压电PVDF膜制备及其厌氧MBR性能毕业论文
2020-04-19 21:22:59
摘 要
厌氧膜生物反应器(AnMBR)是一种将生物反应装置和膜组件结合起来的反应器,主要应用于污水处理领域,是一种高效的污水处理装置。聚偏氟乙烯(PVDF)是制造AnMBR中膜组件的一种良好材料,具有诸多优势。膜污染是AnMBR技术发展的重要制约因素,研究表明通过交流电信号刺激的压电膜的振动可以有效地减轻膜污染,但是压电PVDF膜的制备面临不少挑战。
通过离子液体的诱导,使PVDF形成β相晶体,再通过直流电压极化使其获得压电性能,并且改变了膜的结构与性能。通过测定不同操作条件下的膜通量,发现较高的电压、接近共振频率的电场频率和较高的水流速率有利于膜通量的提高,这应该是能够控制膜污染的有效方法。另外,还对反应器进水与出水的化学需氧量进行检测,以监控AnMBR的运行状况。
关键词:厌氧膜生物反应器 聚偏氟乙烯 压电效应
Preparation of Piezoelectric PVDF Membrane and AnMBR Properties
Abstract
The anaerobic membrane bioreactor (AnMBR) is a reactor that combines a bioreactor and a membrane module. It is mainly used in the field of dealing with sewage with high efficiency. Polyvinylidene fluoride (PVDF) is a good material for the manufacture of membrane elements in AnMBR and has many advantages. Membrane fouling is an important constraint to the development of AnMBR technology. Studies have shown that the vibration of piezoelectric membranes stimulated by AC signals can effectively reduce membrane fouling, but the fabrication of piezoelectric PVDF membranes faces many challenges.
By the induction of the ionic liquid, PVDF forms a β-phase crystal, which is then polarized to produce a piezoelectric effect. The membrane flux was determined by varying the operating conditions, and the effects of alternating electric field voltage, frequency, and water flow rate through the membrane module on membrane flux were explored to find a good method for controlling membrane fouling in AnMBR. Experiments have found that higher voltages, electric field frequencies close to the resonant frequency, and greater water flow favor the increase in membrane flux. In addition, the operation of the AnMBR unit is monitored by detecting the chemical oxygen demand of the reactor water and effluent.
KEY WORDS:AnMBR; PVDF; piezoelectric effect;
目录
摘要 II
Abstract III
第一章 文献综述 1
1.1 厌氧膜生物反应器工艺简介 1
1.1.1 厌氧膜生物反应器的背景 1
1.1.2 厌氧膜生物反应器的历史 2
1.2 膜污染问题 2
1.2.1 膜污染的影响因素 2
1.2.2 膜污染的减少 4
1.3 PVDF膜的压电效应 5
第二章 实验内容 6
2.1主要试剂和仪器 6
2.2 膜材料的制备 6
