基于离子导电型纳米纤维素水凝胶的电子皮肤毕业论文
2020-02-19 14:34:36
摘 要
纤维素作为一种普遍易得的天然材料,具有轻质、良好的生物相容性、可降解性以及可再生性等诸多优点。在这些特点的基础上对纤维素进行改性处理,可以制得性能更加优异的纳米纤维素。纳米纤维素在拥有纤维素的各项优点的基础上还具备高结晶度、高纯度、高亲水性、高透明性和超精细结构等众多优异的特性。通过2,2,6,6-四甲基哌啶-1-氧自由基(TEMPO)催化氧化的纳米纤维素可以将纤维素表面的醇羟基氧化成羧基,通过盐酸交联可以使纳米纤维素凝胶化,制得具备三维网络结构的纳米纤维素水凝胶。往其中加入导电离子可使其具备离子导电性。
本研究探索了用K 、Ca2 、Li 置换得到的纳米纤维素水凝胶的传感性能,发现Li 置换得到的水凝胶具备最优异的传感性能,改变所加入的Li 的浓度,探究离子浓度对水凝胶各项性能的影响,并通过传感的灵敏度、材料电导率、材料的力学性能表征材料的性能。研究结果表明加入金属离子的纳米纤维素水凝胶在力学性能、电导率以及传感性能方面都有显著提高。在Li 质量分数为30 wt%时表现出最优异的传感性能。这类水凝胶凭借其优异力学性能、生物相容性、高透明性等在柔性触觉传感器上有着极大的应用前景。因此导电水凝胶电子皮肤在人体运动检测、软体机器人、个人健康监测、人机交互以及人工智能等方面具有广泛的应用前景。
关键词:纳米纤维素;导电水凝胶;电阻型应变传感器;电子皮肤
Abstract
As a commonly available natural material, cellulose has many advantages such as light weight, good biocompatibility, degradability and renewability. On the basis of these characteristics, the nanocellulose with superior performance was obtained by modifying cellulose. Nanocellulose has many excellent properties such as high crystallinity, high purity, high hydrophilicity, high transparency and ultra-fine structure, in addition to the advantages of cellulose. The nanocellulose catalyzed by 2,2,6,6-tetramethylpiperidine-1-oxyl radical (TEMPO) can oxidize the alcoholic hydroxyl group on the cellulose surface to a carboxyl group, and the nanocellulose can be crosslinked by hydrochloric acid. Gelation to obtain a nanocellulose hydrogel having a three-dimensional network structure. Conductive ions was added to make them ionically conductive.
This study explored the sensing properties of K , Ca2 , Li displaced nanocellulose hydrogels, and found that the Li substituted hydrogels have the best sensing properties and change the concentration of Li added. The effect of concentration on the properties of the hydrogel, and the performance of each material was compared by sensing sensitivity, material conductivity, and mechanical properties of the material. The results show that nanocellulose hydrogels with metal ions have significant improvements in mechanical properties, electrical conductivity and sensing properties. The experimental results show the best sensor performance when the Li content is 30 wt%. Such hydrogels have great application prospects in flexible tactile sensors due to their excellent biocompatibility, high transparency and high adhesion, so human motion detection, soft robots, personal health monitoring, human-computer interaction and Artificial intelligence and other aspects have wide applications prospects.
