尼龙66复合材料在低电场强度下的结构转变研究毕业论文
2021-11-27 22:30:13
论文总字数:20431字
摘 要
聚酰胺66(PA66),俗称尼龙-66,由于其耐腐蚀,耐热,阻燃,尺寸稳定等优点而在电气电子、家电、汽车和机械等领域得到了广泛应用,是一种重要的商业化聚合物。因为其链段间具有众多的氢键,所以不宜达到较高的伸展量。室温下,尼龙-66的拉伸伸长率达500%,且在高拉伸模量下才能达到较大的的拉伸比,因此加工难度较大。而且由于其分子间的众多氢键阻碍了高分子链的交叉相连,限制了人为控制其微观结构,因此如何屏蔽氢键的作用改变其微观结构受到了越来越多学者的关注。本论文采取酰胺与金属Li离子络合方式改变尼龙66的聚集态结构。
本文以尼龙66为基体,加入LiCl与PAN通过流延法制备尼龙66复合薄膜。对不同氯化锂含量的复合薄膜的XRD与DSC表征结果显示,在体积分数为5%氯化锂含量下,尼龙66转变为非结晶态。引入可导电的第三组分PAN,施加电场和移除电场,从而研究尼龙的聚集态结构的转变。
实验结果研究表明,尼龙66的聚集态结构的确进行了由结晶态到非结晶态再到结晶态的转变。
关键词:尼龙66,LiCl,晶态转变,尼龙66复合膜
Abstract
Polyamide 66 (PA66), commonly known as nylon-66, has been widely used in the fields of electrical and electronics, household appliances, automobile and machinery because of its corrosion resistance, heat resistance, flame retardancy and dimensional stability. Because there are many hydrogen bonds between the segments, it is not suitable to reach a high extension. At room temperature, the tensile elongation of nylon-66 is up to 500%, and the larger tensile ratio can only be achieved at high tensile modulus, so it is difficult to process. And because many hydrogen bonds between molecules hinder the cross-connection of polymer chains and limit the artificial control of its microstructure, how to shield hydrogen bonds to change its microstructure has been concerned by more and more scholars. In this paper, the aggregation structure of nylon 66 was changed by the complexation of amide with metal Li ion.
In this paper, nylon 66 composite films were prepared by tape casting method using nylon 66 as substrate, adding LiCl and PAN. The results of XRD and DSC characterization of the composite films with different lithium chloride content showed that nylon 66 was transformed into amorphous state at a volume fraction of 5% lithium chloride. The electric field is applied and the electric field is removed by introducing the conductive third component PAN, so as to study the transition of the aggregation structure of nylon.
The experimental results show that the aggregate structure of nylon 66 does change from crystalline state to amorphous state and then to crystalline state.
Keywords: nylon 66,LiCl,crystal transformation,nylon 66 composite film
目 录
第一章 绪论 1
1.1引言 1
1.2尼龙66聚集态结构的控制 1
1.2.1 添加结晶成核剂 2
1.2.2淬火 2
1.2.3与特殊单体进行共聚 2
1.2.4能与尼龙66反应的无机物 2
1.3无机金属盐与尼龙相互作用机理的研究 3
1.4尼龙66与LiCl络合应用前景 4
1.4.1 尼龙66的改性 5
1.4.2 作为电卡材料 5
1.5 课题的研究意义与主要内容 6
第二章 尼龙66/LiCl络合材料 8
2.1 引言 8
2.2 实验部分 8
2.2.1 实验试剂及仪器 8
2.2.2 实验步骤 8
2.2.3 测试与表征 9
2.3结果与讨论 9
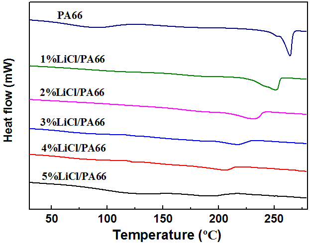
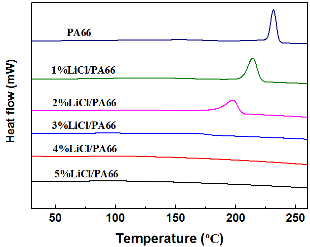
2.3.1 尼龙66/LiCl DSC表征 9
2.3.2 尼龙66/LiCl XRD表征 10
2.3.3 FTIR表征 11
2.4 本章小结 13
第三章 尼龙66/LiCl/PAN在电场下结构转变研究 15
3.1 引言 15
3.2 实验部分 16
3.2.1 实验试剂与仪器 16
3.2.2 实验步骤 17
3.2.3 测试与表征 17
3.3 结果与讨论 17
3.3.1 尼龙66/LiCl/PAN XRD表征 18
3.3.2 尼龙66/LiCl/PAN FTIR 表征 19
3.4 本章小结 20
第四章 结论 21
参考文献 22
致 谢 24
附 录 25
- 绪论
1.1引言
尼龙问世于1935年2月8日,由美国杜邦公司的华莱士·卡罗瑟斯发明的,而尼龙66在1938年10月27日诞生并成为人工合成的第一种合成纤维,尼龙66在1939年开始实行商业化,聚酰胺的成功商业化极大的推动了高分子材料的发展。
由于尼龙66良好的耐磨性,耐腐蚀,耐热,阻燃,良好的抗蠕变性能以及较低的摩擦系数和较低的密度而广泛的应用于电子电气,家电,化工,机械等领域,是一种重要的商业化材料,尼龙的使用量不断递增。2017年,全球尼龙总产能约为380万吨,总产量约为320万吨,其中亚洲约占1/4,欧美地区约占3/4[1]。
尼龙66是一种半结晶聚合物,链段间存在有大量的氢键,尼龙66主要的晶态有α和 β两种晶形。聚酰胺链段间的氢键结构使其难以达到较高的伸展量,而且在较高的拉伸模量下才能达到较高的拉伸比,因此加工难度较大。在加工过程中,链段间大量的氢键也阻碍了分子链之间交叉相连,限制了人为控制聚酰胺分子的微观结构。因此如何屏蔽聚酰胺的氢键结构受到了学者们的广泛关注[2]。尼龙66络合与解络合时氢键结构的改变其熵,会获得较大的熵变,而且在施加电场与移除电场可以使尼龙66的进行结晶与非结晶的可循环转变,所以此材料也是一种优良的电卡材料。孟令明等人研究了氯化钙对尼龙6和尼龙66结晶结构的影响[3],吴兴立研究了尼龙的络合与解络合[4],研究结果表明,聚酰胺可以较好地与金属离子进行络合。
1.2尼龙66聚集态结构的控制
尼龙66的许多优异性能都与其聚集态结构有关,如耐磨性,自润滑。高强韧度,和良好的化学稳定性。因此,可以通过控制尼龙66的聚集态结构来获得所需要的性能。尼龙66的主要晶形有α型和β型,其中α型是晶片沿着轴向一个接一个垒积,而β型则是每隔一片相互上下偏移垒积。
控制尼龙66聚集态结构的方法主要有添加成结晶成核剂,淬火,与特殊单体进行共聚,能与尼龙66反应的无机物等。
1.2.1 添加结晶成核剂
成核剂是在材料的结晶过程中加入的起到晶核作用的异相材料。尼龙66可以在添加的成核剂上进行晶核的生长,因为直接加入了晶核所以可以跳过晶核的生成直接进行晶核的生长使结晶速率加快,而且加入的成核剂可以影响结晶形态和尼龙66的结晶度,使球晶的尺寸变小,提高制品的使用性能[4]。
成核剂可以分为无机成核剂和有机成核剂,无机核剂有粘土类成核剂如滑石粉,高岭土,蒙脱土;氧化物类的SiO2,ZnO,Al2O3等;其他的无机成核剂还有碳纳米管,钛酸钾晶须等。有机成核剂主要包括聚碳酸酯,聚芳醚砜等聚合物,以及一些复合成核剂,由两种或两种以上的成核剂复合而得到[6]。
尼龙成核剂对尼龙结晶的影响根据添加成核剂的不同也有较大差异,其中无机成核剂简单易得,使用也较为简单但是会影响尼龙66的透明性于性能而且一般与尼龙的相容性较差进而影响到尼龙66的性能。
1.2.2淬火
淬火使一种常见的改变尼龙66结晶形态的热处理方式,淬火可以促使尼龙66的非结晶态向结晶态转变,可以大幅提高尼龙66的结晶完善程度和结晶度。
1.2.3与特殊单体进行共聚
通过选用合适的单体与尼龙66进行共聚,使尼龙66的结晶性得以改变。如与己内酸氨共缩聚,通过己内酸胺使尼龙66的分子量与分子量分布更加合理,而且可以适当破坏尼龙66链规整性,适当的降低了其结晶度。与二聚酸共缩聚,加入少量的具有C36长的两端端基为羧基的主链以及两个长烷基支链进行共缩聚可以破坏尼龙66的规整结构,降低其结晶度而且可以降低其密度、吸水率以及熔点显著提高尼龙66的柔性和缺口冲击强度;与聚烯烃接枝共聚,与纯净的聚烯烃接枝共聚,可以破坏尼龙66的规整性,降低结晶度,可以获得超韧尼龙66。其加工性能优异,韧性很高,可用于制造耐高温、耐冲击、自润滑的工程塑料制品[7]。
1.2.4能与尼龙66反应的无机物
能与尼龙66反应的无机物有LiCl,CaCl2等,大量研究表明尼龙的酰胺基团会与金属盐MX进行络合反应而改变尼龙的氢键结构从而影响到尼龙的聚集态结构,形成了如1-1图所示结构。

图1-1 尼龙6和金属盐形成的络合物结构图
Fig.1-1 Chemical structure of nylon6/metal ion complex
能与尼龙反应的无机物随着混入量不断加大能使尼龙66完全转至无定形态,而且这种转变是可逆的,可以通过一定的方法使络合解除从而使尼龙66重新转变到结晶态。
1.3无机金属盐与尼龙相互作用机理的研究
请支付后下载全文,论文总字数:20431字
相关图片展示:





您可能感兴趣的文章
- 在200至300℃的温度下纤维素的水热降解外文翻译资料
- 对O-酰基肟光敏交联剂和丙烯酸丁酯组成的压敏胶一系列光聚合与光降解过程的直接流变学测量外文翻译资料
- 热和紫外线诱导的环氧/环氧丙烯酸酯胶粘剂的制备及其性能外文翻译资料
- 基于光敏可逆固液转换的可调光聚合物胶粘剂外文翻译资料
- 氢氧化物-催化键中近红外吸收的时间演化外文翻译资料
- 利用糖辅助机械力化学剥离技术一步法制备功能化氮化硼纳米片外文翻译资料
- 用于热管理的具有优异力学性能和超高热导率的兼容多功能氮化硼纳米片/聚合物薄膜外文翻译资料
- 油水分离材料用凹土棒复合微球的制备与表征油水分离材料用凹土棒复合微球的制备与表征外文翻译资料
- 单轴拉伸聚乙烯/氮化硼纳米复合薄膜金属状热导率外文翻译资料
- 高导热硅弹性体掺杂石墨烯纳米片和低共熔液体金属合金外文翻译资料


