水性环氧乳液的制备和性能研究毕业论文
2020-07-11 17:57:20
摘 要
环氧树脂一直因其优良的性能而得到涂料行业的青睐,但是研究发现由于环氧树脂不具有亲水性,只能溶于有机化学试剂中成为溶剂型涂料才能加以使用。而这种溶剂型涂料在使用的过程中会进行挥发对环境造成污染,对人类的健康造成危害。随着人们日益增加的环保意识和全球各国相继提出的环保法案,很有必要对溶剂型环氧树脂进行改良,研究无毒无害的涂料成为了举重若轻的任务,这时水性环氧树脂进入了研究人员的视线,本文在前人的基础上对水性环氧树脂乳液的制备过程加以研究。
本文采用聚乙二醇(PE)和邻苯二甲酸酐(PA)和环氧树脂E-44进行酯化反应、环氧开环反应和自乳化反应合成水性环氧乳液,反应分为两个阶段:非离子型水性乳化剂的制备(酯化反应、环氧开环反应)、水性环氧乳液的制备(自乳化反应)。
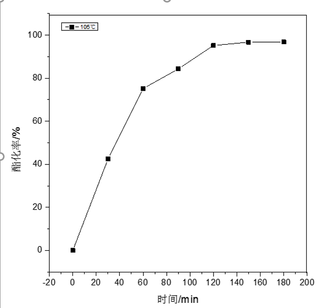
在非离子型水性乳化剂的制备过程中,拟用聚乙二醇先和邻苯二甲酸酐以摩尔量配比为2:1的用量进行酯化反应,反应一段时间后利用其生成的中间产物与环氧树脂E-44进行环氧开环反应,合成了本文的自制乳化剂。通过对乳化剂进行的酯化率和环氧转化率的测量,确定了最佳的酯化反应条件为:温度控制在105°C,反应时间为2小时。最佳的环氧开环反应条件为:温度控制在105°C,反应时间为3.5小时。催化剂浓度为0.1%。
在水性环氧乳液的制备过程中,拟用上述自制乳化剂和环氧树脂E-44采用相反转法进行自乳化反应,合成了水性环氧乳液。通过对其合成的水性环氧乳液进行的乳液粒径大小尺寸和分布的测量,得到最佳乳化剂用量为乳液含量的30%。
关键词:水性环氧乳液 环氧树脂 聚乙二醇 对苯二甲酸酐 相反转法
Abstract
Epoxy resins have always been favored by the paint industry because of their excellent properties. However, it was found that since epoxy resins are not hydrophilic, they can only be dissolved into organic chemical reagents as solvent-based coatings before they can be used. The use of such solvent-based paint will volatilize the environment and cause harm to human health. With the increasing awareness of environmental protection and environmental protection laws that have been proposed by various countries around the world, it is necessary to improve the solvent-based epoxy resin. The study of non-toxic and harmless coatings has become a light-weight task, and the waterborne epoxy resin has entered. From the perspective of the researchers, this article has studied the preparation process of aqueous epoxy resin emulsions based on the predecessors.
This article uses polyethylene glycol and phthalic anhydride and epoxy resin E-44 reaction synthesis of waterborne epoxy emulsion, the reaction is divided into two stages: the preparation of non-ionic water-based emulsifier, preparation of aqueous epoxy emulsion.
In the preparation of non-ionic aqueous emulsifiers, it is proposed to use PEG and phthalic anhydride in esterification at a molar ratio of 2:1. After a period of reaction, it is used to generate intermediates. The product was epoxy ring-opened with epoxy E-44 to synthesize the self-made emulsifiers. By measuring the esterification rate and the epoxy conversion rate of the emulsifier, the optimal conditions for the esterification reaction were determined as follows: the temperature was controlled at 105° C., and the reaction time was 2 hours. The optimum epoxy ring-opening reaction conditions were: temperature was controlled at 105°C and reaction time was 3.5 hours. The catalyst concentration is 0.1%.
In the preparation of water-borne epoxy emulsions, the self-made emulsifier and epoxy resin E-44 are proposed to be used for self-emulsification by the reverse conversion process to synthesize an aqueous epoxy emulsion. By measuring the size and distribution of the emulsion particle size of the synthesized aqueous epoxy emulsion, the optimal emulsifier dosage was 30% of the emulsion content.