Key Words:Nanocellulose; Conductive hydrogel; resistive strain sensor;Electronic skin
目 录
摘 要 I
Abstract ……………..II
第一章 绪论 1
1.1 纤维素 1
1.1.1 纳米纤维素 2
1.1.2 纳米纤维素的制备 3
1.2 TEMPO氧化 4
1.3 水凝胶 5
1.4 柔性应变传感原理 6
1.5 研究目的和意义 6
第二章 材料与方法 7
2.1实验材料与仪器 7
2.1.1实验材料 7
2.1.2实验仪器 8
2.2样品的制备 8
2.2.1纳米纤维素分散液的制备 8
2.2.2纳米纤维素水凝胶的制备 9
2.3样品的处理 9
2.4 纳米纤维素水凝胶的表征 10
2.4.1 K 、Ca2 、Li 溶液置换水凝胶的传感性能测试 10
2.4.2 不同浓Li 溶液置换水凝胶的传感性能测试 10
2.4.3 压缩性能测试 10
2.4.4 红外光谱测试 10
2.4.5 扫描电镜测试 11
2.4.6 导电性能测试 11
第三章 结果与讨论 12
3.1纳米纤维素水凝胶的形貌特征 12
3.1.1扫描电镜分析 12
3.1.2红外光谱分析 13
3.2纳米纤维素水凝胶的力学性能 14
3.3纳米纤维素水凝胶的传感性能 15
3.3.1灵敏度分析 15
3.1.2导电性能 16
第四章 结论 17
4.1 总结 17
4.2 展望 17
参考文献 18
致 谢 20
第一章 绪论
近年来,灵活的应变传感器(电子皮肤)因其在人体运动检测、软机器人、个人健康监测、人机交互以及人工智能中的巨大潜在应用而引起了极大的关注。通常有四种用于实现触觉传感器的传感机制,包括压阻式、电容式、压电式和摩擦式传感器。其中,基于压阻材料的柔性电阻型应变传感器由于其灵敏度高,结构和制造工艺简单而极具吸引力。然而,开发具有优异生物相容性、高透明性、高粘附性且低成本的柔性触觉传感器仍然具有挑战性。
纤维素作为一种具有结晶结构的多糖,是地球上含量最丰富的天然高分子,纳米纤维素水凝胶作为一类独特的“软”材料,具有高度溶胀性、光学透明性、生物可降解性、生物相容性等优点。使用TEMPO(2,2,6,6-四甲基哌啶氧自由基)选择性地氧化纤维素上的醇羟基所制备的纳米纤维素不但保留着传统纤维素的优良性质,还具有微小的尺寸结构、在水中易于分散、表面羧基密度含量高、生物相容性良好等诸多优异的特性。通过使用离子交联剂制备纳米纤维素水凝胶,往水凝胶中掺杂不同的离子,可使其具有离子导电性,可以实现这种水凝胶的导电性能。
当今时代,环保和可持续是发展的主题。纳米纤维素轻质、易降解以及良好的生物相容性等优点使得其在当今的生物医药、应变传感等领域有着广泛的应用以及广阔的发展前景,对纤维素的改性利用在今后很长一段时间都将处于研究的热点。
1.1 纤维素
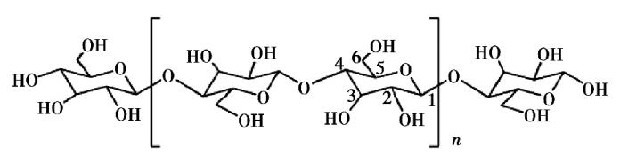
纤维素是自然界中常见的一种物质,它普遍地存在于大多数植物以及部分的海洋生物之中,来源相当广泛,是一种丰富的自然资源[1]。1838年,Anselme Payen首次发现了纤维素的存在并完成了对纤维素样品的制备[2]。纤维素的化学结构式为(C6H10O5)n ,天然纤维素的结构如图1.1所示。纤维素是由几百或者几千个D-吡喃葡萄糖酐(1→5)借由β(1→4)苷键连接起来的线性多糖。其分子内部与分子之间存在着不少氢键,这使得纤维素与传统的木质生物质相比,更难溶于水和一般的有机溶剂[3]。纤维素中裸露的羟基以及还原性或非还原性端基使其可以参与完成多种化学反应,因此纤维素的改性以及各种纤维素基材料的探索与制备存在着非常广阔的空间。由于纤维素内部存在的氢键作用力,其本身的水溶性会相对较差,而且纤维素的力学性能也不能满足多数材料的需求,所以研究纤维素性质的改造增强其各种性能成为了目前研究的主要方向。

图1.1 天然纤维素的分子结构
1.1.1 纳米纤维素
