调谐质量阻尼器仿真设计及分析毕业论文
2020-04-08 14:33:17
摘 要
近二十年来,我国城市人口密度一直呈增长趋势,城市建筑用地虽然也在不断增长整体上还是越来越紧张,传统建筑的高度难以满足人们的需要,未来的建筑将以一种不可逆的趋势高层化。
随着各种高层建筑的建设,轻质高强度材料的应用,建筑高度日趋增大和横纵比却日趋减小,如果依旧使用传统的建筑方式只是简单更换材料提高高度的话,整个建筑结构的结构刚度和阻尼会严重下降。建筑结构受到各种外部激励的影响时振动响应会明显增大,居民的安全性、舒适性得不到有力的保障。传统的采用提高结构强度和刚度的方法来设计抗风抗震设计方法,存在着经济性欠佳;安全性难以保证;适应性有限制等诸多弊端。
随着现代工业科技的飞速发展,机械设备、大型交通、运输工具,都在向着高速、重载趋势发展,振动所产生的危害也越来越明显,在这种背景下,通过合理的方式方法减低或控制有害振动的产生有着非常深远的意义。在这种大环境下,调谐质量阻尼器,一种安全、经济、合理的结构工程抗振设计方法,被大量运用于各种实际工程当中。
其结构由弹性机构配合质量块和用来消耗从主结构传递过来的能量的阻尼系统组成。对于这种结构最简单的无法调节刚度或者质量进而改变固有频率的调谐质量阻尼器只有令其固有频率与主结构固有频率相近时才能起到减弱主结构的振动响应的效果。当主结构受外部激励产生振动时,其调谐质量阻尼器的惯性质量一般也就是质量块结构与主结构谐振,并通过自身的阻尼结构将吸收自主结构受控振型的振动能量消耗掉,这也是调谐质量阻尼器减振的关键一步,没有这一步就只是简单的能量转移操作相对整个系统无法起到减振效果。
本论文在对国内外调谐质量阻尼器的相关研究和研究现状进行了解和研究后开展了以下几项研究工作:
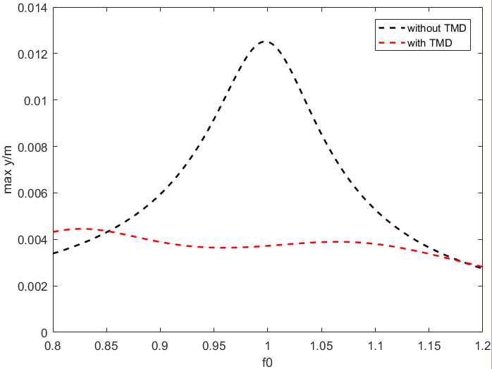
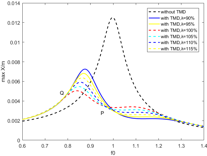
- 探索大型结构减振所用的调谐质量阻尼器减振原理,进行相关的动力学建模和数值仿真的研究,以模拟在外部振源激励条件下TMD对楼面振动的减振效果。进行并进行matlab仿真,比较有无TMD时的最大振幅。
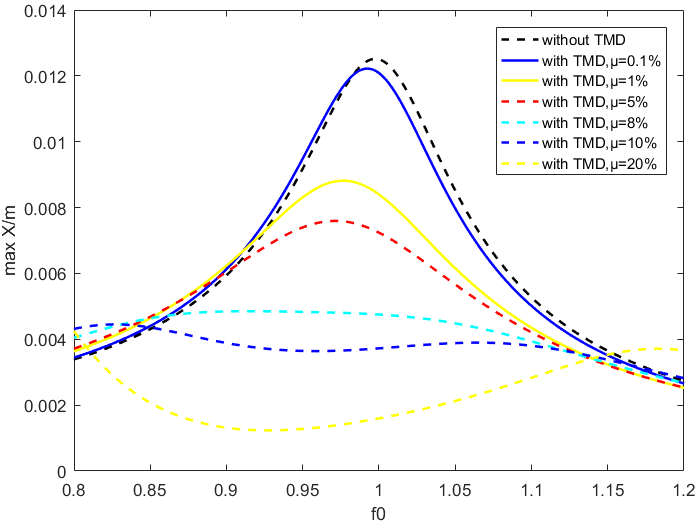
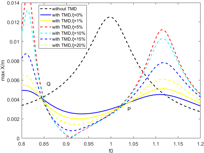
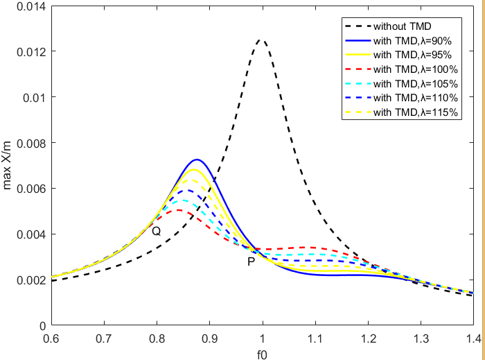
 - 通过对运动方程的推导得出振动响应的解析解继而分析出影响TMD减振效果的主要因素,根据单一变量原则依次改变这些影响因素并进行matlab仿真,分析主结构在不同TMD作用下的振动变化情况。
 - 仿真设计一种通过不同内径橡胶圈锁住弹簧的不同圈数的方法调节刚度的调谐质量阻尼器,制作实物,设计一种振动台方案,进行误差分析。
 
最后,全文总结,工作展望。
关键词:振动 调谐质量阻尼器 matlab仿真 刚度可调 外激励 影响因素
Abstract
In the past twenty years, the urban population density in China has been increasing. Although the urban construction land is growing on the whole, it is still more and more tense. The height of traditional architecture is difficult to meet the needs of people, and the future architecture will be higher in an irreversible trend.
With the construction of various high-rise buildings and the application of light and high strength materials, the height of the building is increasing and the ratio of transverse and longitudinal is decreasing. If the traditional architecture is still used to change the height of the material simply, the structural stiffness and damping of the whole building will be severely reduced. The vibration response of the building structure will be significantly increased under the influence of various external incentives, and the safety and comfort of the residents can not be effectively guaranteed. The traditional method to design the anti wind and seismic design method by means of improving the strength and stiffness of the structure is poor in economy, the safety is difficult to guarantee, and the adaptability is limited.
