Sol-Gel制备锂铝硅非晶材料的析晶性能研究毕业论文
2020-02-19 15:54:42
摘 要
本文借助溶胶-凝胶法来制备LAS系粉末材料和LAS系膜层材料。溶胶-凝胶法制备的样品粒子微小,纯度高,该方法具有材料反应活性高,工艺简单,良好的混合均匀性,热处理温度低等的优点。论文主要研究了LAS系溶胶粘度随溶胶水解温度以及PEG添加量的变化规律,热处理工艺对LAS非晶材料的析晶性能的影响,溶胶的水解温度对LAS系膜层材料的质量的影响。所用测试手段有XRD、SEM、DSC、电子探针、旋转粘度计。研究结果表明:
(1)随着热处理温度的转变,LAS非晶材料的析晶情况也发生变化,600℃时未出现析晶现象,1000℃时析出的主晶相为锂铝硅石,1150℃时主晶相为锂铝硅酸盐,1300℃时主晶相为锂辉石,1350℃时,晶相消失,玻璃相出现。
(2)水解温度的改变和热处理步骤对LAS膜层质量的改善效果不大,只有水解温度为50℃,常温下晾干这个条件下的膜层材料的开裂情况有所改善。膜层质量较差的原因是LAS胶粒粒径较大且膜层干燥时存在一定的收缩压。
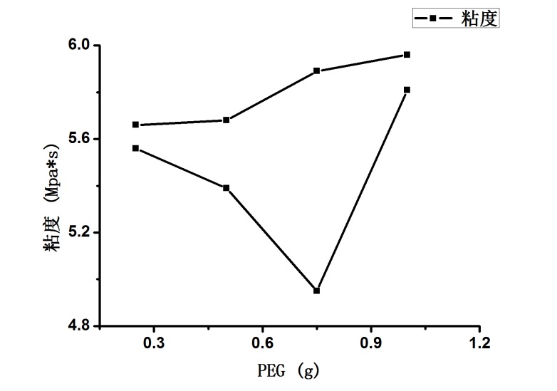
(3)PEG对溶胶粘度的影响比较复杂,在陈化前期,PEG对溶胶的分散作用占主要地位,随着PEG含量的增多,溶胶粘度降低;在陈化后期,PEG吸引水分子的作用是主要的,随着PEG含量的增加,溶胶粘度增加。
本文的特色:利用不同的热处理制度对LAS系粉末进行烧结来分析析晶情况的不同。
关键词:溶胶-凝胶法;析晶;LAS膜层材料;PEG
Abstract
In this paper, LAS-based powder materials and LAS-based film materials were prepared by sol-gel method.The sample prepared by the sol-gel method has small particles and high purity, and the method has the advantages of high material reactivity, simple process, good mixing uniformity, low heat treatment temperature and so on.The paper mainly studied the variation of sol viscosity of LAS system with sol hydrolysis temperature and PEG addition, the effect of heat treatment process on the crystallization properties of LAS amorphous materials, and the effect of sol hydrolysis temperature on the quality of LAS film materials. The test means used were XRD, SEM, DSC, electron probe, and rotational viscometer.Research indicates:
(1)With the transformation of heat treatment temperature, LAS crystallization of amorphous materials is also changing, No crystal was precipitated at 600 ℃, and the main crystal phase was LiXAlXSi3-X when heat treated at 1000℃,was Li2O·Al2O3·7.5SiO2、LiAlSi3O8 and Li0.6Al0.6Si2.4O6 at 1150,was spodumene at 1300,and all the crystal phase disappeared in 1350 ℃, whilw glass phase was obtained.
(2)LAS film quality nearly has not been affted by hydrolysis temperature and heat treatment process, but the membrane layer cracking situation was improved when the hydrolysis temperature of sol was 50 ℃ and the film was dried at normal temperature.The reason why the film quality is poor is that LAS colloidal particle size is large and there is a certain systolic pressure when the film is dry.
(3)The effect of PEG on sol viscosity is complex. In the early aging stage, PEG plays a dominant role in sol dispersion. With the increase of PEG, sol viscosity decreases. In the later stage of aging, PEG plays an important role in attracting water molecules. With the increase of PEG content, the sol viscosity increases.
The characteristics of this paper: the LAS series powder is sintered by different heat treatment systems to analyze the difference of crystallization conditions.
