ZnO纳米晶的暴露晶面调控及其光催化稳定性研究毕业论文
2020-02-19 16:01:34
摘 要
ZnO作为一种十分重要的功能型氧化物半导体材料,在太阳能电池、传感器传感、光催化等方面具有较高的潜在应用价值。更重要的是,当ZnO作为光催化剂的时候,其表现出活性高、不产生二次污染物等优点,因而ZnO是一种理想的处理生活污水的光催化剂。不过ZnO的实际应用并不广泛,其重要原因就是它在水中的化学稳定性较差。因此, ZnO的光催化稳定性急需改善。为了改善ZnO的光催化稳定性,本论文着重研究了ZnO表面结构与其光催化稳定性的内在联系。
本论文利用溶液法制备ZnO纳米晶薄膜,通过改变反应中水/甲醇的体积比来控制ZnO纳米晶的暴露晶面所在比例以及晶粒尺寸,并采用了XRD、FE-SEM、EDS等测试手段对样品结构进行了表征,同时研究了各样品的光催化性能,从而揭示ZnO暴露晶面所占比例与其光催化稳定性的内在联系。
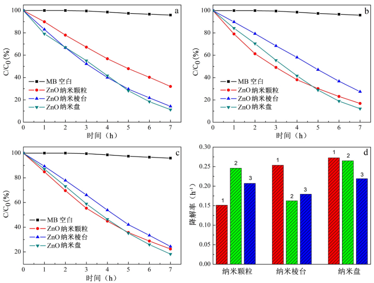
研究结果表明:随着水/甲醇体积比的增大,ZnO颗粒的尺寸逐渐增大,形貌分别是纳米颗粒、纳米棱台和纳米盘,暴露晶面(0001)所占比例逐渐增加。具有较高(0001)暴露晶面比例的纳米盘在光催化降解水中MB中表现最好的催化性能和最差的光催化稳定性,而小尺寸的ZnO纳米颗粒则表现出更优的光催化稳定性。因此,ZnO纳/微米晶的光催化稳定性更依赖于其暴露晶面所占比例而不是晶粒尺寸。
本文特色:对于一般光催化剂来说,它们的应用形式均为粉末,在分散到溶液中使用后几乎无法回收,但本论文将光催化剂做成薄膜材料,可以重复利用,更加符合绿色环保环境友好型的相关要求。
关键词:光催化;暴露晶面;氧化锌;稳定性;粒径;
Abstract
As a very important functional oxide semiconductor material, ZnO has high potential application value in solar cell, sensor sensing and photocatalysis. More importantly, when ZnO is used as a photocatalyst, it exhibits high activity and no secondary pollutants. Therefore, ZnO is an ideal photocatalyst for treating domestic sewage. However, the practical application of ZnO is not extensive, and its important reason is its poor chemical stability in water. Therefore, the photocatalytic stability of ZnO is in urgent need of improvement. In order to improve the photocatalytic stability of ZnO, this paper focuses on the intrinsic relationship between the surface structure of ZnO and its photocatalytic stability.
In this thesis, a ZnO nanocrystalline film was prepared by solution method. The ratio of water to methanol in the reaction was used to control the ratio of the exposed crystal plane of the ZnO nanocrystal and the grain size. XRD, FE-SEM and EDS were used. The structure of the sample was characterized, and the photocatalytic properties of each sample were studied to reveal the intrinsic relationship between the proportion of ZnO exposed crystal plane and its photocatalytic stability.
The results show that with the increase of water/methanol volume ratio, the size of ZnO particles increases gradually, and the morphology is nano-particles, nano-prisms and nano-disks, and the proportion of exposed crystal faces (0001) increases gradually. Nanodisks with a higher (0001) exposed facet ratio exhibited the best catalytic performance and worst photocatalytic stability in photocatalytic degradation of MB, while small size ZnO nanoparticles exhibited better photocatalysis. stability. Therefore, the photocatalytic stability of ZnO nano/microcrystals is more dependent on the proportion of exposed crystal faces than the grain size.
The characteristics of this paper: For general photocatalysts, their application forms are powders, which can hardly be recycled after being dispersed into a solution. However, this paper uses photocatalysts as thin film materials, which can be reused and is more environmentally friendly type.
