基于python深度学习的股票市场价格预测毕业论文
2020-02-19 18:16:03
摘 要
股票市场和经济活动息息相关,股票市场不仅能体现宏观经济形势,也对微观经济的分析具有重要指导作用。自我国拥有股票以来,股民数量已经以千万计,股票已经渗透入我们日常生活中经济部分的点点滴滴。因为股票的低投入、高回报的特征,一直以来分析股票价格运动的内在规律都是研究的热点。然而因为股票本身的特点以及多方外界因素的影响,股票市场价格的预测必然是艰巨的。
本文详细介绍了传统RNN建立的模型的优缺点,进而引出LSTM算法对于传统RNN的改进和详细的算法内容和系统实现方法,具体介绍了LSTM算法在股票价格预测的实际应用,并介绍了系统实现的必要步骤。随后介绍了系统完成后的运行结果。系统可以正确运行并输出可视化的图像供用户观察股票价格涨跌的相对值。
关键词:LSTM;RNN;深度学习;股票预测
Abstract
The stock market is closely related to economic activities. The stock market not only reflects the macroeconomic situation, but also plays an important guiding role in the analysis of the micro economy. Since China has owned shares, the number of shareholders has reached tens of millions, and stocks have penetrated into the economic part of our daily lives. Because of the low input and high return characteristics of stocks, it has always been a hot topic to analyze the inherent laws of stock price movements. However, because of the characteristics of the stock itself and the influence of various external factors, the forecast of the stock market price is bound to be arduous.
This paper introduces the advantages and disadvantages of the traditional RNN model, and then introduces the improvement of the traditional RNN and the detailed algorithm content and system implementation method of LSTM algorithm. It introduces the practical application of LSTM algorithm in stock price forecasting and introduces the system implementation. The necessary steps. Then the results of the operation after the system is completed are introduced. The system can run correctly and output a visualized image to observe the rise and fall of the relative value of the stock price.
Key words: LSTM; RNN; deep learning; stock prediction
目录
第一章 绪论 6
1.1选题意义 6
1.2国内外研究现状 6
1.2.1国外发展现状 6
1.2.2国内发展现状 6
1.3小结 7
第二章 股票性质及其预测方法 8
2.1股票的基本概念及其特征 8
2.2股票价格的诸多影响因素 8
2.2.1宏观经济因素的影响 9
2.2.2政治因素对股价的影响 9
2.2.3公司所属行业的性质对股价的影响 9