Key Words:Sol-gel method;crystallization; LAS membrane material;PEG;
目录
第1章 绪论 1
1.1引言 1
1.2 溶胶-凝胶法概述 1
1.2.1 溶胶-凝胶法的基本概念及原理 1
1.2.2溶胶-凝胶法的特点 3
1.2.3溶胶-凝胶法国内外研究概况及发展趋势 4
1.3溶胶-凝胶法制备LAS系非晶材料 5
1.3.1LAS系溶胶的特点 5
1.3.2热处理工艺对LAS系非晶材料的影响 5
1.4溶胶-凝胶法镀膜 6
1.4.1溶胶-凝胶法镀膜的方法及特点 6
1.4.2溶胶-凝胶法镀膜的影响因素 6
1.5主要研究内容及目的意义 7
1.5.1主要研究内容与方法 7
1.5.2研究的目的及意义 7
第2章 实验及分析测试 9
2.1LAS系非晶材料的制备 9
2.1.1组成的确定 9
2.1.2溶胶与凝胶的制备 11
2.1.3凝胶的热处理 11
2.2LAS系膜层材料的制备 11
2.2.1水解温度的确定 11
2.2.2载玻片的清洗 12
2.2.3提拉镀膜法镀膜 12
2.3性能测试 12
2.3.1溶胶粘度 12
2.3.2差热扫描分析 13
2.3.3X射线衍射分析 13
2.3.4电子探针分析 13
2.3.5扫描电镜分析 14
第3章 结果与讨论 15
3.1热处理工艺对LAS非晶材料的析晶性能研究 15
3.2PEG含量及水解温度对溶胶粘度的研究 18
3.3水解温度对溶胶所镀膜层质量的影响 20
第4章 结论 23
第1章 绪论
1.1引言
溶胶-凝胶法是一种新工艺,通过水解缩聚,然后运用不同的后处理步骤,如凝胶化和晶化等来获得氧化物或其它化合物的新方法[1]。利用其它常规的方法例如传统的熔融法、烧结法、高分子网络凝胶法[2]等,溶胶-凝胶法制备的样品粒子更加微小,所以在混合均匀性方面有所提高,产品的纯度也更高,此外,此方法还提高了材料的反应活性,简化了一些复杂的过程,有效的降低了热处理温度等[3]。溶胶-凝胶法可以通过改变工艺以制备不同形式的产品,如干燥凝胶得到粉末,利用溶胶镀膜得到膜层材料等,且制备的样品可以准确还原原配方的化学计量。不同的原料配比,不同的热处理工艺等都会对最终样品产生很大的影响,不同的样品形式也可以应用于多个方面。Li2O-Al2O3-SiO2(简称LAS)系非晶材料有许多优良的性能,比如在小的温度变化范围内具有良好的热稳定性和化学稳定性,热膨胀系数低,体积变化很小,是一种应用十分广泛的优质材料。利用溶胶凝胶法制备LAS系不同形式的产品比如LAS系膜层材料和LAS系非晶材料等具有广阔的研究前景。
1.2 溶胶-凝胶法概述
1.2.1 溶胶-凝胶法的基本概念及原理
溶胶体系中的胶粒粒径多为1-100nm,,分散介质为液体时,这些胶粒会悬浮在介质中,进行布朗运动,这一现象可以运用丁达尔效应来验证。按照分散介质来对溶胶进行分类的话,可分为以下几类:①液溶胶或者简称为溶胶(sol),其分散介质为液体②气溶胶,其分散介质为气体,气溶胶在陈化变成起凝胶过程中,气体会进入结构内部的孔隙中去③固溶胶,其分散介质为固体。凝胶是一种非流动半固态的分散体系,溶胶中的胶体粒子和大的高聚物分子联系在一起,使空间网络结构不断地发展,此时,溶胶的流动性会不断的变差,液溶胶中的液体或是气溶胶中的气体会进入网状结构的孔隙中,从而逐渐形成凝胶。湿凝胶在干燥后形成干凝胶或气凝胶。溶胶和凝胶的物理性能存在很大的差异,针对形态来说,溶胶没有固定的形状,具有流动性;凝胶有固定的形状,流动性较差。