Key Words:photocatalysis; exposed crystal face; zinc oxide; stability; particle size;
目 录
第 1 章 绪论 1
1.1薄膜材料概述 1
1.2 光催化概述 2
1.3 ZnO纳/微晶样品的制备 2
1.3.1 ZnO纳/微晶的国内外研究现状 2
1.3.2 本论文所用实验方法简介 3
1.4 ZnO光催化稳定性简介 3
1.5 本论文的目的、意义和研究内容 4
第 2 章 实验部分 5
2.1 实验药品及设备 5
2.1.1 实验药品 5
2.1.2 实验设备 5
2.2 样品的制备 5
2.2.1 制备籽晶氟化二氧化锡(FTO)玻璃片 5
2.2.2 溶液法生长出微米ZnO薄膜玻璃样品 6
2.3 结构与性能测试 6
2.3.1 物相表征 6
2.3.2 形貌、尺寸以及原子组成表征 7
2.4 光催化性能及稳定性实验 7
第 3 章 结果与讨论 8
3.1 溶胶凝胶法和溶液法制备ZnO纳/微晶薄膜样品 8
3.2 ZnO薄膜样品的相位结构表征与分析 8
3.3 ZnO 纳/微晶薄膜的光催化及光催化稳定性研究 12
3.3.1 ZnO 纳/微晶薄膜的光催化测试 12
3.3.2 ZnO 纳/微晶薄膜的光催化稳定性测试 14
第 4 章 结论 17
参考文献 18
致 谢 20
第 1 章 绪论
1.1薄膜材料概述
当固体或者液体的一维尺寸远小于其他另两维尺寸时,我们称之为膜,所以膜材料实际上也是一种固体或者液体。一般来说,根据膜的厚度可以分为两类:一类是厚度大于1 微米的膜,为厚膜;另一类则为厚度小于1 微米的膜,为薄膜。本论文将讨论的膜属于薄膜材料。
关于薄膜材料的应用,现在已经广泛应用到各行各业,尤其是各种离子交换膜、光学镀膜材料和半导体膜材料。
离子交换膜是一种含有正负离子基团的并且对溶液里的离子具有选择透过能力的高分子薄膜。对于这种膜,有一个十分关键的参数:交换容量,单位为mmol/g,一般性能的离子交换膜的交换容量约为2~3 mmol/g;当然还有其他的参数,如:含水量(%)、电导率或者电阻率(Ω∙cm)等等。在实际应用中,人们主要使用它的离子选择透过性,故也叫离子选择透过性膜。选择透过性这个指标反映的是离子交换膜对不同离子的选择透过能力,常用离子迁移数(t)以及膜的透过度(p)来表示。也正是离子交换膜的问世,人们对电化学的研究越来越深入,现在的各类电池几乎都离不开离子交换膜;并且在淡水资源越发匮乏的今天,苦咸水和海水的淡化离子交换膜也能做到;此外,该膜还广泛应用于盐溶液的浓缩;
而光学镀膜材料则是在介质上镀上一层或者多层薄膜(包括高分子膜、无机非金属和金属化合物),以满足人们对达到减少或增加光的滤光、分色、分束、反射、偏振等要求。这类材料已经有比较成熟例子,比如①氟化镁(MgF2):无色四方晶系粉末,纯度高,运用于光学镀膜能提高透过率,不易出崩点;②二氧化硅(SiO2):无色透明原子晶体,硬度大,熔点高,化学稳定性非常好,且纯度高,用其制备高质量SiO2镀膜,不易出现崩点,蒸发状态好。按其使用要求分为紫外、红外及可见光用,均有涉及;③氧化锆(ZrO2):白色重质结晶态,具有优良的耐高温性能和高的折射率,化学性质稳定,纯度高,用其能制备出高质量氧化锆镀膜,不易出崩点。
相对于前面两种已经比较成熟的膜材料来说,半导体膜是当代的焦点,处于高速发展中,各种性质不同的半导体膜材料应用在不同的半导体器件中,从而实现不同的功能,如:能量转换、光催化、监测气体浓度等等。并且在电子科学技术发展日新月异的今天,从十年前的45 nm到今天的10 nm半导体工艺,作为光电子器件和微电子主要材料的半导体膜,特别是大规模集成电路芯片上元件的集成度越来越高,各类电子元件的尺寸越做越小。根据其技术不同,可划分为单晶,多晶和无定形薄膜。
本论文将讨论的主体就是一种多晶的半导体薄膜材料,主要运用于光催化剂方面,用于处理污水。
1.2 光催化概述
光催化(Photocatalytic)这一类反应通常指在紫外光线照射下发生在催化剂与有机污染物接触的界面[2-4]上的氧化还原反应而净化有机污染物的过程。
1967年的一次实验中,当时还是日本东京大学研究生的藤岛昭教授对放入水中的单晶二氧化钛(TiO2)进行了紫外灯照射,结果水被分解为氧和氢,这一现象当时被称为“本多·藤岛反应”(Honda-Fujishima Effect),这就是光催化的首次发现过程。在这里面,单晶二氧化钛TiO2就是该反应的触媒,即催化剂,所以光触媒也是光催化剂。通俗的来讲,光催化反应也就是植物的光合作用的逆反应。植物的光合作用将空气中的二氧化碳转化为有机物,而光催化反应是将有机物氧化还原分解为二氧化碳。

作为一种安全且高效的环境友好型净化技术,光催化技术对日常生活中产生的有机污水和室内空气质量的改善已得到国际学术界的广泛认可。常见的光催化剂有很多,比如TiO2、ZnO、SnO2、ZrO2和CdS等多种氧化物硫化物半导体,此外还有部分银盐,卟啉一等。但是这些光催化剂的缺点也十分明显:寿命一般,即在多次光催化反应后,它们的光催化性能会明显下降,自身虽然不参加反应,但还是会部分损耗。
1.3 ZnO纳/微晶样品的制备
1.3.1 ZnO纳/微晶的国内外研究现状
在室温条件下,ZnO具有较大的禁带宽度Eg=3.37 eV、光增益系数(300 /em)及较高的电子激发结合能(60 meV)、较好的生物相容性和化学稳定性。本论文目的是制备出纳米/微米ZnO薄膜通过光催化作用处理有机废水,这些废水的有机物质通常是不易自然降解的有毒有色物质。光催化剂虽然能有效地处理有机污水中的这类物质,但是优秀的光催化剂需具备活性高、稳定性好、对光的利用率高并且要无毒、廉价。因此,提高ZnO的光催化性能是一个很具有研究价值的课题,最简单的方法之一就是通过使用不同的方法去制备ZnO光催化剂以改善催化剂性能。
到目前为止,国内外有许多制备ZnO光催化剂的方法,如水热法(溶液法)、直接沉淀法、溶胶-凝胶法、高分子网络凝胶法、微波水热法、微乳液法和直接化学合成法等等。
水热法能制备出形状不同的纳米颗粒,并且制备的样品有比较好的性能,操作方法相对其他方法也相对简单一些,但是水热法的成本过高,不易于工业生产,但是适用于实验室研究[6];直接沉淀法工艺成本低、操作简单、纯度也较高,但是分散性很差,造成的浓度分布难以均匀,有团聚现象[7];溶胶-凝胶法制备的样品的尺寸小,可以通过调控水解产物来改变颗粒尺寸[8];高分子网络凝胶法和上一种方法一样能控制晶粒的尺寸,操作简单,不需要醇盐等高价原材料,也结合了许多合成法的优点[9-10];微波水热法与水热法类似,仅仅是加热的方式改变,但是加热的更均匀,由于加热太过于迅速,比较难控制反应的过程;微乳液法制备的样品颗粒均匀度好,不易团聚而且分散性好,但是制备成本高,不具有经济效益,所以并没有应用到工业生产,停留于实验室阶段。
由于纯ZnO的光催化效率在5个循环后会降低0~10%,表明由于纯ZnO的稳定性差,可能发生ZnO的光致腐蚀。同时为了达到更好的性能和定向光催化的能力,国内外的科研人员不仅仅从制备方法改良,还通过在制备ZnO纳/微晶的过程中加入掺杂剂,如:姜建辉等人的Cu、Ni掺杂[11]、梁鹏举等人的 Ce掺杂[12]、臧淑艳等人的 Fe掺杂[13]等等;还有与其他材料相复合,以便加强其光催化的稳定性,如:刘亚男等人的 Z型复合催化剂g-C3N4/Vo-ZnO光催化[14]、杨状等人的复合材料BiVO4/ZnO光催化剂[15]、M.J. Sampaio, M.J. Lima等人的Ag纳米颗粒负载在ZnO的表面复合[16]等等;
1.3.2 本论文所用实验方法简介
在实验的最初阶段,实验方法采用的是比较常规的溶液法,即溶液法制备ZnO粉末样品,然后分散到有机溶剂中制备成浆料,涂敷在氟化二氧化锡(FTO)玻璃片上,之后经过退火处理就得到成品薄膜。但是缺点也十分明显,薄膜的强度并没有达到我的预期,几乎是用手一摸就掉,虽然这并不影响其光催化性能,但后续需要切割玻璃片进行各项性能表征,因此改进了实验方案。