纳米纤维素是一种超细微纤维,它们的直径一般小于100 nm,是纤维素的最小的物理结构单元[4]。与普通的纤维素相比,纳米纤维素具有高结晶度、高纯度、高亲水性、高透明性和超精细结构等众多优异的特性,与此同时,纳米纤维素还保留着天然纤维素的轻质、可降解、生物相容性和可再生等特性,使得其在医学、电子产品、食品、造纸、建筑以及化妆品等多个领域都有着十分不俗的应用前景[5]。纳米纤维素的种类可大致分为分为微纤化纤维素(MFC)、纳米结晶纤维素(NCC)以及细菌纳米纤维素(BNC)等三类。
微纤化纤维素(MFC)一般是直径为5-60 nm,长度有数百纳米甚至几微米的纤维,存在着交叉分布的结晶区与非结晶区。通过机械方法所制得的纳米纤维素尺寸较长,而且直径通常比较大,一般约为50 nm左右,所以,这种方法所制备的微纤化纤维素的尺寸不够均匀。借由表面的化学处理可以在纤维素的表面引入电荷,各电荷间相互的排斥作用促进了纤维素的分离,可以制出尺寸更细微(3-5 nm)的纤维素,也可使纤维素的尺寸变得均匀。与此同时,各电荷之间的相互排斥作用可以促进在水相中的纤维素的分散作用,使纤维素分散液的稳定性得以提高。
纳米结晶纤维素(NCC)的直径分布在 5-70 nm,长度一般为 100-250 nm,是一种形状为短棒状的纤维素晶体。纳米结晶纤维素一般可以通过酸水解处理除去纤维素的非结晶区部分制备,该类纤维素的形貌、结晶度和结构均由其来源决定。如以木材为原材料的纳米结晶纤维素一般尺寸均匀且结晶度高(约为90%),而以动物纤维素或细菌等原材料制备的纳米结晶纤维素尺寸稍大而且不均匀。因为除去了纤维素的非结晶区部分,所以纳米结晶纤维素没有比较良好的柔韧性。纳米结晶纤维素的强度和光学性能使其在制备纳米复合材料和光学材料等方面有着巨大的潜力。
细菌纳米纤维素是借助需氧细菌合成的纤维素。与上述两类纳米纤维素不同的是,细菌纳米纤维素是通过细菌将葡萄糖小分子合成所制得的纳米纤维素。在通用的营养液中培养细菌,在营养液和空气所形成的界面会生成细菌纳米纤维素。这类纳米纤维素具有高纯度、高分子量、高结晶度和良好的机械稳定性等特点。但由于其工业化难度较大,它不具备上述两类纳米纤维素的低造价易制得等优点。
纳米纤维素作为一种新型的生物材料,有着特殊的纳米尺寸结构、力学性能和光学性能,同时还兼具纤维素作为生物质材料的轻质环保、可再生以及良好的生物相容性等优点,是近些年纤维素研究的前沿和热点。
1.1.2 纳米纤维素的制备
从制备纳米纤维素的原材料分类,可以将纳米纤维素分为植物、动物纤维素以及细菌纤维素等几种类型。从制备方法来看又有物理法、化学法以及生物法等几种分类。由于植物材料廉价且易得的特点,目前大多采用植物纤维素作为原材料。
物理法制备纳米纤维素是指将天然纤维素以高压机械处理制得,一般有高压均质法和化学机械法等制备方法[6]。高压均质法的处理过程中,压力能的释放和高速运动使物料粉碎,从而减小原料的尺寸。20世纪80年代早期,Turbak等[7]以4%左右的预水解木浆为原料,制备出了微纤化纤维素,Dufresne等通过高压均质化作用对纯化后的甜菜纤维进行处理,破坏其细胞壁,从而制备出微纤化纤维素。微纤化纤维素经干燥后可用于制备高度纤维片。Zimmermann等[8]采用不同的原材料,通过机械分散和高压均质过程,制备出了最大长度及直径小于100 nm的微纤化纤维素。分析表明,微米尺寸的纤维素易团聚在一起,网状结构不均匀。
高压均质法易出现均质机堵塞等问题,从而无法实现制备过程连续化。为解决上述问题,可采取化学机械法。化学机械法是先用化学降解方法对纤维进行适当的氧化降解预处理,再用高压均质机进行均质化处理的制备方法。采用化学机械法,可以从木材、麦草和大豆中制备出微纤化纤维素。Shree P. Mishra等[9]以漂白阔叶木硫酸盐浆为原料,先用TEMPO-NaBr-NaClO系统对其进行氧化,然后用搅拌机对氧化后的原料进行搅拌,可以制备出结晶度较高的微纤化纤维素。Alemdar等通过对麦草进行化学预处理,然后用机械法制备出了直径为0 ~ 80 nm、长度为几千纳米的微纤化纤维素。