溶胶形成的第一步也是最重要的一步就是水解缩聚,在这一步会生成微小的粒子,这些粒子本身会带有电荷,从而能够吸引溶剂中的其他分子,形成一个包裹的结构,这就是溶胶中的胶体粒子,此外,因为粒子本身带电,从而使胶体粒子也带上电荷,这样胶体粒子之间就会相互排斥,从而悬浮在介质中,形成溶胶。在放置陈化的过程中,胶体粒子会逐渐失去电荷而且外层的溶剂分子也会被破坏,这样溶胶中悬浮的胶体粒子就会聚集在一起,即发生聚合作用,最后溶胶逐渐失去流动性固化成为凝胶。溶胶是否向凝胶发展,也是存在条件的,如果胶体粒子间的作用力可以克服凝聚时的阻挡作用,那么溶胶就可被转化为凝胶[4]。为了促进溶胶转化为凝胶,有以下几个可以用到的方法,比如,胶体颗粒的带电量减少,从而可以降低胶粒聚集时受到的阻挡作用;溶胶的稳定性也可以利用位阻效应和溶剂化效应降低 [5]。
溶胶-凝胶法是制备材料的湿化学方法,并且被分为很多类型,其中最基础的是采用采用金属醇盐为起始原料,其基本原理是金属醇盐或其他反应物首先与水发生水解反应,反应过程如式(1)所示:
M(OR)n xH2O→M(OH)xORn-x XROH (1)
其中:M为价态为n的金属;-OR为烷氧基
在水解反应结束前,缩聚反应已经发生,反应过程如式(2)、(3)
失水缩聚:‐M‐OH HO‐M →‐M‐O‐M‐ H2O (2)
失醇缩聚:‐M‐OR HO‐M →‐M‐O‐M‐ ROH (3)
均匀溶液转变为溶胶从根本上来说就是醇盐或醇类物质发生了水解反应并缩聚,因此为了获得高质量的溶胶就要保证醇盐或醇类物质水解和缩聚过程的顺利进行。制得的溶胶将陈化转变为凝胶,在这个过程中,胶体粒子逐渐聚集形成网络结构,体系逐渐趋于稳定。对于实际应用来说,制品的成型过程就在溶胶转变为凝胶的过程中或过程后进行,比如利用溶胶镀膜,就是用的陈化三天之后逐渐稳定的溶胶,此外还有浇注,形成纤维状等。从均匀的溶胶向湿凝胶转变需经过陈化这一步骤,而湿凝胶到干凝胶的转变针对不同类型的溶胶有不同的办法,液溶胶直接放入烘箱干燥即可得到干凝胶,气溶胶需要经过溶剂置换等步骤再放入烘箱干燥最后得到气凝胶。溶胶-凝胶法制备材料的基本工艺过程如图1.1所示。原料有金属醇盐(或无机盐),醇类,水,催化剂(此系统利用酸性催化剂),首先将金属醇盐(或无机盐)溶于适合的醇类中进行水解,然后边搅拌边加入一定量的水和催化剂,水解温度根据实验需求制定,当温度较高时,冷凝回流装置是必要的,搅拌一定时间形成溶胶,然后将溶胶陈化一段时间之后放入烘箱中干燥得到干凝胶。最后对干凝胶进行热处理,得到成品。若是需要利用溶胶-凝胶法制备膜层材料,则将得到的溶胶陈化三天左右,即可直接镀膜。
金属醇盐(无机盐)、溶剂(醇类)、水、催化剂
溶胶
湿凝胶
成品
干凝胶
水解缩聚聚
陈化
镀膜、成纤、成型
干燥
热处理
图1.1 溶胶-凝胶法制备材料的基本工艺过程
1.2.2溶胶-凝胶法的特点
溶胶-凝胶法是制备材料的湿化学法,与其他传统的制备方法相比有许多优点,同时也存在一些缺点,具体介绍如下:
(1)溶胶-凝胶法最大的特点是降低了样品的烧结温度。溶胶在室温下即可制备,其陈化为凝胶这一步骤也可在室温下进行。而且运用此方法,干凝胶的热处理温度接近Tg,比传统的熔融法和烧结法低了400-500℃,这远低于玻璃的熔化温度,可以减少燃料的使用以及有害气体的排放等。