Key words: waterborne epoxy emulsion; epoxy resin; polyethylene glycol; terephthalic anhydride
目录
第一章 文献综述-----------------------------------------------------1
1.1环氧树脂概述-------------------------------------------------2
1.1.1环氧树脂研究进展---------------------------------------2
1.1.2环氧树脂的定义-----------------------------------------2
1.2水性环氧树脂乳液的概况---------------------------------------3
1.3水性环氧树脂乳液的制备方法-----------------------------------3
1.3.1外加乳化剂法-------------------------------------------3
1.3.2自乳化法-----------------------------------------------5
1.4水性环氧树脂的固化机理和成膜机理----------------------------5
1.5研究意义和内容----------------------------------------------6
1.5.1研究意义-----------------------------------------------6
1.5.2本课题的研究内容---------------------------------------6
第二章 实验部分----------------------------------------------------7
2.1原料与试剂--------------------------------------------------7
2.2实验仪器----------------------------------------------------7
2.3非离子型水性乳化剂的制备------------------------------------8
2.3.1性能测试-----------------------------------------------8
2.3.2结果与讨论---------------------------------------------9
2.3.3最终实验条件------------------------------------------13
2.4水性环氧乳液的制备------------------------------------------13
2.4.1实验操作----------------------------------------------13
2.4.2性能测试----------------------------------------------14
2.4.3结果与讨论--------------------------------------------14
结论---------------------------------------------------------------17
参考文献-----------------------------------------------------------18
- 文献综述
涂料,存在了相当久远的历史时间,在远古时期人类采用的成膜物质是动物皮下的油脂和植物枝干上分泌出来的树脂,而现在由于科技的发展进步,成膜物质已经变成了高分子化学物质。多少代人的不懈努力,随着人类对世界认知的加强和自身对这个社会的探索,不断地研究使涂料发生了如此翻天覆地的变化,从原来高难度合成提炼的产品变成了现在走进各个家庭使用于各个领域成为家喻户晓的东西。
在上个世纪60年代末,对水性环氧涂料的研究便开始了。各国科学家对水性环氧涂料进行了长达五十多年的研究,终于在水性环氧涂料的研究方面达到了划分新时代与旧时代的分界线,经过各国研究人员的不懈努力,水性环氧树脂的应用领域被最大尺度的扩宽。被应用于很多领域如易拉罐,水库储水罐,机舱船舱里面的壳墙壁的涂料,防腐隔热隔潮涂料等,日常生活中所见的物品充斥着水性环氧的身影,可以说现在人类的生活已经离不开水性环氧这种化学物了,生活中的车颗,墙壁涂料,生活日常物品的漆膜,都是环氧树脂经过改良的应用产品,虽然水性环氧树脂比传统类的环氧树脂生产工艺复杂,原料成本较高,但是由于它的高性能,无污染无毒无害,仍被广大人士无限推崇取代传统性溶剂涂料,可以说,未来是水性环氧树脂的未来,将眼光投入水性环氧树脂是一项明智的举措,在不久的将来,水性环氧树脂涂料会完全取代溶剂型涂料在涂料界的地位成为家喻户晓的产品。
近年来随着人们环保意识的不断增强,对日常使用产品的环保性能的要求不断增加,使水性环氧涂料在涂料界变得越来越受欢迎。目前因为对水性环氧树脂的研究还不够使得人们仍然在大量的应用传统的溶剂型涂料,所以这更需要研究人员加大对水性环氧树脂的研究力度,才能够让水性环氧涂料得以满足各行各业的需求,令水性环氧树脂涂料在面对广阔的市场前景拥有足够的底气,让人们愿意用它,舍得用它。随着现代社会不断发展的脚步和人们对保护环境珍爱地球的环保意识的渐渐提高,需要研究人员对环氧树脂的研究逐步向环保方面进行提高。加上随着国际上越来越多环境保护法案的提出与颁布,越来越多的环保人士提倡人民使用节能环保型材料,由大势所趋,溶剂型涂料向水性环氧涂料转换成为日渐明朗的国际发展趋势。
相关图片展示:







您可能感兴趣的文章
- 在200至300℃的温度下纤维素的水热降解外文翻译资料
- 对O-酰基肟光敏交联剂和丙烯酸丁酯组成的压敏胶一系列光聚合与光降解过程的直接流变学测量外文翻译资料
- 热和紫外线诱导的环氧/环氧丙烯酸酯胶粘剂的制备及其性能外文翻译资料
- 基于光敏可逆固液转换的可调光聚合物胶粘剂外文翻译资料
- 氢氧化物-催化键中近红外吸收的时间演化外文翻译资料
- 利用糖辅助机械力化学剥离技术一步法制备功能化氮化硼纳米片外文翻译资料
- 用于热管理的具有优异力学性能和超高热导率的兼容多功能氮化硼纳米片/聚合物薄膜外文翻译资料
- 油水分离材料用凹土棒复合微球的制备与表征油水分离材料用凹土棒复合微球的制备与表征外文翻译资料
- 单轴拉伸聚乙烯/氮化硼纳米复合薄膜金属状热导率外文翻译资料
- 高导热硅弹性体掺杂石墨烯纳米片和低共熔液体金属合金外文翻译资料