化学法制备纳米纤维素是指将天然纤维素以酸水解或者酶分解以后制得纳米微晶纤维素。纳米微晶纤维素直径约为1-100 nm,长度约为几十到几百纳米,是一种刚性棒状纤维素,可在水中形成稳定的悬浮液[10]。化学法制备纳米微晶纤维素的同时,还可对其表面进行改性,进而使纳米微晶纤维素具备新的功能和特性。正因如此,化学法制备纳米纤维素是目前国内外研究的重点和热点。
酸解法是在酸性条件下使纤维素的β-(1→4)葡萄糖苷键断裂而去除纤维素的非结晶区以提取出纳米微晶纤维素的处理方法1947年,由Nickerson和 Habrle使用盐酸和硫酸混合的酸液水解天然纤维素制备了纤维素纳米晶。1952年,Ranby[11]同样利用了酸水解的方法制得了长50~60 nm、宽5~10 nm的纳米晶体纤维素。2013年,Li[12]等用磷酸水解医疗吸水棉,制备出纳米微晶纤维素。酸解法的最终产物与酸的种类、浓度以及反应温度、时间等有着密切关系。
由于酶具有定向催化的功能,因此纤维素的水解可以通过酶的催化作用来实现,同时可以增强纤维素的纤维化。纤维素酶主要可以分为三种:内切葡聚糖酶;纤维二糖水解酶,其主要切割纤维素结晶区域或无定形区域的末端,产生二糖和四糖;β-葡糖苷酶,二糖和四糖在酶的水解作用下被分解成葡萄糖。酶水解纤维素时,纤维素酶和木质素的结合是不可逆的,所以,在水解之前要去除其中的木质素[13]。
由于目前物理法与化学法去制备纳米纤维素均存在不少问题与局限性,因此,大都会采用物理法与化学法结合的方法,即先对纤维素原材料用酸或者酶进行预处理然后再通过搅拌等机械方法进行处理。将带有负电的基团引入到纤维素上,纤维素分子间的静电斥力促进了纳米纤维素的生成[14]。使用 2,2,6,6-四甲基哌啶-1-氧基自由基(TEMPO选择性氧化天然纤维素上的醇羟基,使其被氧化为易带负电的羧基,之后再对处理过的纤维素采取机械处理,可制得分散性良好且较长的单根微纤化纤维素。这种方法降低了单纯的物理法带来的能耗,同时也克服了化学法的废液污染问题。
1.2 TEMPO氧化
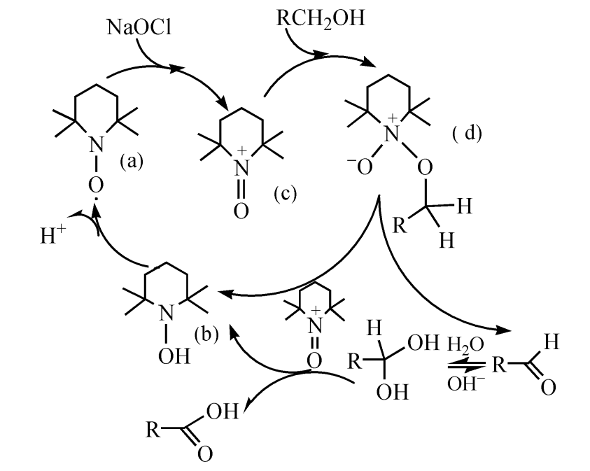
2,2,6,6-四甲基哌啶氧自由基(TEMPO)是稳定的亚硝酰自由基,图1.2(a)显示的是TEMPO的结构式。使用TEMPO可以将有机物的伯羟基选择性地氧化,TEMPO/NaClO/NaBr体系是一种比较常见的氧化方法,这种体系操作简便,氧化效率高。
图1.2表示的是TEMPO对有机物伯羟基的氧化机理:反应中,伯羟基进攻亚硝离子形成不稳定的中间态,会分解为羟胺和醛。亚硝酸离子可以将水溶液中进行缩醛化的醛的中间状态氧化成酸。羟胺失去质子得到TEMPO,共氧化剂可以将TEMPO氧化形成亚硝离子,可以循环使用[15]。

图1.2 TEMPO氧化有机物中伯羟基的反应机理
1.3 水凝胶
水凝胶是一种由三维网络亲水聚合物和大量的水组成的材料。这种网络结构聚合物可天然获得也可人工合成,通过物理或化学的交联可以防止聚合物溶解于水中。水凝胶在药物传递、组织工程、吸附剂、传感器、隐形眼镜等领域有着广泛的应用。
Isogai[16]等通过在纳米纤维素在水中轻微的机械分解之前使用TEMPO对其进行了氧化预处理,发现TEMPO介导的氧化可以选择性地氧化纳米纤维素6号碳上的羟基,并在其表面产出高密度的羧酸盐。羧酸盐对某些金属阳离子,特别是过渡金属阳离子具有很强的亲和力,可形成金属−羧酸盐配合物。
纳米纤维素水凝胶的制备方法是将金属阳离子扩散到纳米纤维素分散液中,利用金属阳离子与羧酸基团的结合亲和力引发凝胶化过程。将50毫摩尔的二价碱土阳离子Ca2 或过渡金属离子Zn2 或Cu2 的盐溶液加入纳米纤维素分散液可以引发纳米纤维素的快速凝胶化。与之前的纳米纤维素分散液不同,纳米纤维素水凝胶即使在被摇动时也没有流动性,而保持着原本的形状。


