三氟丙基甲基聚硅氧烷毛细管柱的研制及应用毕业论文
2020-04-21 16:58:42
摘 要
对于气相色谱的分离来说,耐温高、选择性好、活性低的优良性能毛细管柱决定了复杂混合物质的分离效果。硅氧桥、硅氧基及其他金属氧化物活性基团大多存在于石英毛细管柱表面,因而要想得到低惰性和高柱效的色谱柱,需要对柱内壁进行去活。本文介绍了多种方法预处理三氟丙基甲基聚硅氧烷(OV-215)。分述如下:
1.总结了近年来气相色谱法,尤其是固定液特点及种类,并讲述了不同的涂渍方法。对操作条件、分析过程以及结果做了一定的介绍。
2. 使用静态法制备30 m×0.25 mm×0.30 μm的三氟丙基甲基聚硅氧烷毛细管色谱柱。多次试验尝试后选择最优方案:用1%的HCl溶液和1%的KOH溶液,5%的甲基三甲氧基硅烷和三氟丙基三甲氧基硅烷(1:2,m/m)乙酸乙酯溶液进行表面去活,催化剂为1%HCl溶液,去活时间为0.5h。再将毛细管柱放入老化箱中老化,温度180 ℃反应5 h,温度250 ℃老化8 h。
3. 用已经做好的三氟丙基甲基聚硅氧烷毛细管色谱柱对辛醇异构体、叔丁基甲酚异构体进行分离。
关键词:三氟丙基甲基聚硅氧烷毛细管色谱柱 固定液 异构体
Development and application of trifluoropropyl methyl polysiloxane capillary column
ABSTRACT
For the separation of gas chromatography, high temperature resistance, good selectivity and low activity of capillary column determine the separation effect of complex mixture. Most of the active groups of silica bridge, silica group and other metal oxides exist on the surface of quartz capillary column. Therefore, in order to obtain a column with low inertia and high column efficiency, it is necessary to deactivate the inner wall of the column. n this paper, various pretreatment methods of trifluoropropyl methyl polysiloxane are introduced. It is as follows:
1. The characteristics and types of gas chromatography in recent years, especially stationary phases, are summarized, and different coating methods are described. The operation conditions, analysis process and results are introduced.
2. A 30 m x 0.25 mm x 0.30 um trifluoropropyl methyl polysiloxane capillary column was prepared by static method. After many experiments, the optimum scheme was selected: 1% HCl solution and 1% KOH solution, 5% methyl trimethoxysilane and trifluoropropyl trimethoxysilane (1:2, m/m) ethyl acetate solution were used to deactivate the surface, and the catalyst was 1% HCl solution with deactivation time of 0.5 H. The capillary column was then aged in an aging chamber at 180 for 5 h and 250 for 8 h.
3. Separation of octanol isomers and tert-butyl cresol isomers was carried out on the prepared trifluoropropyl methyl polysiloxane capillary column.