在经过查阅相关文献[7-8]后,采用了溶胶凝胶法经过提拉镀膜法在氟化二氧化锡(FTO)玻璃片附着上ZnO籽晶,之后经溶液法生长,再进行退火处理即可得到薄膜。这种方法得到的膜的强度会好很多,对于其厚度也更好控制一些。具体实验方案见第二章实验部分。采用溶胶凝胶法将ZnO籽晶层生长在氟化二氧化锡(FTO)玻璃片上,这是一种十分常见制备ZnO光催化剂方法,先使用二水合乙酸锌搅拌溶解至乙醇中形成胶体,之后需要加入稳定剂乙醇胺,作用是稳定胶体。最后经过提拉镀膜机操作镀膜三次即可完成;溶液法生长出微米ZnO薄膜玻璃样品,同样这种方法来制备ZnO光催化剂也十分常见,而且成功率高。将二水合乙酸锌溶解在甲醇中,然后经过其他操作(后文会提及到)后,将提拉镀膜法已制备好的ZnO籽晶放入溶液中,密封水浴加热即可,和提拉镀膜法相似,溶液法也能多次镀膜。
1.4 ZnO光催化稳定性简介
上文光催化概述和ZnO纳/微晶的国内外研究现状已经提及到:纯ZnO的光催化效率在5个循环后会降低0~10%,表明由于纯ZnO的稳定性差,可能发生ZnO的光致腐蚀。光催化剂在多次循环使用后,会发生损耗现象,即便是光催化剂没有直接参与反应。在本论文中,我在查阅相关文献后[5]后,十分认同这种观点:ZnO光催化剂的暴露面与ZnO微/纳米结构在光催化中的稳定性之间有一定的关系。这一点后文的结果与分析将会有探讨。
当然,最简单提升ZnO光催化稳定性的方法还是从制备手段入手,但是单纯的制备ZnO并不能很好的改善这一性能,于是有了掺杂方案和与其他材料相复合方案,这些在上文已经详细阐述。
近几十年,纳米/微晶材料的微观结构、尺寸、组成和晶面的相关特性已经被广泛研究,特别是Cu2O[17]和TiO2[18] 纳米/微晶暴露指定的晶面对特定反应具有更好的催化活性。因此,在纳米/微晶结构中,合成中间晶体并且生长至指定暴露晶面的纳米晶体是一种获得性能增强的方法。在这个工作上,S. Liang, X. Gou等人[5]已经研究出(0001)暴露晶面的ZnO纳米/微晶结构对光催化分解有机物有比其他晶面更优异的性能,本文将在这个工作上进一步研究。
1.5 本论文的目的、意义和研究内容
在本次设计中,ZnO作为一种十分重要的功能型氧化物半导体材料,其具有良好的化学和稳定性,在太阳能电池、传感器传感、光催化等方面具有比较高的潜在应用价值。更重要的是,当ZnO作为光催化剂的时候,其表现出活性高、不产生二次污染物等优点[1],因而在环境污染治理尤其是生活污水处理方面越来越重要。当今,污水处理方法主要有活性污泥法和氧化法,前者的处理方法建设成本的大、运营成本高、管理复杂并且不能满足高效低耗能的要求;后者虽然处理起来操作简单但效果并不理想且运行成本高。因此,寻找一种建设环境友好型、运营成本低、易运营管理并且高效低耗能的生活污水处理方法是十分重要的,正如习近平同志所说:“我们既要绿水青山,也要金山银山。宁要绿水青山,不要金山银山,而且绿水青山就是金山银山。”这即是本文研究的意义。
光催化这一类反应通常指发生在催化剂与有机污染物接触的界面[2-4],并且由于ZnO薄膜是由ZnO纳/微晶组成的,ZnO晶体具有择优取向,所以控制制备ZnO样品的实验条件及其制备方法是控制其暴露面[5]的关键手段,这一点是很重要的。同时,如果要ZnO薄膜要持续起作用的话,其催化稳定性[6]十分重要。催化稳定性指在数次使用后仍然能保持较好的催化性能,也能理解为催化剂的寿命。于是,实验目的即为:探究出一组最优的实验条件以获取稳定性最好的ZnO纳米晶,并揭示出ZnO纳米晶暴露晶面与其光催化稳定性的内在联系。
以上是毕业论文大纲或资料介绍,该课题完整毕业论文、开题报告、任务书、程序设计、图纸设计等资料请添加微信获取,微信号:bysjorg。
相关图片展示:








