Fentons试剂的反应机理及其在工业废水处理中的应用设计毕业论文
2020-04-25 20:23:31
摘 要
本文运用密度泛函理论研究了Fenton试剂的反应机理。主要结论如下:
1使用B3LYP和6-311 G(d,p)基组水平下对单重态和三重态的H2O2的光解途径进行研究。结果表明H2O2光解的主要初步反应路径为单重态H2O2分解成两个自旋方向相同的·OH自由基。
2在Fenton反应中H2O2一个重要的作用就是提供· OH自由基,而Fe2 对H2O2的催化分解作用可以分解为以下几步:(1)H2O2分解生成两个羟基自由基;(2)Fe2被羟基自由基氧化成Fe3 ;(3)羟基自由基和双氧水反应生成一个·OOH自由基和一个水分子;(4)Fe3 离子被·OOH自由基还原成Fe2 离子。
3以苯酚和邻硝基苯酚为目标产物通过Gaussian软件模拟Fenton试剂降解硝基苯过程中各产物的反应路径、反应活化能及反应焓。Fenton试剂降解硝基苯的反应机理与亚铁离子催化双氧水分解的反应机理类似。但在Fenton试剂降解硝基苯反应过程中,Fe3 较难还原,同时这也说明提高Fe3 还原反应速率可以加快Fenton试剂降解硝基苯速率。
关键词:Fenton法;Gaussian 16;密度泛函理论
Abstract
The reaction mechanism of Fenton reagent was studied by Density Functional Theory.
1 The photolysis pathways of singlet and triplet H2O2 were studied at B3LYP and 6-311 G (d, p) base level. The results show that the main initial reaction pathway of photolysis of H2O2 is the decomposition of singlet H2O2 into two ·OH radicals with the same spin direction.
2 An important role of hydrogen peroxide in Fenton reaction is to provide· OH radicals, and the catalytic decomposition of H2O2 by Fe2 can be decomposed into the following four steps: (1) H2O2 decomposes to two hydroxyl radicals; (2) the oxidation of Fe2 to Fe3 by · OH radicals; (3) •OH radical reacts with H2O2 to form a ·OOH radical and a water molecule; (4) the decomposition of Fe3 are reduced to Fe2 by ·OOH radicals.
3 With phenol and o-nitrophenol as the target products, the reaction pathway, activation energy and enthalpy of each product in the process of Fenton reagent degradation of nitrobenzene were simulated by Gauss software. The mechanism of Fenton reagent degradation of nitrobenzene is similar to that of ferrous ion catalyzed hydrogen peroxide decomposition. However, in the process of Fenton reagent degradation of nitrobenzene, Fe3 is difficult to reduce, which also shows that increasing the reduction rate of Fe3 can accelerate the degradation rate of nitrobenzene by Fenton reagent.
Key Words: Fenton;Gaussian 16;Density Functional Theory
目录
摘 要 I
Abstract I
目录 I
第一章 绪论 1
1.1研究背景 1
1.2 国内外研究现状 1
1.3 目前研究工作的不足 7
1.4 本文的主要研究工作 8
第二章 理论基础与计算方法 9
2.1定谔方程 9
2.1.1含时薛定谔方程 9
2.1.2不含时薛定谔方程 10
2.2 密度泛函理论 10
2.2.1 Thomas-Fermi模型 11
2.2.2 Hohenberg-Kohn定理 11
2.2.3 Kohn-Sham方法 11
2.3含时密度泛函理论 12
2.4 Gaussian程序介绍 12
第三章Fenton反应机理研究 14
3.1 H2O2光解反应机理 14
3.2 亚铁离子催化H2O2分解机理 17
3.2.1亚铁离子氧化反应 18
3.2.2双氧水与羟基反应生成氧羟基 20
3.2.3铁离子还原反应 20
3.3 Fenton试剂降解硝基苯反应机理 22
3.3.1含硝基苯废水对环境的影响 22
3.3.2 Fenton试剂降解硝基苯反应机理 22
第四章 结论 26
参考文献 27
第一章 绪论
1.1研究背景
现代化工产业的不断发展给人们的生活带来了许多化工产品便捷的化工产品,然而制造化工产品所产生的各种工业有机废水也给人们的环境安全带来极大的影响。因此工业废水的处理过程便成为了工业生产中不可或缺的一个环节。
目前工业废水的主要处理方法有四大类,分别是物理法、化学法、物理化学法及生物法[1]。物理方法是通过沉淀过滤、网格过滤、均匀调节等改变水质从而净化废水;化学法主要通过化学积淀、中和、氧化还原和电解等化学反应降解废水中的有害物质;物理化学法中最常见的处理方法有:气提、混凝、萃取、气浮、吸附、膜分离和离子交换等;生物法是运用某些降解代谢有机物为无机物的微生物来处理废水,主要包括好氧生物降解法和厌氧生物降解法[3]。
近年来,Fenton法以其反应无选择性,能降解大部分有机物、反应迅速、反应条件简单、反应产物无污染等优点成为科研工作者研究工业有机废水处理的热门选项。标准Fenton试剂是由H2O2和Fe2 按一定比例混合形成的溶液,具有强氧化性[4]。
本文以Fenton试剂降解硝基苯的反应机理为对象展开研究,寻找更高效更节能的工业废水处理方法,以降低工业废水对环境的影响,保护环境免受污染,保障人们的生活质量。
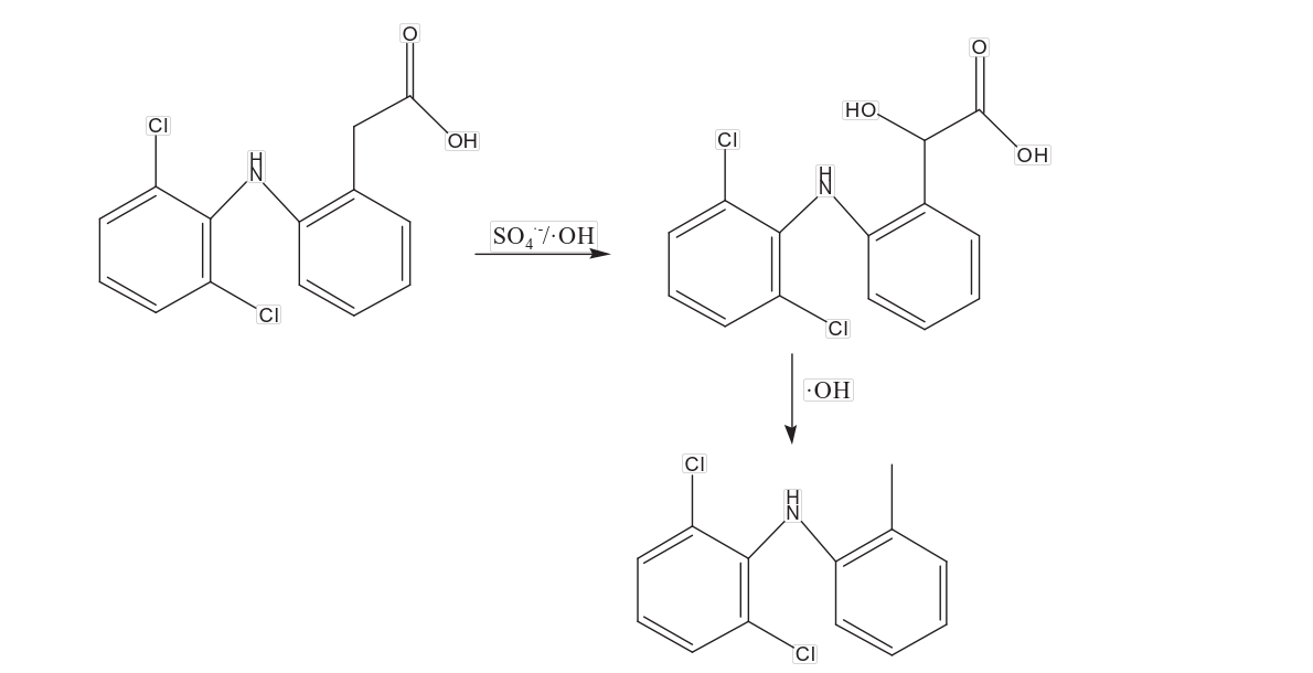
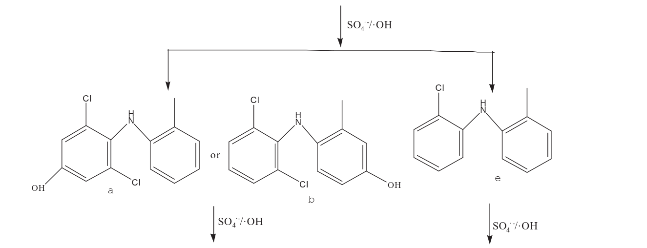
相关图片展示:









