P92钢蠕变行为的研究毕业论文
2020-04-15 16:53:54
摘 要
近几十年来,随着人类对环保和节能问题的日益重视,世界各个国家纷纷采用超超临界燃煤发电技术来提高火电燃煤机组的热效率,从而减少二氧化碳的排放,这就要求超超临界机组朝着更高的蒸汽参数方向发展。然而,超高的蒸汽参数要求铁素体耐热钢有良好的力学性能和抗氧化特性。目前,P92钢凭借其良好的综合性能而被广泛运用于超超临界火力发电机组的主蒸汽管道和再热器等部位。而在高达600℃的服役温度下,微观组织蠕变引起的损伤会导致机组中关键部位失效。我国的超超临界机组火力发电机组技术起步比较晚、发展迅速,但大部分经验来源于国外。本文研究了国产马氏体耐热钢P92钢在高温下的微观组织演化和蠕变变形行为,探究其的高温蠕变行为和损伤机理,为P92钢在高温下的寿命预测提供理论参考。本文的主要研究工作和结论如下所示:
(1)采用蠕变试验对国产P92钢进行了蠕变变形行为的分析。重点讨论了材料的蠕变曲线特征,加速蠕变和蠕变断裂方面的问题,并用指数方程指代了材料的蠕变机制。
(2)对国产P92钢和P92钢在方面做了比较。全面了两者在成分、机械性能、组织稳定性以及蠕变特性等方面的性能差异,为国产P92 钢性能的优化提供依据。
关键词:超超临界 P92钢 时效 微观组织 蠕变变形
Study on creep behavior of P92 steel
ABSTRACT
In recent decades, as human beings have become more concerned about environmental protection issues, countries around the world are using ultra-supercritical coal-fired power generation technology to improve the thermal efficiency of thermal power plants, and to reduce carbon dioxide emissions, requires towards higher steam parameter ultra-supercritical unit, however, ultra high steam parameters in ferritic heat resistant steel has good mechanical properties and antioxidant properties, at present, P92 steel because of its good comprehensive performance and is widely used in supercritical thermal power units of main steam pipe and reheater, etc. While serving in up to 600 ℃ temperature, microstructure caused by the creep damage is the key part of the main causes of failure unit. However, most of the experience comes from abroad. In this paper, the microstructure evolution and creep deformation behavior of domestic martensite heat resistant P92 steel were studied at high temperature, and the creep behavior and damage mechanism of P92 steel at high temperature were explored, providing theoretical reference for the life prediction of P92 at high temperature.
(1)Creep deformation behavior of domestic P92 steel was analyzed by creep test. The characteristics of creep curve of materials, the problems of accelerated creep and creep fracture are discussed emphatically, and the creep mechanism of materials is analyzed by power exponential equation.
(2)The material properties of domestic P92 steel and imported P92 steel were compared. Analysis of the differences in chemical composition, microstructural stability and creep properties between P92 wires.
Key words: ultra-supercritical ;P92; steel aging microstructure ;creep deformation
目录
摘 要 I
ABSTRACT II
第一章 绪论 1
1.1 研究背景 2
1.2 P92钢的组织结构与强化机理 2
1.2.1 P92钢组织结构分析 3
1.2.2 P92钢强化机理 4
1.3 蠕变寿命预测模型 4
1.4 本文的主要研究内容 6
第2章 P92钢蠕变性能行为研究 8
2.1 前言 8
2.2 P92钢蠕变试验研究 8
2.2.1 试样制备及试验参数 8
2.2.2 蠕变试验设备及方法 9
2.2.3 蠕变试验步骤及过程 10
2.3 蠕变试验结果与讨论 11
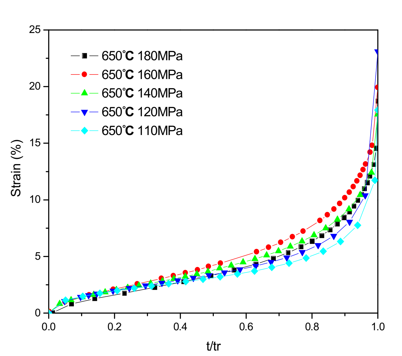
2.3.1 蠕变曲线 11
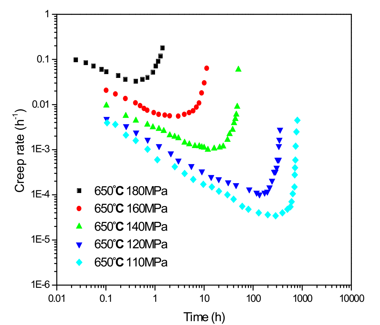
2.3.2 加速蠕变和蠕变破断 12
2.3.3 蠕变机制 12
2.4 本章小结 15
第3章 国内外P92耐热钢性能的对比分析 17
3.1 引言 17
3.2 化学成分 18
3.3 机械性能对比 18
3.4 蠕变性能对比 19
3.5 本章小结 20
第4章 总结与展望 22
4.1 总结 22
4.2 展望 22
4.3 经济成本分析 23
4.4 社会效益 24
参考文献............................................................................................................24
致谢.....................................................................................................................28
第一章 绪论
1.1 研究
能源和问题是当今关注的焦点,是我国发展的中心工作。我国是个煤炭储量丰富而石油天然气储量储量匮乏的国家,如何用绿色环保的能源来满足社会生产生活需要,同时减少环境污染,建设可持续发展的社会是我们面临的一项重要任务。
煤炭在我国的能源消耗结构中占重要位置,1990年以来,我国的总消耗中,煤炭消耗所占的份额有一定的,但是仍然维持在65%以上,而过去的10年间,我国发电装机容量迅速扩大[1]。到了2009年,我国电力系统总装机容量超过8.74亿千瓦。其中,火电装机6.51亿千瓦,占74.5%,水电装机1.96亿千瓦,占22.5%,核电装机907.82万千瓦,占1%,风电及其它新能源1765.25万千瓦,占2%[2]。之后数字进一步攀升,2010年年底达到了9.62亿千瓦,与2009年相比增长了10.07%,五年来的平均增长率为13.22%。为了实现我国节能减排的战略目标,优化电力能源结构,优先开发水电,积极发展核电,优化发展火电是我国现阶段的基本方针[3]。
众所周知,火力发电最大的问题在于温室气体排放,各种火电机组的净效率和供电煤耗参数有所差异。从世界各国的燃煤机组运行经验中可以得出,机组(17MPa,538℃/538℃)的净效率约为 37%-38%,机组(24MPa,538℃/538℃)的净效率约为 40%-41%,机组(28 MPa,600℃/600℃)的净效率约为 44%-45%,从煤消耗量中来看,亚临界机组约为 335-345g/kWh,超临界机组约为 315-325g/kWh,超超临界机组约为 295-305g/kWh[4]。
以上是毕业论文大纲或资料介绍,该课题完整毕业论文、开题报告、任务书、程序设计、图纸设计等资料请添加微信获取,微信号:bysjorg。
相关图片展示:









