水溶性ZnS量子点的制备及光学性质研究毕业论文
2020-02-13 19:36:43
摘 要
近二十年来,量子点的研究和应用迅猛发展。胶体量子点制备简单,成本低,并且合成尺寸可以精确控制,具有重要研究意义。相比于PbS、HgS和CdS等课题组先前研究的量子点,ZnS量子点具有重量轻、延展性好以及生物相容性好等优点,适合用作生物探针材料。
本文的主要工作内容为:通过一锅法以卡托普利作为配体制备水溶性ZnS量子点,对其结构、光学性能和生物相容性进行表征。研究结果表明:
(1) X射线衍射分析 (XRD) 表明ZnS量子点为闪锌矿结构;动态光散射分析 (DLS) 和透射电镜分析 (TEM) 共同表明制备的量子点为球形,粒径在3.5 nm左右且分布均匀;荧光光谱 (PL) 表明发射峰在428 nm;细胞毒性实验表明50 mg/L以内的浓度条件对细胞有增活效应。
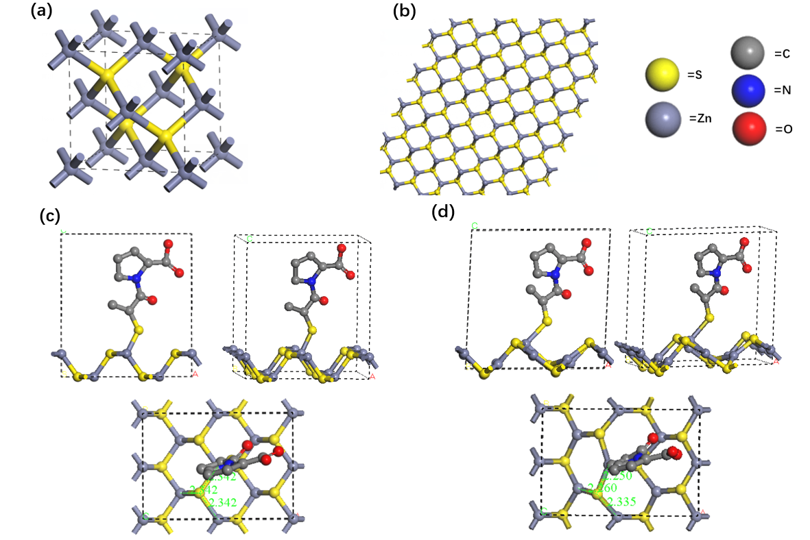
(2) 红外光谱 (FTIR)、圆二色光谱 (CD) 和X射线光电子能谱 (XPS) 共同表明了卡托普利成功与量子点键和。XRD、TEM和计算机的模拟共同证明了卡托普利键和到了ZnS量子点的 (110) 晶面。
(3) 紫外-可见吸收光谱 (UV-vis) 和DLS的结果符合Lamer的成核生长理论。
关键词:ZnS量子点;一锅法;光学性能;生物探针
Abstract
In the past two decades, the research and application of quantum dots have developed rapidly. The synthetize of colloidal quantum dots is not only simple, but also has a low cost. Whatrsquo;s more, the size of colloidal quantum dots can be accurately controlled in an easy method. Compared to those PbS, HgS and CdS quantum dots which have already been studied, ZnS quantum dots have the advantages of light weight, good extensibility and good biocompatibility, so they are suitable for biological probe materials.
The main contents of this thesis are as follows: water-soluble ZnS quantum dots were synthetized by one-pot method with captopril as ligand, and their structure, optical properties and biocompatibility are characterized. The main results are as follows:
(1) XRD shows the structure of ZnS quantum dots are zinc blend structure; TEM and DLS indicate that ZnS quantum dots are spherical and the distribution is concentrated at 3.5 nm; The emission peak in PL spectrum is at 428 nm; cytotoxicity test indicates that ZnS quantum dots within 50 mg/L promote cell survival.
(2) FTIR, CD and XPS prove that captopril bond with the ZnS quantum dots successfully; XRD, TEM and some simulations on computer prove that captopril bond with the surface of ZnS quantum dots via (110) plane.
(3) DLS and UV-vis spectrum obey the nucleation growth theory of Lamer.
Key Words:ZnS quantum dots; one-pot method; optical properties; probe
目 录
第1章 绪论 1
1.1 引言 1
1.2 量子点定义及分类 1
1.3 量子点的性质 4
1.3.1 量子尺寸效应 4
1.3.2 表面效应 5
1.3.3 介电限域效应 6
1.3.4 量子隧穿效应 7
1.3.5 库伦阻塞效应 7
1.4 胶体量子点的制备方法 8
1.5 量子点在生物医学中的应用 8
1.6 研究意义及主要内容 10
第2章 量子点研究的理论基础 11
2.1 引言 11
2.2 量子点的材料学理论基础 11
2.2.1 成核过程 12
2.2.2 生长过程 12
2.2.3 配体及其作用 13
2.3 量子点的物理学理论基础 16
2.3.1 基本概念 16
2.3.2 跃迁过程 18
2.3.3 非辐射复合过程 21
第3章 ZnS量子点的制备及结构表征 22
3.1 引言 22
3.2 实验原料及仪器 22
3.3 合成技术路径 23
3.4 测试原理及结果分析 24
3.4.1 X射线衍射分析 24
3.4.2 透射电子显微分析 26
3.4.3 动态光散射粒径分析 30
3.4.4 傅里叶变换红外光谱分析 34
3.4.5 X射线光电子能谱分析 35
3.4.6 CASTEP几何优化 38
第4章 ZnS量子点光学性能及生物相容性 40
4.1 引言 40
4.2 实验原料及仪器 40
4.3 测试原理及结果分析 40
4.3.1 荧光发射光谱分析 40
4.3.2 紫外可见吸收光谱分析 42
4.3.3 圆二色光谱分析 47
4.3.4 细胞毒性实验 49
第5章 结论与展望 51
5.1 结论 51
5.2 展望 51
参考文献 54
致 谢 59
附 录 I 61
附 录 II 62
绪论
引言
量子点作为零维的半导体纳米晶,由于其载流子运动在三个维度上均受限,呈现出显著的量子效应,导致其能带结构表现为类似原子和分子特性的分立能级,赋予了它一系列新的材料性质。目前,量子点已经在光电器件[1-3]、太阳能电池[1, 4, 5]、生物医学[6-8]等领域得到广泛应用。
对半导体材料科学的研究主要有两个方向:一方面是探索和拓展新的半导体材料,称作材料工程;另一方面是对已知的半导体材料的物理参数进行改性,改善能带结构而得到更优良的电学或光学性能,称作能带工程。改变量子点的尺寸、对量子点进行掺杂或对量子点进行表面处理,本质上都是通过改变能带结构实现性能优化,皆属于能带工程的范畴。
量子点定义及分类
量子点 (Quantum Dots, QDs), 也被称作半导体纳米晶 (Semiconductor Nanocrystal, NC),是一种三个维度尺寸均介于1~10 nm (另说1~100 nm) 的零维纳米材料。通常,量子点由几百个到几千个原子组成。由于外部电极、掺杂、应变等影响静电势、不同半导体接触产生异质结构和大的比表面积带来显著的表面效应等原因,其载流子在三个维度上均受到势垒约束,导致其能量变成类似原子特性的束缚态能级 (如图 1.1 (a) 所示,其中ab*表示激子玻尔半径), 态密度也根据维度的降低,而逐渐变得分立 (如图 1.1 (b) 所示)。

