城市轨道交通安全监测系统集成联盟研究外文翻译资料
2021-12-15 22:44:16


英语原文共 6 页
城市轨道交通安全监测系统集成联盟研究
李晓宁,朱晓宁,蔡国强*
北京交通大学轨道交通控制与安全国家重点实验室,北京,
100044, P.R.China.bjtulx@yahoo.cn, xnzhu@bjtu.edu.cn, gqcai@bjtu.edu.cn
doi:10.4156 / jcit.vol5.issue7.5
摘要
实现统一资源管理的系统集成要求是城市轨道交通安全监控系统的关键问题。为了解决这一问题,本文首先分析了信息流的价值链。在此基础上,提出了联盟结构模型,并对联盟安全系统的综合评价方法进行了研究。建立了基于DEA和AHP的系统联盟选择模型。该方法为提高综合系统服务效率提供了有效的决策手段。
关键词:城市轨道交通;系统集成联盟;DEA;AHP
1. 介绍
随着中国城市轨道交通的快速发展,城市轨道交通的设备和技术的宪法是越来越复杂,如何提高安全保障能力水平,以确保城市轨道交通快速和可持续发展成为最重要和紧迫的战略任务。城市轨道交通运营安全保障是在基础设施一定配置的条件下,充分优化轨道交通的一切固定、流动、空间、时间和人力资源。实现高效优质的服务是城市轨道交通现代化的关键问题和关键目标。目前安全保障体系种类繁多,功能和结构各异,但难以实现互联互通。在相应的安全科学理论、方法和综合技术系统,识别的本质的基础上,城市轨道交通安全系统迫切需要发展更深层次的研究构成了一个完整的城市轨道交通安全保障理论体系和解决多系统集成技术,缩小与发达地区的差距,以适应城市轨道交通的快速发展。
从城市轨道交通的本质特征出发,对一类复杂的动态系统进行了安全性研究。将复杂系统理论应用于安全领域,实现对基本问题的深入分析,将各种复杂系统方法和技术应用于安全问题的系统建模、分析和控制。最终形成有效的安全监测、评价和保障应用理论是国际上新兴的国内研究热点。论文[3]采用人工神经网络方法解决轨道交通系统运行中的安全预测问题,通过改变神经网络获得系统安全预测信息。本文[4]采用交互多模型算法进行轨道交通车辆故障检测方法,通过检测多种模型的结构和参数变化,实现车辆的系统安全评价。论文[5]在集成安全监控系统的基础上,提出了基于决策树的定量评估方法,并给出了安全评价规则,以指导系统的风险评估,实际应用满足了可靠性试验车辆速度安全评估的要求。
本文首先探讨了城市轨道交通安全系统集成中的关键问题,然后提出了安全系统集成联盟的结构模型和评价方法,并对互联系统的信息流价值链进行了分析。研究结果为提高城市轨道交通综合集成平台系统的响应能力、安全性和可靠性奠定了基础。
2. 城市轨道交通系统集成联盟
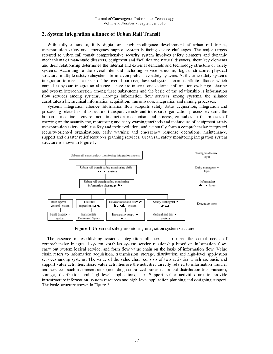
随着城市轨道交通的全自动、全数字化、高智能化发展,交通安全应急保障体系面临严峻挑战。城市轨道交通综合安全保障体系的主要目标涉及人为灾害、设备设施和自然灾害的安全要素和动力机制,这些要素及其相互关系决定了安全体系的内外部需求和技术结构。根据服务结构、逻辑结构、物理结构等总体需求,多个安全子系统构成了一个综合的安全系统。在安全系统集成满足总体需求的目的下,这些子系统形成了明确的联盟,称为系统集成联盟。这些子系统之间存在着内部和外部的信息交换、共享和系统互联,其关系的基础是系统间的信息流服务。联盟通过系统间的信息流服务,构成一个层次化的信息获取、传输、集成和挖掘过程。
系统集成联盟信息流支持安全状态采集、集成和处理相关基础设施、运输工具和运输组织过程,解释了人-机-环境相互作用机理和过程,体现了过程中进行安全的监控和预警方法和技术设备的安全、交通安全、公共安全以及他们的进化,并最终形成以安全为导向的综合性综合组织,提供预警与应急行动、维护、支持和救灾资源规划服务。
图1.城市轨道交通安全监测一体化系统结构
建立系统集成联盟的实质是满足综合集成系统的实际需求,建立基于信息流的系统服务关系,开展系统逻辑服务,形成基于信息流的流程价值链。价值链是指系统之间的信息获取、传输、存储、分发和高级应用服务。价值链的价值由两个活动组成,即基础活动和支持价值活动。基本价值活动是与信息传递和服务直接相关的活动,如传输(包括集中传输和分发传输)、存储、分发和高级应用程序等。支持价值活动是提供基础设施信息、系统资源和高级应用程序规划和设计支持。
图2.系统集成联盟价值链
在基于信息流的安全系统集成联盟的价值活动中,由于自身资源和能力的制约,任何一个安全子系统都不可能拥有价值链中所有环节的优势。通过选择合适的联盟系统等轨道交通地理信息系统,丰富的资源和高效处理为核心的合作伙伴[1],以弥补其负面因素,如缺乏资源、技术和服务能力劣势负面因素来提高反应程度,整个系统的安全性和可靠性,并在短时间内形成应用程序定制服务系统。
3.系统集成联盟子系统的选择
城市轨道交通安全监控系统集成联盟是一个由大量异构系统参与的动态复杂系统。因此,如何对选择的系统进行评价,选择系统集成联盟的组成就显得尤为重要。本研究使用数据包络分析来评估所选子系统。
数据包络分析是解决多目标决策问题的一种有效方法,其特点是根据观测到的输入和输出数据,用变权法对决策单元进行评价[6-9]。
定义了轨道交通安全单位被选中的决策单位,有n个安全系统,它表示 (j = 1,2,hellip;,n)。有m类型输入指标和s类型输出指标每一个安全系统,其输入指标集(i = 1,2,hellip;,m),输出指标设置 (r = 1,2,hellip;,s)。n个评价单元的输入输出指标数据描述如下:
评价单位: ,,hellip;,
输入指标 (i = 1,2,hellip;,m)
输出指标: (r = 1,2,hellip;,s)
、为评价单元的输入和输出指标数据。
定义:
(j = 1,2,hellip;,n)
为安全系统j,u的效率指标,被选择为重量指示器le;1 (j= 1,2,hellip;,n)。
为评价安全系统j的效率,以权重指标和为变量,以安全系统j的效率指标为目标,以各安全系统的效率指标为约束,建立分数模型为:
(1)
条件为le;1(j=1,2,hellip;,n)
这个模型可以变成:
(2)
条件为le;1;=1
-le;0(j=1,2,hellip;,n)
这里,v=
u=
如果模型(2)和的最优解满足=1,则选择的安全系统是有效的,即安全系统j和城市轨道交通安全集成系统能够达到技术和规模效益最佳的状态。因此,与安全系统j建立系统集成联盟是合适的。
若 lt; 1,所选安全体系无效,意味着安全体系j与城市轨道交通安全一体化体系无法达到技术和规模效益最佳状态。因此,与安全系统j建立系统集成联盟并不合适。
如果所选择的安全系统评价相对无效,则意味着安全系统j在各项指标中处于劣势。
在对所选安全监控子系统进行评价的基础上,形成标准子系统集成序列和集成联盟。
4. 系统集成联盟选择模型
子系统序列的形成满足城市轨道交通系统集成标准的要求后,由于集成的复杂性和联盟在系统设计中的重要性,会产生多种集成解决方案。如何选择最优的系统集成和自适应评价所选择的集成系统成为一个新的研究热点。在本研究中,我们选择一个改进的AHP来评估各种集成选项。
层次分析法强调人的思维判断在决策过程中的作用,适用于复杂问题的多准则、多目标决策分析和定性与定量因素的结合,尤其适用于具有定性因素的决策问题。AHP用权向量表示不同因素的相对重要性。首先根据问题的性质和系统集成的性质将其划分为不同的层次,然后构建一个多层次的分析模型。针对城市轨道交通安全系统集成联盟的特点,将改进的AHP评价过程分为以下四个阶段:
(1)集成解决方案的评价应分析包括系统架构与软件系统兼容性、功能互补、系统可靠性、可扩展性、易用性、可扩展性、标准化等方面的系统安全性分析。因此,将评价标准定义为Ri (i = 1,2hellip;),对应上述特征确定层次结构模型如图3所示。
图3.层次结构模型
(2)根据上述层次模型中轨道安全系统集成联盟的选择准则要素,对相应的比较矩阵形式进行比较和量化。应用特征向量法来确定铁路安全系统集成联盟矩阵的选择标准A(A=[],=1/) (指标权重分配10/10 - 18 / 2扩展),A是B的对称矩阵= lgA(=lg, forall;
I,j) .
(3)求解对应的最优传递矩阵B为C (=满足是最小值。
求解相同矩阵V的拟最优解,,满足是最小值。
(4)求解特征向量V,给出初始矩阵下各因子值的权重,权重较大的系统为安全联盟系统选择的安全集成系统。
5. 一体化联盟系统效率评价
选择系统集成方案后,需要对整体集成系统和各子系统在标准下的效率进行评估,以评估选择的效果。
(1)构建评价指标集 (i = 1,2hellip;), n),对应上述特征。
(2)根据评价指标集统计经验和专家评价,比较比较矩阵,确定选择标准权重i(i = 1,2,hellip;, k)轨道交通系统集成联盟。
(3)计算各准则权重 (i = 1,2,hellip;,n;j =1,2,hellip;,k)轨道交通系统集成联盟。
针对各标准计算各安全体系i的评价值。以定性指标对实测数据进行规范,构成安全体系i各项准则的矩阵。
(4)评估专家的评估来确定系统集成联盟价值,这是 (i = 1,2,hellip;, n)。
(5)计算集成子系统的并集权和评价整个系统的价值E=为基础的选择系统安全联盟。
6. 结论
建设城市轨道交通运行安全综合监控集成系统,全面集成系统动态安全信息和列车、车辆、电力、信号、设施、环境等日常交通信息,实现全程综合监控、预警和安全管理是城市轨道交通安全问题的核心。本文针对安全保障系统数量多、关系复杂、空间范围广的特点,提出了一种系统集成联盟系统选择方法,以建立安全可靠的综合集成监控系统。在这种方法中,共享与服务的集成是下一步研究的重点。
7. 参考文献
[1] Jia Lmin, Li Ping. Railway Intelligent Transportation System [M]. China railway publishing house.
2004
[2] Jia Limin, Qinyong. Comprehensive Monitoring System of Railway Operation and Safety for
Tibetian Line[M].China railway publishing house.2007
[3] S. Nefti, M. Oussalah. A Neural Network ajpproach for Railway Safety Prediction. 2004 IEEE
International Conference on Systems, Man and Cybemetics. pp: 3915-3920
[4] Yusuke Hayashi, Hitoshi Tsunashima and Yoshitaka Marumo. Fault Detection of Railway Vehicles
Using Multiple Model Approach. SICE-ICASE International Joint Conference 2006, Oct. 18-21,
2006 in Bexco, Busan, Korea, pp: 2812-2817
[5] Cai Guoqiang, Jia Limin, Lv Xiaoyan,Liu Chunhuang. Rail traffic safetyassessment and application
based on decision tree.Progress on Natural Science, 2007.10, pp:361-365
[6] Wei Quanling. Evaluate the relative effectiveness of DEA methods [M]. China Renmin Univesity
Press. 1988
[7] B M Beamon. Supply chain design and analysis: models and methods[J]. International Journal of
Production Economics. 1998, 55, pp: 281-291
[8] Sexton TR, Lewis HF. Two-stage DEA, An application to major l
资料编号:[4988]
您可能感兴趣的文章
- 一种确定磁探针集总电路参数的标定方法外文翻译资料
- 一种人体可接触的大气压低温等离子体射流装置研究(适合电气B方向)毕业论文
- 氩氧中大气压DBD放电特性研究(适合电气B方向)毕业论文
- 大气压氩等离子体射流放电影响因素的仿真研究(适合浦电气B方向)毕业论文
- 含氧高活性均匀DBD改性聚合物薄膜研究(适合浦电气B方向)毕业论文
- 反应器结构对气液两相DBD放电特性的比较(适合浦电气B方向)毕业论文
- 南京某公司研发楼电气设计毕业论文
- 金帆北苑地块经济适用住房——02栋商住楼电气设计(适用于浦电气1004~06A方向学生)毕业论文
- 扬州人武部大楼电气设计毕业论文
- 金帆北苑地块经济适用住房——04栋商住楼电气设计(适用于浦电气1004~06A方向学生)毕业论文