With the rapid development of modern industrial science and technology, mechanical equipment, large traffic and transportation tools are developing towards high speed and heavy load, and the harm of vibration is becoming more and more obvious. Under this background, it is of great significance to reduce or control the production of harmful vibration by means of reasonable methods. In such a large environment, tuned mass dampers, a safe, economical and reasonable structural anti vibration design method, is widely used in various practical projects.
The structure consists of a flexible mechanism, a mass block and a damping system to dissipate the energy transferred from the main structure. For the simplest tunable mass dampers that can not adjust the stiffness or the mass and then change the natural frequency, the vibration response of the main structure can be weakened only when the natural frequency of the main structure is close to the natural frequency of the main structure. When the main structure is excited by the external excitation, the inertia mass of the tuned mass damper is generally the mass structure and the main structure resonance, and the vibration energy of the controlled vibration mode is consumed by its own damping structure, which is also the key step of the tuned mass damper. Just a simple energy transfer operation can not achieve the damping effect of the whole system.
After understanding and studying the research and research status of tuned mass dampers at home and abroad, the following research works have been carried out.
1) to explore the damping principle of the tuned mass damper for large structure vibration damping, and to study the dynamic modeling and numerical simulation to simulate the vibration damping effect of TMD on the floor vibration under the excitation of external vibration source. Matlab simulation is carried out to compare the maximum amplitude of TMD with or without.
2) through the derivation of the equation of motion, the analytical solution of the vibration response is obtained and the main factors affecting the effect of TMD vibration damping are analyzed. According to the single variable principle, these factors are changed in turn and the MATLAB simulation is carried out to analyze the vibration changes of the main structure under the action of different TMD.
3) a kind of tuned mass damper is designed to adjust the stiffness by different cycles of different inner diameter rubber ring locking spring. A test bench is made and a spare vibration table is designed. The simulation is compared with the experimental data, and the error analysis is carried out.
Finally, the full text summary, work prospect.
Keywords: vibration tuned mass damper matlab simulation stiffness adjustable external excitation influencing factors
目录
第一章绪论 1
1.1引言 1
1.2国内外现状 2
1.3 本论文的研究内容及意义 4
第二章 TMD减振原理及各因素对减振效果影响 5
2.1调谐质量阻尼器的减振原理 5
2.2调谐质量阻尼器质量对结构振动的影响 7
2.3调谐质量阻尼器阻尼对结构振动的影响 8
2.4调谐质量阻尼器的固有频率对结构振动的影响 9
2.4调谐质量阻尼器的设计局限 10
2.5调谐质量阻尼器的仿真与实验研究 12
第三章 刚度可调的调谐质量阻尼器设计 14
3.1设计原理 14
3.2研究模型建立的依据 15
3.3实验台soliderworks模型建立 15
第四章 减振系统的仿真 21
4.1主结构的振动仿真分析 21
4.2调谐质量阻尼器的参数选取 21
4.3 刚度调节 23
4.5不同质量TMD刚度调节效果 24
第五章 TMD减振效果实验 26
5.1实验台架的基本结构和主要设备 26
5.2实验台架各部件连接方式 27
5.3实验台的缺陷分析 27
5.4自制电机振动台 28
5.5后续工作 29
第六章 全文总结与工作展望 30
6.1全文总结 30
6.2工作展望 30
参考文献 32
致谢 33
第一章绪论
1.1引言
振动广泛存在于日常生产和生活中,人们了解、利用振动作用,振动理论是现代许多科学技术领域的基础理论。不论是地面各种类别上的车辆,还是天空中五花八门的飞行器,又或者是海洋中不同种类的船只,这些交通运输工具都在不断的振动。振动会造成机械设备加工精度降低、测量仪器测量出现偏差、桥梁建筑使用寿命缩短,更甚者会产生很严重的事故,比如地震造成的房屋倒塌、车辆旋转主轴断裂、冲击钻地面作业造成操作者手臂坏死等现象[1]。
随着现代工业科技的飞速发展,机械设备、大型交通、运输工具,都在向着高速、重载趋势发展,振动所产生的危害也越来越明显,在这种背景下,通过合理的方式方法减低或控制有害振动的产生有着非常深远的意义。
调谐质量阻尼器(TMD)作为一种已经经历了长时间发展的,有效的,可靠的,相对成熟的结构振动控制方法,已经应用于大量的实际项目中,在各种结构中起削弱主结构振动的作用,是一款具有很好应用前景的控制设备。