图 1.1 (a)随尺寸的减小出现的能级分裂现象;(b) 态密度随维度降低的变化
Fig. 1.1 With the decrease of the size : (a)the energy levels become split; (b)density of state become discrete
根据量子点的元素组成,可以将量子点分为II–VI族量子点、IV–VI族量子点和III–V族量子点,常见量子点材料的价带、导带和带隙关系以及一些结构参数见图 1.2和表 1‑1。

图 1.2 常见块状半导体材料的价带、导带和带隙关系[9]
Fig. 1.2 Valence band, conduction band and band gap of common bulk semiconductors[9]
表 1‑1 常用量子点半导体材料参数[10]
Table 1‑1Material parameters of common quantum dots[10]

通常,为了钝化量子点活性表面,降低表面有机悬挂键形成缺陷态能级的影响,同时也为了降低外界环境对量子点性能的影响,提高量子点的稳定性以及量子产率,制备的量子点通常选择核壳结构。核层和壳层材料的选择一方面要考虑能带排列 (Band Alignment) 问题,另一方面要尽可能使晶体结构相同以及晶格常数相近,以减小晶格失配度,利于壳层的生长。根据核材料与壳材料的能带关系,可以将量子点分为三种类型,见图 1.3,图中黑色部分为带隙。

图 1.3 三种不同类型的核壳结构[10]
Fig. 1.3 Different types of core/shell quantum dots[10]
Type-I是最常见的类型,它通过在窄带隙半导体量子点外生长一层具有相对更宽带隙的半导体壳层,并且壳层半导体材料的导带底高于核层半导体导带底,价带顶低于核层半导体价带顶,以此来达到位置空间中三个维度上核层半导体的电子和空穴均被束缚在一个有限深势阱中的目的,进而大大提高了电子和空穴波函数的交叠程度,提高电子-空穴的复合概率,使得量子点的发光效率提高。Type-II相比Type-I,只满足壳层半导体材料的导带底高于核层半导体材料的导带底,或者壳层半导体材料的价带顶低于核层半导体材料的价带顶两个条件中的一个,使得只有电子或空穴中的一个被束缚在核层势阱中,而空穴或电子则会移动到相对能量更低的壳层中,这使得电子和空穴的波函数交叠程度大大降低,虽然发光效率会受到影响,但是大大提高了荧光寿命,同时也变相减小了带隙,使发射光波长红移,在一些需要近红外光的应用研究中备受青睐。反Type-I与Type-I刚好相反,它是在宽带隙半导体量子点外生长一层具有相对更窄带隙的半导体壳层,并且同时满足壳层半导体材料的导带底低于核层半导体导带底,价带顶高于核层半导体价带顶两个条件,一些研究表明这种结构可以提高电子迁移率[11]和提高光催化效率[12]等。
量子点的性质
由于载流子的运动受到量子效应的限制,量子点表现出独特的物理性质,包括有:量子尺寸效应 (Quantum Size Effect)、表面效应 (Surface Effect)、介电限域效应 (Dielectric Confinement Effect)、量子隧穿效应 (Quantum Tunneling Effect) 和库伦阻塞效应 (Coulomb Blockade Effect) 等。
量子尺寸效应
根据紧束缚近似的物理模型 (见图 1.4), 原子的电子具有分立的能级,当两个原子靠的足够近时,由于泡利排斥作用,同一个能级上不可能同时存在三个及以上的电子,故此时两个原子的能级会相互错开,发生能级的分裂。当足够多的原子靠近时,分裂的能级就可以看作是准连续的能带。当粒径大于激子的玻尔半径的两倍时,能带结构不再随原子数的增多而改变。

