锰基尖晶石SCR催化剂的制备与性能研究毕业论文
2020-02-19 15:54:32
摘 要
选择性催化还原脱硝技术(SCR)是当前处理NOx排放的主要手段,催化剂是该技术的核心。SCR脱硝催化剂在使用过程中会受工作环境等因素影响而造成活性降低,因此研制活性较高且具有抵抗碱、硫能力的高效催化剂成为重要的研究课题。锰氧化物虽然具备起活温度较低且催化效率较高的优点,但其在抗碱抗硫方面仍存在不足。尖晶石结构(AB2O4)由于结构稳定、晶胞参数大,存在大量氧缺陷等因素在理论上可使催化剂具有高活性、高稳定性、较好的抗碱抗硫等性能等优良性质。因此需在实验中探索锰基尖晶石结构催化剂的活性和抗中毒能力。
本文以乙酸锰、草酸和各类金属硝酸盐为原料,通过共沉淀法和浸渍法制备了不同A位金属离子的锰基尖晶石催化剂。运用脱硝活性测试(NH3-SCR)和XRD、BET、SEM、XPS等表征手段,考察了锰基尖晶石催化剂的脱硝活性,并揭示了碱、硫中毒作用对锰基尖晶石催化剂脱硝活性的影响规律。
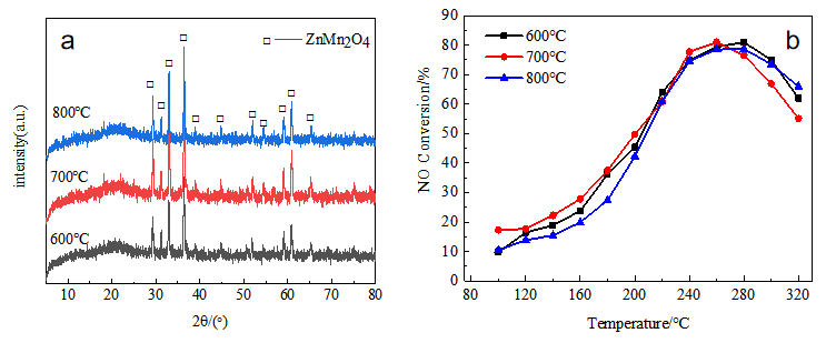
研究结果表明:不同制备温度(600℃、700℃、800℃)获得的不同A位离子(Zn、Ni、Co、Cr、Cu、Mg、Fe)的锰基尖晶石催化剂存在脱硝活性差异:在100℃到320℃的工作温度之间,ZnMn2O4经600℃、700℃、800℃焙烧后制成的三个催化剂样品中,三个温度下的催化剂活性都较高且相近,在此选择600℃焙烧的样品进行后续研究;NiMn2O4的三个样品中700℃的样品具有最好的活性;CoMn2O4的三个样品中600℃的样品具有最好的活性;MnCr2O4的三个样品中700℃的样品具有最好的活性;CuMn2O4的三个样品中800℃的样品具有最好的活性;MgMn2O4的三个样品中600℃的样品具有最好的活性;由于Fe2O3和MnO2无法在草酸的作用产生共沉淀而无法形成尖晶石结构氧化物,故暂不对其进行研究。
而在不同A位离子的锰基尖晶石的最优样品之间也存在着脱硝活性差异:经600℃焙烧的CoMn2O4催化剂活性最高,600℃焙烧的的ZnMn2O4次之,而700℃焙烧的NiMn2O4和MnCr2O4则活性相近,而600℃焙烧的MgMn2O4和800℃焙烧的CuMn2O4活性最差。
本文根据上上述结果进一步挑选了四个活性最优的尖晶石催化剂(600℃焙烧的CoMn2O4和ZnMn2O4、700℃焙烧的NiMn2O4和MnCr2O4)进行抗碱抗硫实验。在碱、硫中毒情况下,锰基尖晶石催化剂的表面活性氧、颗粒粘结程度等都发生了变化,K元素、S元素和N元素的存在也使催化剂的活性位点和孔容下降,从而导致了整体催化剂脱硝活性的下降。
本文特色在于选取纯相锰基尖晶石催化剂作为研究对象,探究纯相锰基尖晶石催化剂的脱硝活性和抗碱抗硫性能,为制备具有高活性和高抗中毒能力的锰基SCR催化剂提供依据。
关键词:脱硝催化剂;锰基尖晶石;A位离子;抗碱抗硫
Abstract
Selective Catalytic Reduction Denitrification (SCR) technology is the main means to deal with NOx emission at present. Catalyst is the core of this technology. The activity of SCR denitrification catalyst will be reduced due to the influence of working environment and other factors. Therefore, it is an important research topic to develop high activity and high efficiency catalyst with resistance to alkali and sulfur. Although manganese oxides have the advantages of lower activation temperature and higher catalytic efficiency, they still have shortcomings in alkali and sulfur resistance. Spinel structure (AB2O4) has many excellent properties such as high activity, high stability, good alkali resistance and sulfur resistance, because of its stable structure, large cell parameters and a large number of oxygen defects. Therefore, it is necessary to explore the activity and anti-poisoning ability of manganese-based spinel catalysts in experiments.