其结构由弹性机构配合质量块和用来消耗从主结构传递过来的能量的阻尼系统组成。对于这种结构最简单的无法调节刚度或者质量进而改变固有频率的调谐质量阻尼器只有令其固有频率与主结构固有频率相近时才能起到减弱主结构的振动响应的效果。当主结构受外部激励产生振动时,其调谐质量阻尼器的惯性质量一般也就是质量块结构与主结构谐振,并通过自身的阻尼结构将吸收自主结构受控振型的振动能量消耗掉,这也是调谐质量阻尼器减振的关键一步,没有这一步就只是简单的能量转移操作相对整个系统无法起到减振效果[2]。
调谐质量阻尼器可以根据具体的结构特点器设计成不同的形式并没有一种固定的具体结构模式,根据主结构空间结构的特点安装在不同的位置。方便,明显的抑制主结构的振动响应,明显的阻尼效应,结构适应性强,是被动系统减振方式研究的重点。
本文探索大型结构减振所用的调谐质量阻尼器减振原理,进行相关的动力学建模和数值仿真的研究,以模拟在外部振源激励条件下TMD对楼面振动的减振效果。进行并进行matlab仿真,比较有无TMD时的最大振幅。通过对运动方程的推导得出振动响应的解析解继而分析出影响TMD减振效果的主要因素,根据单一变量原则依次改变这些影响因素并进行matlab仿真,分析主结构在不同TMD作用下的振动变化情况。设计了一种通过不同内径橡胶圈锁住弹簧的不同圈数的方法调节刚度的调谐质量阻尼器,制作实验台,设计一个备用振动台,进行仿真并与实验数据作比较,进行误差分析。
1.2国内外现状
1.2.1早期调谐质量阻尼器的发展
调谐质量阻尼器(TMD)是在现有的结构控制装置当中是起源最早的结构控制之一,可以追溯到19世纪初。1909 年, Frahm 发明了一种被称为“动力吸振器”的振动装置,它是已知的最早的同时相当接近现有TMD概念的使用TMD进行振动控制的实例。该装置具有方便、成本低、对窄带振动抑制效果显著的优点。这一百多年来,在存在大型结构,需要控制振动的各个领域例如土木工程、航天、航空、航海等均应用于大量的实际项目中。另一方面,TMD也被称为动力吸振器(TVA),随着 TVA 在工业上的大规模的应用,TVA被广泛的研究,不断的发展进步[3]。
七、八世纪建于日本的法隆寺五重塔(图1-1)在多次地震中完好地保存下来。在这座塔的上部装有一根长木杆,长木杆的下侧与直径略大于长木杆直径的孔洞配合,当地震发生振动时,竿振动,触碰洞壁,使能量耗散,这个个过程就相当于TMD的阻尼结构,很好的将整个主结构的振动能量转移到长杆结构上并在杆与洞壁的碰撞中消耗掉,减小塔身的振动,这一点与TMD吸振的原理一致[4]。

图 1-1 日本法隆寺的五重塔
依靠结构强度和能量耗散来承受重载荷,暴风和强震的影响的传统的结构设计已经暴露了其在成本、整体安全性和全面适用性方面的严重缺陷。1909年,Frahm申请了一项关于通过对一个质量的运动控制来改变主质量的运动,降低主结构振动响应的概念的专利。这引起了广泛的讨论和研究。根据这一概念制造的调谐式大型减震器最开始是用于降低船舶的振动响应,后来随着技术大发展,逐渐用于减轻建筑物在重载荷,风和地震下的振动[5]。
1928年,Ormondroyd和Den Hartog首先研究了主系统中两自由度系统的无阻尼动力减振器和有阻尼动力吸振器的理论,取得显著成果——给出了TVA的全面理论。1953年,Pipes提出了一种具有双曲正弦特征的特殊加劲弹簧(强化弹簧)。在这个设计中,利用非线性弹簧阻止尖锐共振峰的出现,振幅相对较小相对小的奇次谐分量被引入吸振器和主系统的运动中[6]。
1960年,Snowdon研究了主结构的性能,通过令刚度与频率成正比(从现有理论可以发现,这种条件下,TMD固有频率为定值)和恒定的阻尼系数材料的动力吸振器减少主结构的振动响应。它的这一发现可以有效减少主系统的共振振动。[7]
1972年美籍华裔学者J.T.P.Yao首次提出结构控制的概念,从那以后,结构控制便引起了世界各国专家学者的关注。历经四十多年的不断发展和完善,研究和应用的领域大体可分为:被动振动控制、半主动振动控制、主动振动控制三类。[8]
1.2.2结构振动控制
以上是毕业论文大纲或资料介绍,该课题完整毕业论文、开题报告、任务书、程序设计、图纸设计等资料请添加微信获取,微信号:bysjorg。
相关图片展示:








        
            