Key words: Polytrifluoropropyl methyl polysiloxane capillary column; Fixative solution;Isomer
目 录
摘 要 I
ABSTRACT II
第一章 文献综述 1
1.1 引言 1
1.2 固定相的分类 1
1.3 几种常见固定相的介绍 1
1.3.1 室温离子液体固定相 1
1.3.2 金属有机骨架固定相 1
1.3.3 石墨烯(碳纳米管)固定相 2
1.4 固定液的涂渍方法 2
1.4.1 静态法涂渍 2
1.4.2 动态法涂渍 2
1.4.3 溶胶—凝胶法涂渍 2
1.5 本课题的研究意义和方法 2
第二章 确定实验方案 4
2.1 实验试剂及仪器 4
2.1.1 实验试剂 4
2.1.2 实验仪器 4
2.2 固定液的处理及涂渍 5
2.2.1 无内壁处理直接涂渍 5
2.2.2 PEG-20M处理后涂渍 6
2.2.3 酸碱和三氟丙基三甲氧基处理 6
2.3 结论 8
第三章 OV-215毛细管柱的制备 9
3.1 实验试剂和仪器 9
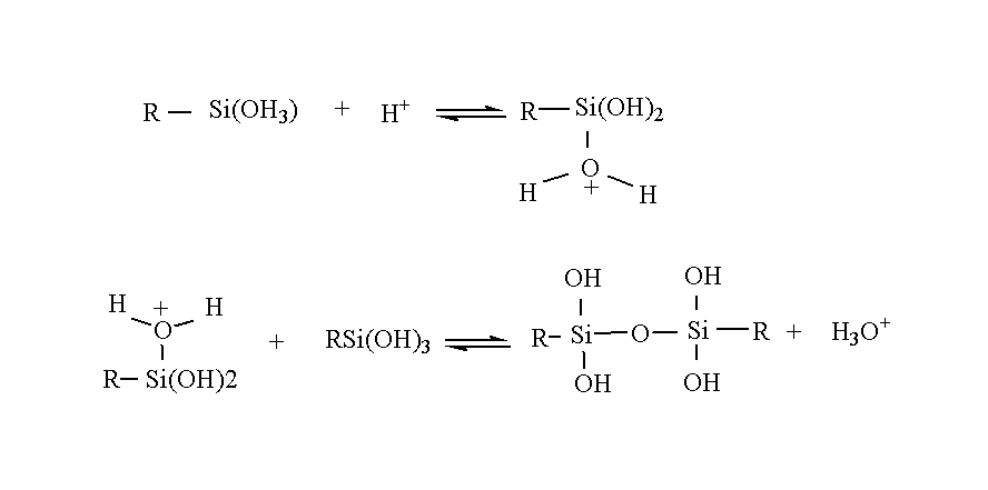
3.2 实验原理 10
3.3 静态法制备OV-215毛细管色谱柱 11
第四章 OV-215毛细管色谱柱的性能探究及其应用 14
4.1 色谱分离条件 14
4.2 交联度的探究 14
4.3 最高使用温度的探究 15
4.4 章节小结 18
第五章 OV-215毛细管柱的应用 19
5.1 二甲苯异构体的色谱分离 19
5.2 硝基甲苯异构体的色谱分离 19
5.3 叔丁基甲酚异构体的色谱分离 20
第六章 总结 22
参考文献 23
致谢 25
第一章 文献综述
1.1 引言
气相色谱法是使用毛细管柱对混合物进行分析的一门技术。它具有很多优点:分离能力高超、样品需求少、分离迅速和灵敏度高等。如今已经广泛应用于如环境分析、药品检验等各项领域。其中,毛细管柱的制作技术也日益成熟。
使用气相色谱法分离物质时,分离能力通常由其气相色谱柱固定液的涂渍决定,固定液要在柱表面形成均一稳定的薄膜。最好的方法就是将其粗糙化,即在涂渍前用一些试剂改变毛细管柱的理化性质,提高其湿润性。
1.2 固定相的分类
现如今,聚硅氧烷这一材料已成为毛细管柱固定相的主流。它具有低蒸气压、高粘度的优点,并且易交联,侧链易改性。毛细管色谱柱性能是由管柱效率决定的,只有柱表面有的液膜均一稳定才能有高柱效。按照极性分类,固定相可分为非极性、中等极性、极性聚硅氧烷固定相。
1.3 几种常见固定相的介绍
1.3.1 室温离子液体固定相
室温离子液体,是在室温左右由较大体积阳离子和相对体积较小的阴离子构成的,早期被称作熔盐。由于其低蒸气压、溶解度高、良好的热稳定性,在物质的分离上具有独特的选择性。离子液体在气相色谱分离中等偏弱极性组分时具有极性和非极性双重特点,这使得室温离子液体在复杂组分分离时具有很大优势。
1.3.2 金属有机骨架固定相