(2)溶胶-凝胶法制备的系统具有较高的均匀性,并且可达分子水平之上,这使得该体系可以进行有选择掺杂,并且该产品的纯度很高。溶胶-凝胶法的原料液体较多,易溶于溶剂中,并且相对容易混合均匀。反应在初期得到控制,使制备的样品可以还原原配方化学计量,使产物的均匀性提高[6]。
(3)溶胶-凝胶法制备薄膜时对基底的面积和形状要求不高,使用的仪器也比较简单,这简化了传统制备膜层的方法,溶胶-凝胶法制备膜层材料一般采用一些简单的方法,如浸涂、喷涂等即可镀膜,不像其他薄膜制备工艺有较高的要求[7]。
(4)溶胶-凝胶法可制备有一定特殊性,不易于用常规方法的材料。并且可以通过改变制备工艺,获得相同组成不同类型的样品,如粉末,薄膜等[8]。
溶胶-凝胶法也存在一些缺点,如使用原料的成本略高,后期热处理温度降低但是使用时间增长,且因为凝胶系统的结构问题使得样品收缩大,易变形开裂等。
1.2.3溶胶-凝胶法国内外研究概况及发展趋势
Khirade[9]等采用柠檬酸和其他材料利用溶胶-凝胶法合成了锆酸钯纳米陶瓷,它是立方钙钛矿结构的,因为柠檬酸是一种有机溶剂,其自蔓延放热效应可以在几分钟之内合成样品。Karbovnyk[10]等利用溶胶-凝胶法合成了镁橄榄石(Mg2SiO4)纳米陶瓷粉末,通过多次实验对比发现采用不同的掺杂元素会改变纳米颗粒粒径及陶瓷形貌。Liang[11]等合成了碳化锆碳化硅复合纳米粉体,他们选取正硅酸四乙酯作为硅源和模板,然后在其中加入蔗糖和氧化锆,研究发现粒子的生长和蔗糖与氧化锆共存的体系有关,该系统会阻碍粒子增长,从而使锆硅凝胶的前体粉末分布更加均匀的分布。根据溶胶-凝胶技术的优点,国内外研究人员在溶胶-凝胶法制备锂铝硅非晶材料方面都做了一些研究。
Lee[12]用溶胶-凝胶法制备了LAS超细粉末,和其他传统制备工艺所制备的样品相比来说结晶的转变过程基本没有差异,而且因为溶胶-凝胶工艺的特殊性使得结晶的开始温度点以及晶型转变温度点都比传统的要降低许多,此外结晶的速度也提高了很多,结晶率也有所增高。Liu[13]等制备了LAS超细粉末,所用原料为正硅酸四乙酯(TEOS),钛酸丁酯和锂、铝、镁和锌的无机盐,过程中需要注意的有PH值,凝胶干燥的时间温度以及后续的研磨、煅烧等步骤。结果表明,超细粉的平均粒度为130nm,比表面积为160 m2/g,成核和结晶温度分别降低了100 ℃和200 ℃,得到的微晶玻璃的具有小于10×10-7/℃的线膨胀系数,但是也发现了一些缺点,比如钛酸丁酯与TEOS两种醇盐的水解速度相差较大,会产生组分不均匀的现象,而且会生成不必要的结晶相。
吴松全[14]在用溶胶-凝胶法制备LAS细粉中发现了干凝胶在烧结时晶相的转变。热处理温度在 800~1000 ℃时,LAS干凝胶析出六方晶系的β-石英固溶体;热处理温度在1100 ℃时,β-石英固溶体转化为稳定的四方晶系β-锂辉石固溶体。
此外,方平安[15]研究了利用溶胶-凝胶法对锂云母微晶玻璃进行涂层对其性质的影响,实验结果发现对锂云母微晶玻璃进行涂层会使其强度提高约8%~48%。锂云母微晶玻璃涂层后的内部结构可通过电子显微镜来分析,结果发现,其强度的增加是因为胶粒粒子进入锂云母微晶玻璃的内部,填充了晶相与玻璃相之间存在的微孔,从而弥合了内部微裂纹。
目前, 对溶胶-凝胶法的研究主要集中在以下几个方面:
(1)工艺方面:溶胶-凝胶法存在水解、缩聚、陈化等步骤,这会使制备时间增长,如何减少陈化的时间是一个研究方向;因为凝胶自身结构的影响,比如孔隙的存在、尺寸以及分布,会使凝胶在较高温度干燥时破碎;在利用溶胶-凝胶法制备样品时会用到许多有机试剂,这些试剂会存在毒性,对于后续的干燥等过程存在影响[16];