图 1.4 紧束缚近似物理图像
Fig. 1.4 Physic image of tight binding approximate
量子尺寸效应是指,在粒径小于激子玻尔半径的两倍时,通过改变量子点尺寸,可以实现对禁带宽度的改变。半导体的光学性质依赖于能带间的电子跃迁,而电子跃迁与禁带宽度相关。根据受激辐射的理论,不同尺寸的量子点在受到光激发后,可以发出与带隙能量有关的不同波长的荧光。利用量子尺寸效应,可以通过改变量子点尺寸实现对发射光波长的调谐 (如图 1.5 (a)所示), 使发射光满足不同场合的需求。量子尺寸效应是量子点作为光学材料的重要理论基础。部分半导体材料的光谱窗口见图 1.5 (b)。

图 1.5 (a)不同尺寸量子点的发光情况[13];(b)部分半导体材料的光谱窗口[14]
Fig. 1.5 (a)Photoluminescence of different size quantum dots[13]; (b)Spectrum window of some semiconductors[14]
表面效应
以球形量子点为例,其体积与直径的立方成正比,表面积与直径的平方成正比,故比表面与直径成反比。随着量子点直径的减小,其比表面大大增加。当达到纳米尺度时,表面则会对其性质产生显著的影响 (比如溶解度或者光学性质[15])。
由于量子点具有大的比表面积,存在很多的表面原子 (离子),表面位置周期性中断,导致了大量的带电荷的离子。这种带电荷的离子则会对电子和空穴产生吸引,对量子点的光学性能产生严重的影响。于此同时,不饱和键还会导致量子点表面附着一些悬挂键 (见图 1.6)。大的表面积同时意味着大量表面缺陷,表面缺陷会在带隙中产生深陷阱缺陷能级,这些缺陷能级是有效的非辐射复合中心,会大量减少辐射复合率,影响量子点的发光效率。如何有效克服表面效应是量子点制备的重点和难点,通常,量子点制备过程中会通过制备核壳结构量子点的方法或利用有机配体实现表面修饰来减弱表面效应对量子点性能的影响。核壳结构不是本文的工作重点,配体的具体作用可参考2.2.3 节。

图 1.6 量子点表面悬挂键[16]
Fig. 1.6 Dangling bond on the surface of quantum dots[16]
介电限域效应
根据1.3.2 小节,量子点具有非常大的比表面,这将提供大量的化学结合位点。当量子点表面被化学基团修饰时,如果化学基团的介电常数相比量子点更小,量子点中的电荷载体的电场线会变得易于穿过外层介质,屏蔽效应减弱,使得激子结合能和振子强度增强,由1.3.1 小节中量子尺寸效应引起的分立能级会受到破坏,出现能级混杂 (Band Mixing) 现象,反映在光学性质就会观察到吸收光谱或发射光谱的明显红移,这就是介电限域效应。
Takagahara等采用有效质量近似,综合考虑了1.3.1~1.3.3三种效应,给出了不同介质中的纳米微粒系统的带隙近似表达式[17]:
|
(1- 1) |
式中,R表示微粒半径,是体相材料的介电常数,是介质材料的介电常数,是体相激子玻尔半径。等式右边第一项表示体相材料的带隙;第二项是电子-空穴空间限域能,由量子尺寸效应决定;第三项是电子-空穴库伦作用能;第四项是介电限域效应后表面极化;第五项为其他因素 (如表面结构的变化) 的修正项。
相同粒径的同种量子点,由于化学修饰物的介电常数不同,荧光发射峰也会产生不同程度的位移和强度变化,见图 1.7。

图 1.7 相同粒径不同化学修饰SnO2纳米颗粒的荧光光谱[18];
1. ST-SnO2, 2. AOT-SnO2, 3. DBS-SnO2
Fig. 1.7 Photoluminescence spectrum of nanoparticles decorated with different chemical modification[18]:
1. ST-SnO2, 2. AOT-SnO2, 3. DBS-SnO2
以上是毕业论文大纲或资料介绍,该课题完整毕业论文、开题报告、任务书、程序设计、图纸设计等资料请添加微信获取,微信号:bysjorg。
相关图片展示:



