对于毛细管柱和气相色谱柱来说,传统的多孔材料已经应用比较广泛了。类似多孔沸石、活性炭以及碳分子筛。而金属有机骨架固定相(英文metal-organic frameworks,简称MOFs)是一种新型的材料,它具有高比表面积、多孔性的优点。而且其本身化学性质稳定,这为其在色谱分离中提供了优秀的潜质。
1.3.3 石墨烯(碳纳米管)固定相
石墨烯,是碳原子SP2杂化的二维纳米材料层。它的表面分布着大量环氧基团,这些基团使其有很好的机械性能和更好的导电性,近年来改性的石墨烯也更多的被用来做色谱的固定相。其特定的π–π键对苯一类的芳香族物质分离起很大作用,可以分离如乙苯、苯乙烯、二甲苯等混合物
1.4 固定液的涂渍方法
固定液涂渍是让其均匀的覆盖在色谱内壁,让固定液在柱内壁形成均一稳定的薄膜,这对色谱柱的性能有很大影响。目前人们常用的涂渍方法是静态涂渍法和动态涂渍法,近年来又出现一种较为新颖的溶胶—凝胶法。
1.4.1 静态法涂渍
静态法是指将配置好的一定浓度的固定液(一般为0.2-0.5 g/100mL),用载气送入色谱柱中,待溶液从色谱柱尾端流出后将其尾端封住。在另一端抽真空,使溶剂缓慢蒸发。待到真空将溶剂全部抽出后,利用载气N2吹净。这样固定液就可以均匀的附着在毛细柱内壁上。静态法制备的柱效高,稳定性好,但是消耗时间很长,一般用来涂渍比较短的柱子。
1.4.2 动态法涂渍
动态法同静态法一样配制所需要浓度的固定液(一般为5-20 g/100mL)。将配制好的固定液压入柱内,使其充满柱体积的约1/5。仍然用载气吹干溶剂,使固定液薄膜涂抹于色谱柱内。相对于静态法,动态法更为简单便捷,但受固定液粘度、载气压力影响较大,故柱效一般较静态法低。
1.4.3 溶胶—凝胶法涂渍
溶胶-凝胶法本是一种制备材料的方法。它是将预处理、涂渍等步骤所需原料制成混合溶胶,使其在柱内进行反应。其优点是制柱时间短,且稳定性高,可以一次制得成品柱。溶胶—凝胶法的原理是固定相以化学成键的方式键合于毛细管柱上,这使得固定相与管柱联系紧密,热稳定性高。
1.5 本课题的研究意义和方法
在毛细管的研制过程中,若无法形成均一稳定的液膜,会直接影响气相色谱柱的分离性能和稳定性。本文所叙述的三氟丙基甲基聚硅氧烷固定相极性较强,表面张力大于石英管柱的表面张力,若直接涂渍则无法均匀分布。
相关图片展示:







您可能感兴趣的文章
- 用于甲醇制烯烃反应的SAPO-34/ZSM-5复合催化剂的原位水热结晶合成外文翻译资料
- 硫化氢在活体的化学发光探针成像外文翻译资料
- 全色发射型ESIPT荧光团对某些酸及其共轭碱负离子识别的颜色变化外文翻译资料
- 一种用于成像神经元细胞和海马组织中NMDA受体附近内源性ONOO-的双光子荧光探针外文翻译资料
- 表面功能化的Ui0-66/pebax基超薄复合中控纤维气体分离膜外文翻译资料
- 金属有机框架中的可逆调节对本二酚/醌反应:固态固定化分子开关外文翻译资料
- 二维MXene薄片的尺寸相关物理和电化学性质外文翻译资料
- 将制甲烷的Co催化剂转化为产甲醇的In@Co催化剂外文翻译资料
- MXene分子筛膜用于高效气体分离外文翻译资料
- 模板导向合成具有排列通道和增强药物有效荷载的立方环糊精聚合物外文翻译资料