(2)部分有机试剂存在自蔓延放热效应,这会加速样品的制备,但是需要特殊的方法运用在溶胶-凝胶法中才能制备出新型纳米材料,如何减少这一步的工序,也是一个研究方向。
1.3溶胶-凝胶法制备LAS系非晶材料
1.3.1LAS系溶胶的特点
LAS溶胶制备的第一步是正硅酸四乙酯的水解,这一步要在酸性环境下完成,此时体系中的水分子呈弱电性,然后攻击正硅酸四乙酯分子中的硅原子,这也就是正硅酸四乙酯的水解,因为正硅酸四乙酯分子本身的结构,硅原子位于分子的中心,所以硅原子很容易获得一个氢原子,从而具有更强的亲电性。使用硝酸作催化剂时。溶胶粘度随PH值的减小而增大,这是因为体系酸性越强,水解的速率越快,水解导致生成大量的Si-OH键,这也就是缩聚反应的发生,这一步会生成分子量较大的的聚合物,从而使溶胶粘度增加,稳定性变差,这不利于后续反应中多元混合物溶胶的形成。因此正硅酸乙酯的水解环境酸性不宜太大。除此之外,酸的种类的选取,醇的种类的选取,水的添加量,水解的温度和时间,铝源,锂源等都会对溶胶的形成及粘度产生影响。
1.3.2热处理工艺对LAS系非晶材料的影响
LAS系非晶材料的析晶性能(晶相的种类,析晶程度)与其化学组成、热处理制度关系密切。不同的热处理制度得到的材料的析晶性能不同。对于4Li2O-10Al2O3-21ZnO-65SiO2组成的样品来说,750℃热处理后时样品已有晶相析出,主晶相是Zn2SiO4,还有痕量的锌铝尖晶石ZnAl2O4以及SiO2。随着热处理温度的升高,析出的晶相类型不变,但是含量有所增加。样品的晶体粒径大小也和热处理温度有关,实验表明,随着热处理温度的升高,样品的平均晶粒尺寸是增加的,热处理温度为850℃的样品的粒径比热处理温度为800℃的粒径大得多。通过扫描电镜可以观察到,热处理温度为750℃的样品出现的是细条状的晶体,晶粒的大小和分布比较均匀;热处理温度为850℃的样品的晶粒较大,出现了聚集现象,这是因为此时的主晶相晶体粒径较小,随着热处理温度的升高直到接近晶体的重熔温度,而使晶体更易黏连。
1.4溶胶-凝胶法镀膜
1.4.1溶胶-凝胶法镀膜的方法及特点
利用溶胶-凝胶法制备膜层材料一般分为以下几个步骤:
(1)按照所设定配比混合原料,水解缩聚,充分搅拌得到溶胶。
以上是毕业论文大纲或资料介绍,该课题完整毕业论文、开题报告、任务书、程序设计、图纸设计等资料请添加微信获取,微信号:bysjorg。
相关图片展示:







您可能感兴趣的文章
- 利用污泥和低质粉煤灰制备高强度陶粒外文翻译资料
 - 注蒸汽井中硅含量对水泥石抗压强度的影响外文翻译资料
 - 碳纳米管和二氧化锰纳米粒子修饰的少层石墨烯在高性能超级电容器中的应用外文翻译资料
 - 高能MnO2纳米线/石墨烯和石墨烯不对称电化学电容器外文翻译资料
 - 影响立式辊磨机性能的操作参数外文翻译资料
 - 水泥行业立式辊磨机及其性能参数研究进展外文翻译资料
 - 立式辊磨机遇滚磨机基于能量的比较外文翻译资料
 - 一种工作在500℃以下用于固体氧化物燃料电池的铌和钽共掺杂钙钛矿阴极外文翻译资料
 - 层状钙钛矿A位缺陷的理解: 促进质子陶瓷电化学电池水氧化和氧还原的双反应动力学外文翻译资料
 - 基于细菌纤维素/木质素的柔性高石墨化碳气凝胶: 无催化剂合成及其在储能装置中的应用外文翻译资料
 

        
            