Manganese-based spinel catalysts with different metal ions at site A were prepared by coprecipitation and impregnation from manganese acetate, oxalic acid and various metal nitrates. The denitrification activity of manganese-based spinel catalysts was investigated by means of NH3-SCR and XRD, BET, SEM and XPS. The effects of alkali and sulfur poisoning on the denitrification activity of manganese-based spinel catalysts were revealed.
The results show that there are differences in denitrification activity of manganese-based spinel catalysts with different A-site ions (Zn, Ni, Co, Cr, Cu, Mg, Fe).Among the three samples of catalyst prepared by calcining ZnMn2O4 at 600℃, 700℃ and 800℃ from 100 to 320℃, the activity of catalyst is higher and similar at all three temperatures. The samples calcined at 600℃ are selected for follow-up study; the samples calcined at 700℃ from the three samples of NiMn2O4 have the best activity; the samples calcined at 600℃ from the three samples of CoMn2O4 have the best activity; and the samples calcined at 600℃ from the three samples of CoMn2O4 have the best activity. The three samples of MnCr2O4 had the best activity at 700℃ and the three samples of CuMn2O4 had the best activity at 800℃ and the three samples of MgMn2O4 had the best activity at 600℃. Because Fe2O3 and MnO2 could not coprecipitate with oxalic acid and could not form spinel oxide, so it was not studied for the time being.
There are also differences in denitrification activity among the optimum samples of manganese-based spinel with different A-site ions: the activity of CoMn2O4 calcined at 600℃ is the highest, followed by that of ZnMn2O4 calcined at 600℃, while that of NiMn2O4 and MnCr2O4 calcined at 700℃ is similar, while that of MgMn2O4 calcined at 600℃ and CuMn2O4 calcined at 800℃ is the worst.
Based on the above results, four spinel catalysts (CoMn2O4, ZnMn2O4, NiMn2O4 and MnCr2O4 calcined at 600℃ and 700℃) with the best activity were selected for alkali and sulfur resistance experiments. In the case of alkali and sulfur poisoning, the surface active oxygen and particle cohesion of manganese-based spinel catalysts have changed. The presence of K, S and N also decreases the active sites and pore volume of the catalysts, which leads to the decrease of the denitrification activity of the whole catalyst.
In this paper, pure phase manganese-based spinel catalyst was selected as the research object, and the denitrification activity, alkali resistance and sulfur resistance of pure phase manganese-based spinel catalyst were explored, which provided a basis for preparing manganese-based SCR catalyst with high activity and poisoning resistance.
Key words: denitrification catalyst; manganese-based spinel; A-site ion; alkali-resistant sulfu
目 录
封 面 I
摘 要 III
Abstract V
第一章 绪论 1
1.1 研究背景 1
1.1.1 氮氧化物的来源及危害 1
1.1.2 氮氧化物的控制技术及研究现状 2
1.1.3 NH3-SCR脱硝技术 2
1.2 NH3-SCR脱硝催化剂 3
1.2.1 NH3-SCR脱硝催化剂的种类及研究现状 3
1.2.2 锰基尖晶石脱硝催化剂的研究现状 4
1.3 NH3-SCR脱硝催化剂的中毒效应 4
1.4 本文的研究目的、意义及主要研究内容 5
1.4.1 研究目的及意义 5
1.4.2 主要研究内容 5
第二章 锰基尖晶石催化剂的制备及表征 6
2.1 引言 6
2.2 实验部分 6
2.2.1 实验材料与仪器 6
2.2.2 实验方案与内容 7
2.2.3 性能测试与表征方法 8
2.3 结果分析与讨论 10
2.3.1 不同A位离子锰基尖晶石催化剂的制备 10
2.3.2 不同A位离子锰基尖晶石催化剂的表征分析 14
2.4 本章小结 17
第三章 锰基尖晶石催化剂的抗硫及抗碱性能研究 18
3.1 引言 18
3.2 实验部分 18
3.2.1 实验材料与仪器 18
3.2.2 实验方案与内容 18
3.2.3 性能测试与表征方法 18
3.3 结果与讨论 19
3.3.1 钾中毒对不同催化剂性能的影响 19
3.3.2 SO2对不同催化剂性能的影响 23
3.4 本章小结 29
第四章 结论 31
参考文献 32
致 谢 35
第一章 绪论
1.1 研究背景
我国经济飞速发展,然而由于工业排放引起的环境问题也日益严重。中国各地的大气污染情况严重,由此引起了雾霾、酸雨等灾害。这些工业尾气排放造成的环境污染每年都需要消耗大量的人力物力来进行整治和修缮,如不加强治理和约束,将会制约社会经济发展,甚至影响人们的日常生活。
在我国的主要能源建设中,煤炭占据了主要的引进地位,并长期存在。煤炭燃烧排放的污染物包括二氧化硫、氮氧化物和粉尘,污染和破坏人类的生存环境。如今,我国已经实现了对粉尘和SO2排放较为有效的控制,但是对NOx排放的治理技术还不够成熟,因此如何治理NOx排放成为解决大气污染的关键问题之一。
1.1.1 氮氧化物的来源及危害
氮氧化物(NOx)是一类由氮和氧组成的化合物,包含如NO、N2O、NO2等多种氧化物,其中的NO、NO2是常见的大气污染物[1]。在工业生产过程中形成的氮氧化物主要有三种类型:热力型、快速型和燃料型[2]。其生成过程如表1-1所示:
表1.1 氮氧化物的生成
类型  | 生成过程与条件  | 过程  | 
|---|---|---|
热力型  | 在高温条件下(高于1500℃),空气中N2与O2反应生成NO和NO2  | O N2→NO N N O2→NO O  | 
快速型  | 当燃料燃快速烧时,产生的烃(CHi)在空气中N2分子的作用下再次被氧化成NOx  | 
  | 
燃料型  | 在燃烧过程中,燃料中的氮元素与空气中氧气结合生成NOx  | 
  | 
NOx多为剧毒气体,其中NO2是一种棕色且带有恶臭气味的气体,会对人体产生毒性危害,它在人体内会与水反应生成硝酸及亚硝酸等,从而对呼吸系统造成一定程度的腐蚀与损伤。NO2还会发生一系列光化学反应,生成的臭氧与光化学烟雾会对人体产生极大危害[3]。NOx与大气中的水分接触后,可以形成硝酸与亚硝酸,其与降水接触形成酸雨,这些酸对建筑物,农作物和土壤有着严重的危害[4]。
1.1.2 氮氧化物的控制技术及研究现状
NOx控制技术主要分为三种类型:燃料脱硝、燃烧过程脱硝、烟气脱硝[5]。燃烧前脱硝是燃料脱氮的过程,但是这种技术难度较大、成本较高,无法广泛应;燃烧过程脱硝是通过各种设施和生产工艺来降低在生产过程中产生的氮氧化物,如燃料分级燃烧、空气分级燃烧等方式的低氮燃烧技术,但是该技术也存在造成燃烧效率低,减排效率达不到环保的要求等问题[6];燃烧后脱硝是通过脱硝技术对燃烧后产生的烟气进行处理,降低其中NOx的含量。该法脱硝效率高、反应温度低、价格相对低廉,所以广泛应用在国内外工程中,成为工业尾气脱硝的主流技术。
湿法脱硝和干法脱硝是目前主要的NOx控制技术,其中湿法包括:液体吸收法和液膜法等;干法包括:选择性催化还原脱硝技术(SCR),选择性非催化还原脱硝技术(SNCR),电子束法(EB),脉冲电晕低溢等离子体法,固体吸收和再生法等[7]。几种干法脱硝技术的特点如下表所示:
以上是毕业论文大纲或资料介绍,该课题完整毕业论文、开题报告、任务书、程序设计、图纸设计等资料请添加微信获取,微信号:bysjorg。
相关图片展示:







您可能感兴趣的文章
- 利用污泥和低质粉煤灰制备高强度陶粒外文翻译资料
 - 注蒸汽井中硅含量对水泥石抗压强度的影响外文翻译资料
 - 碳纳米管和二氧化锰纳米粒子修饰的少层石墨烯在高性能超级电容器中的应用外文翻译资料
 - 高能MnO2纳米线/石墨烯和石墨烯不对称电化学电容器外文翻译资料
 - 影响立式辊磨机性能的操作参数外文翻译资料
 - 水泥行业立式辊磨机及其性能参数研究进展外文翻译资料
 - 立式辊磨机遇滚磨机基于能量的比较外文翻译资料
 - 一种工作在500℃以下用于固体氧化物燃料电池的铌和钽共掺杂钙钛矿阴极外文翻译资料
 - 层状钙钛矿A位缺陷的理解: 促进质子陶瓷电化学电池水氧化和氧还原的双反应动力学外文翻译资料
 - 基于细菌纤维素/木质素的柔性高石墨化碳气凝胶: 无催化剂合成及其在储能装置中的应用外文翻译资料
 



        
            