2.2.1 PVDF膜的制备 6
2.2.2 PVDF膜的极化 7
2.3 厌氧MBR反应器的运行 8
2.4 反应器进水出水化学需氧量的追踪检测 9
2.5 用水听器检测膜组件的振动情况 9
2.6 膜通量的测定 10
2.7 膜表面结构的电子显微镜表征 11
第三章 结果与讨论 12
3.1 化学需氧量与厌氧MBR的运行状况 12
3.2 使用水听器对膜振动情况的表征 12
3.2 交变电场电压变化对膜污染的影响 13
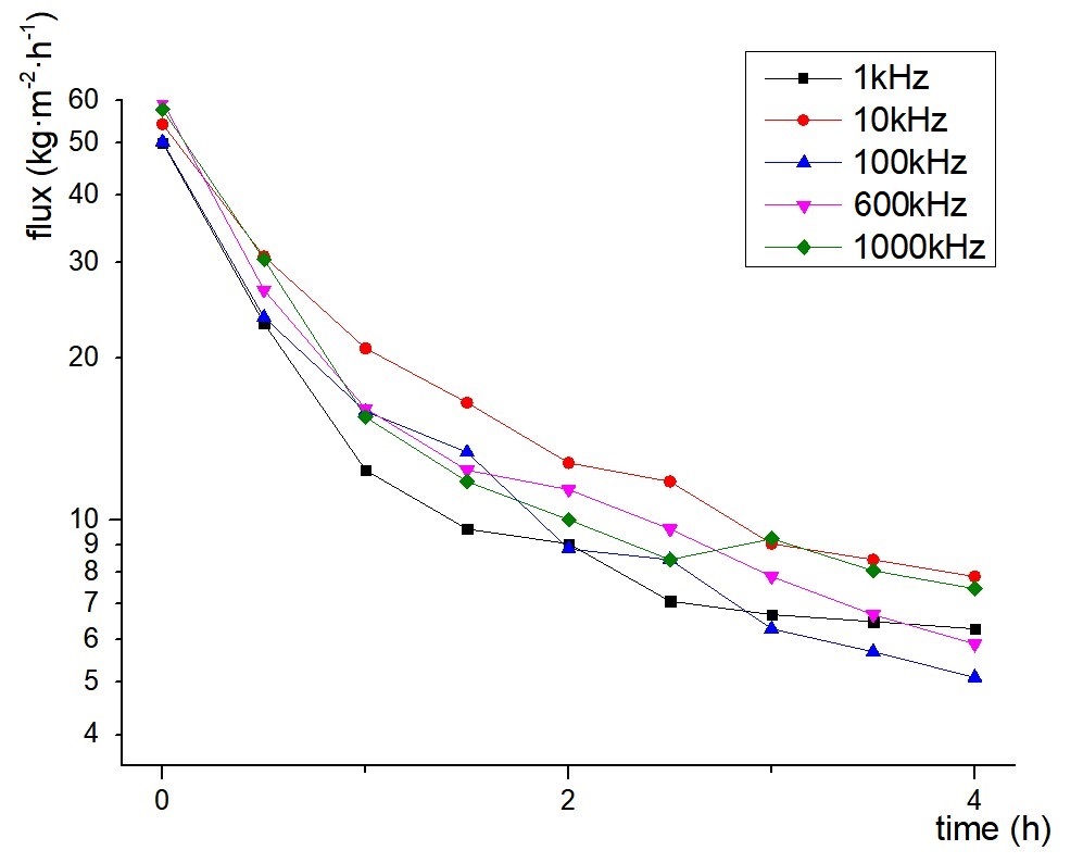
3.4 交变电场频率变化对膜污染的影响 14
3.5 流经膜组件的水流速率对膜通量的影响 15
3.6 PVDF膜表面结构的电镜表征结果 16
第四章 结论与展望 18
参考文献 19
致谢 22
第一章 文献综述
1.1 厌氧膜生物反应器工艺简介
1.1.1 厌氧膜生物反应器的背景
厌氧膜生物反应器(AnMBR)是由多种厌氧反应装置和膜组件有机整合而成的反应器,它的一体性非常高。对于其中的厌氧反应装置部分,许多学者选择了厌氧生物滤池(AF)、升流式厌氧污泥床反应器(UASB)、厌氧颗粒膨胀污泥床反应器(EGSB)等不同形式的厌氧反应器,均能达到不错的处理效果。2005年,初里冰等采用EGSB与中空纤维膜组合来处理生活污水,有机碳(TOC)的总去除率达 81%~94%[1]。2006年,邹联沛和王国平采用UASB与中空纤维膜组合的装置处理抗生素废水,有96.47% 的COD的去除率效果[2]。2008年,HUANG等采用完全混合厌氧反应器(CSTR)和平板膜组合的装置处理低浓度废水,COD去除率可以高达99%以上[3]。
由于有不同的组合方式,可将AnMBR分为分置式和集合式两种。其中分置式AnMBR是目前最常用的组合方式,即把厌氧反应器与膜组件分别放置。目前国内外均有这样的案例:在国内,HE等利用分置式AnMBR处理高浓度食品废水,COD去除率可以达到81.3%~94.2%[4];在国外,SADDOUD等利用分置式AnMBR装置对乳品废水进行处理,COD去除率可以达到98.5%[5]。但分置式AnMBR也存在一些明显的问题,特别是因为要减少固体悬浮物在膜表面的迅速累积,需要较大的水力冲刷量,因而功耗会比较高。另一种与之相对应的是集合式则可以一定程度上减小这种能耗,这种装置的膜组件浸没在污泥混合液中,与厌氧反应器结合放置,近年来是一个比较热门的发展方向。其中MARTINEZ-SOSA等利用浸没式厌氧膜生物反应器(SAMBR)处理低浓度废水,可以去除率高达94%的COD[6]。王志伟等同样利用类似的SAMBR处理酒厂废水,可以去除率高达95%的COD[7]。相比而言,分置式AnMBR能够在不经鼓起冲洗的操作条件下完成将污泥与水分开,且因其可以高效减少膜污染,因此是一种常见的装置形式;集合式AnMBR的膜污染问题还没有得到有效解决,因此有较大的推广阻力。但由于集合式AnMBR具有结构紧凑、占地面积小、功耗低和节省运行成本等优势,其研究和应用前景很好。
根据流体流经膜组件方式的不同,AnMBR也可以分为不同的类型。例如厌氧流化膜生物反应器,通过流态化的手段来提高反应效率——采用两个用塑料管连接的柱形反应器,通过蠕动泵使流出物以一定流速循环,生物反应器中的固体发生流化。又如厌氧旋转膜生物反应器,工作时通过旋转电机带动膜组件旋转,使得流体与膜表面之间的剪切力增强,以强化过滤的效果。还有管式超滤膜反生物应器,采用低错流方式拦截生物污泥,并使这些固体悬浮物浓缩后回流,一段时间后加以膜清洗来减少膜污染恢复通量。
以上是毕业论文大纲或资料介绍,该课题完整毕业论文、开题报告、任务书、程序设计、图纸设计等资料请添加微信获取,微信号:bysjorg。
相关图片展示:







您可能感兴趣的文章
- 用于甲醇制烯烃反应的SAPO-34/ZSM-5复合催化剂的原位水热结晶合成外文翻译资料
 - 硫化氢在活体的化学发光探针成像外文翻译资料
 - 全色发射型ESIPT荧光团对某些酸及其共轭碱负离子识别的颜色变化外文翻译资料
 - 一种用于成像神经元细胞和海马组织中NMDA受体附近内源性ONOO-的双光子荧光探针外文翻译资料
 - 表面功能化的Ui0-66/pebax基超薄复合中控纤维气体分离膜外文翻译资料
 - 金属有机框架中的可逆调节对本二酚/醌反应:固态固定化分子开关外文翻译资料
 - 二维MXene薄片的尺寸相关物理和电化学性质外文翻译资料
 - 将制甲烷的Co催化剂转化为产甲醇的In@Co催化剂外文翻译资料
 - MXene分子筛膜用于高效气体分离外文翻译资料
 - 模板导向合成具有排列通道和增强药物有效荷载的立方环糊精聚合物外文翻译资料
 

        
            