2.2.4公司经营业绩的影响 10
2.3股票预测行为可行性的理论依据 10
2.3.1可行性理论 10
2.3.2常见股票预测方法简述 11
2.4小结 11
第三章 深度学习概念及其应用 12
3.1深度学习概述 12
3.2深度学习方法 12
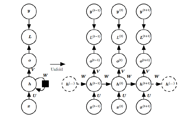
3.2.1 RNN神经网络模型分析 12
3.2.2 LSTM神经网络模型分析 14
3.3小结 18
第四章LSTM神经网络算法 19
4.1 算法综述 19
4.2 LSTM算法过程分析 19
4.3 LSTM在股票预测中的原理应用 21
4.3.1数据预处理 21
4.3.2数据建模 23
4.3.3定义图 24
4.3.4训练数据集 24
4.4股票预测系统的实现 25
4.5小结 26
第五章 小结及展望 27
5.1股票价格预测系统的应用 27
5.2结果分析 27
5.3.进一步的研究 27
5.4 小结 28
参考文献 29
致 谢 30
第一章 绪论
1.1选题意义
深度学习的产出和发展带来了人工智能领域的诸多新的变化。股票预测是指对股市具有深刻了解的证券分析相关人员按照股票的发展行情、对将来股票市场发走向以及涨跌幅度进行的预测行为。这一系列预测行为完全是基于假定的因素为既定的前提条件为基础的。
近年来,股票市场高风险、高收益并存的特点得到愈来愈多股票投资人的关注,投资人们渴望获知股票市场内在的变化规律,进而更准确获知股票走向如何,从而建立相应的风险规避策略,以获得更高利润。因此,投资者们希望能提前准确获知股票市场以后的发展走向以及相应的股票价值。
1.2国内外研究现状
1.2.1国外发展现状
2006年,加拿大学社Hinton[1]等在《Science》上发表的文章首次使用了一种应用深度信念神经网络(DNN)模型来实现数据的降维的方法,该方法相较于传统的数据降维方法取得了愈发明显的成效,让关于深度学习神经网络的讨论愈发的热烈,由此引发了深度学习研究的热潮。
2010年NGUYEN N N[2]等人提出的GSetsk框架采用了一种新的多维尺度增长聚类算法(MSGC),该算法模拟了人类的认知过程,并且能够在没有任何先验知识的情况下灵活地生成模糊规则。
2011年XIAODONG LI[3]等人使用多核学习技术,通过结合这两个信息源对香港股市进行预测,无论是交叉验证还是独立测试,都比基于单一信息源的基线系统和以简单方式集成信息源的系统具有更好的定向精度。
1.2.2国内发展现状
2006年唐万梅[4]通过对BP神经网络、灰色系统理论和支持向量机的研究,针对其中不足建立了新的预测模型。
2007年姚培福[5]针对BP算法训练数据集速度慢的缺陷,提出了自适应步长的改进型BP算法,减少了达到收敛的时间,并将一种将模拟退火算法与改进型BP算法相结合,提出新的混合算法。该算法对与BP神经网络陷入局部极小值的问题有较好的改进。
2008年王莎[6]在深入分析股票市场预测面临的关键问题并比较各种股票预测方法的基础上,在其文中讨论了使用BP神经网络分析和预测股票走势进行的可行性。
2010年尹璐[7]采用了遗传算法优化BP神经网络,解决了BP算法调整过程中收敛时间长,陷入局部极小值的可能性极大的难题,效果显著。
2015年张佳禹[8]基于股票质量影响因素创建指标评价体系,构架神经网络股票质量评价模型,对投资者决策提供参考一依据。
2016 年刘玺[9]通过主成分分析进行降维,并运用思维进化法来优化神经网络的初始权值和阈值。通过四个对比模型得出考虑综合变量、降维和优化的必要性。孙冰洁[10]等人利用小波分析将原始非平稳时间序列分解为不同尺度的时间序列分量,对每一层的系数做建模与预测,并通过对每一层的系数进行整合,来获取原始时间序列的预测值。
2017年曹晓、孙红兵等人[11]便提出一种基于灰色GARCH模型和BP神经网络的股票价格预测模型。有效解决了传统算法在进行股票价格预测时存在的精度低和滞后性大等缺点。
2018年李浩丹[12]利用显著影响股票收益的十一种财务指标,根据构建的RNN模型预测了证券市场的中短期收益率,并依据预测进行模拟投资。季阔[13]使用三层神经网络来实证分析上证指数收盘价,通过对比标准BP神经网络和改进的BP神经网络模型,获得了更具预测能力的模型。汪意发[14]通过捕捉新闻内容获取股价走势变化信息,结合多个特征设计了一个可以获取股票相关新闻信息和历史股票价格的预测模型。王晨[15]从创业板制造业企业的偿债能力、盈利能力、发展能力、运营能力和资本结构五个维度和二十五个指标,分别对发生财务风险的样本公司前三年的比率以及行业平均值进行比较分析,经过二次检验准确率达到80%以上。
1.3小结
选题意义决定着整个研究课题的成功与否,其重要性可见一斑。本章从深度学习的研究价值和股票预测对市场经济的影响两个方面介绍了本论文的研究意义。然后简要介绍了国内外学者关于利用深度学习方法进行股票价格预测的研究现状。
第二章 股票性质及其预测方法
2.1股票的基本概念及其特征
股票是一种由股份制有限公司发行的,证明股东持有的股份的有效证明。股票的存在阐明了股票的持有者拥有对于该股份公司的部分资本的所有权。股票也是有价证券的一种,因为股票具有经济效益,加之其也可以进入市场进行交易和流通。股票具有以下多个特征:
(1)不可偿还性
股票是有价证券的一种,且股票不设有还款期限,即股票一旦被投资者认购,投资人就无权做出退股的操作,只能将股票再次投放进入市场卖给其他投资人。股票的交易仅仅意味着公司股东的变动,公司本身的资本并不会受此影响。如此来看,公司存在与否,就意味着它所发行的股票的存在与否,公司的存在时间越长,则股票的到期日就越长。
(2)参与性
参与性是指股票持有人有权参与股份制公司重大决策这一特点。作为股份公司股东的股票持有人,理论上可以行使其对公司的多种权力,如公司重要政策决策的参与权、对公司董事会进行选举投票的权力等。
从实际角度来说,一旦股东持有的股份比例达到能够决定决策结果所需的实际比例时,该股东就拥有对公司决策的决定权。
(3)收益性
股票可以为持有人带来收益,这是人们普遍的任职,也是股票最基本的特征。持有股票的目的就在于获取利益。股份公司的营收和股票的流通是股票收益来源的两个主要成分。
公司的获利能力和公司的利润分配方式基本确定了股东可以凭借其股票获得利益的多少。股票流通时,持股人买入股票的价格和卖出股票的价格以及其持股数量决定了其获益的多少。这些都体现了股票的收益性的特征。
(4)流通性
股票的流通性是指股票具有可以在不同投资人手中交易流通的性质。流通性可以以多种形式体现,例如,可流通的股票数量以及股价对交易量的敏感程度等。
这个性质使得投资者一旦卖出股票就能获得同等价格对应的现金。通过对股市上股价变动和股票流通,投资人们的心理和对于市场的大体判断可见一斑,对于公司的价值、能力,行业的发展前景也有参考价值。
2.2股票价格的诸多影响因素
股票的价格是对股票价值的最直接反应,股票的价值决定了股票的价格,因为价值决定了价格,但是价格是不断波动的,股票的价格仍同时受到其他多方因素的影响。
2.2.1宏观经济因素的影响
宏观经济环境状况好坏及其变动对股票市场价格有一定的影响,包括宏观经济运行的周期性波动等规律性因素、政府实施的经济政策等政策性因素等。上市公司是宏观经济运行微观基础中的重要主体。股票市场是整个金融市场体系的重要组成部分。
2.2.2政治因素对股价的影响
政治因素指一些政治活动,这些活动往往具有强制、突发的特性,且对股票市场具有一定的冲击力,这其中包括重大经济政策和发展计划以及政府的法规、政治举措等等。现如今,股票价格往往对于较大政治事件的反应非常灵敏,主要表现在:
(1)国际形势的影响。如某两个国家的外交关系的改善必然带来相应经济上的合作,相关的行业会得到一定的发展。这种发展也会使有关跨国公司的股价有所上升。
(2)军事因素的影响。主要是指军事冲突的影响。军事冲突是利益集团之间的矛盾发展到不可以采取政治手段来解决的程度的结果。这种矛盾不可调和时即带来战争。各国政治经济变得极其动荡,股票价格也随之变得普遍低下。但是这种影响在某些行业也由逆向发展的势头,比如军工业。战时,与军工业相关的公司的股票价有大幅度上涨的潜力。
(3)法律因素的影响。一国的法律特别是股票市场的法律规范状况对股市的发展极为重要。通常来说,在法律不健全的市场环境下,股票市场更具有投机性,规律性差,存在暗箱操作等违规行为。总体上说,成熟的股票市场法律法规体系比较健全,反之,新的股市的法律法规亟待完善。
2.2.3公司所属行业的性质对股价的影响
公司的股票价格的上涨与否会受到其所属产业和行业的好坏的影响。例如,企业的发展前景较好,则投资人就更倾向于在这样的股票进行投入;反过来,如果公司处于发展较差的产业,其发展前景堪忧,无法对投资人的效益作相应的保障,投资人不愿意进行投资。因此,公司所属行业的性质对股价预测具有前瞻性的指导意义。具体可以从下几个方面来展开分析:
(1)从商品形态上分析股份制公司的产品。生产资源和消费资源的区别是,前者是满足人们的生产需要,后者则是直接满足人们的生产需要的。但其各自体现出对经济影响截然不同的表现方式。通常来说,当经济形势越朝着积极的方向发展时,生产资源的生产增加快于消费资源。
(2)从需求模式上分析股份制公司的产品。例如,若是国内销售为主,则主要应考虑国内的法律法规和政策调整等的影响;出口销售为主的公司则更应该考虑可能会受到国际上政治形势,往来国家的航线的气候等原因的牵制。
(3)从生产模式上分析股份制公司是哪种类型。劳动密集型或者资本密集型或是技术密集型的公司在股市中表现不尽相同。需要以各自行业的生产模式上的差异专门做出判断。
2.2.4公司经营业绩的影响
从理论上讲,股价与效益、业绩三者的关系并没有很明显地相互作用关系。但以高屋建瓴的长远眼光来看,公司的经营、业绩方面的变化,是可以使得股价的表现有所变化的。即如若效率、业绩均表现不错,股价也会随之上浮。股票随着业绩进行调整是股市的原则之一。
2.3股票预测行为可行性的理论依据
2.3.1可行性理论
(1)市场行为涵盖一切
市场行为简单来说,就是买入和卖出。买入和卖出造成的结果就是价格的运动。
在基本面分析中,有多种场景可能导致买入、卖出行为的出现。但是无论在什么情况下,买的人多,价格势必要上涨;卖的人多,价格势必要下跌。
在正常情况下,市场中不会出现买方占优,而价格下跌的情况,同样也不会看到卖方占优而价格上涨的情况。所以,理论上直接分析市场的行为就可以对股票价格进行预测。
市场行为最直接的表现就是价格的运动。价格的变动相反又会影响市场的行为。这就能够带出三大假设中的第二个假设。
(2)价格依据趋势移动
价格运动对市场行为的影响最直接的表现是趋势的变化。趋势的定义是唯一的,趋势就是方向。上涨或下跌。追涨,使价格上涨更为猛烈。杀跌,使价格下跌更为猛烈。
价格运动始终有趋势,这种方向性总是不断地出现。这就引出了第三个假设。
(3)历史往往重演。
历史重演不是一种简单的形态重演,历史重演是因为人性不会改变。更准确的说是资本的本性不变。资本的本性是什么?资本的本性是逐利。当有利可逐之时,资本必然蜂拥而至。当没有利润时,资本将不可避免的逃离。价格运动就在这周而复始中起起落落。
2.3.2常见股票预测方法简述
股票市场在世界各地都经过了长足的发展,到如今已经有丰富的预测手段和方法。这些方法大体上可以分类为:技术分析与基本面分析。
基本面分析是一种关于安全性的评估方法,它试图检查相关的经济,金融和其他定性、定量因素以达到评估其内在价值的目的。相关分析师研究任何可能影响证券价值的因素,这其中包括宏观经济因素和微观经济因素等。基本分析的最终目标是产生一个定量值,投资人可以把这个值与股票的当前价格进行对比,进而预测该股票的价格是被高估或低估。
技术分析是一种用于通过分析从交易活动收集的统计数据的交易工具,他可以评估证券和识别交易机会。与基本面分析师试图评估股票内在价值的行为不同,技术分析师专注于图表和各种分析工具来评估股票价格变动的积极或消极。
2.4小结
本章介绍了本文研究的对象股票以及它各种性质和其价格预测方法,以及为什么股票价格的预测行为时可行的一系列问题,充分介绍了股票的相关知识。为后文的工作做了重组的准备。
第三章 深度学习概念及其应用
3.1深度学习概述
深度学习是机器学习的一种技术和研究领域的,它们通过建立具有阶层结构的人工神经网络,在计算系统中实现人工智能,本质上是具有多个隐藏层的人工神经网络 。由于阶层ANN能够对输入信息进行逐层提取和筛选,因此深度学习具有表征学习能力,可以实现端到端的监督学习和非监督学习。此外,深度学习也可参与构建强化学习系统,形成深度强化学习。
深度学习所使用的阶层ANN具有多种形态,其阶层的复杂度被通称为“深度”。在构建类型方面,深度学习形式包括多层感知器、卷积神经网络、循环神经网络、深度置信网络和其它混合构造 。深度学习使用数据对其构筑中的参数进行更新以达成训练目标,该过程被通称为“学习”。学习的常见方法为梯度下降算法及其变体,一些统计学习理论被用于学习过程的优化 。
在应用方面,深度学习被用于对复杂结构和大样本的高维数据进行学习,按研究领域包括计算机视觉、自然语言处理、生物信息学、自动控制等,且在人像识别、机器翻译、自动驾驶等现实问题中取得了成功。
以上是毕业论文大纲或资料介绍,该课题完整毕业论文、开题报告、任务书、程序设计、图纸设计等资料请添加微信获取,微信号:bysjorg。
相关图片展示:









