电池水氧化和氧还原的双反应动力学外文翻译资料
- 基于细菌纤维素/木质素的柔性高石墨化碳气凝胶: 无催化剂合成及其在储能装置中的应用外文翻译资料


