基于连续反应精馏法5000吨年精异丙甲草胺亚胺的工艺设计毕业论文
2020-02-14 20:39:27
摘 要
精异丙甲草胺作为一种高效、低毒、低残留的除草剂,在农业上受到了广泛的关注。目前,异丙胺仍是我国的主要产品。其中,S构型异丙胺具有除草活性,而R构型异丙胺没有除草活性,所以仍有50%的失效。R配置。异丙胺被释放到环境中。它不仅增加了原材料的投入,而且加剧了环境的污染。在相同的使用量情况下,精异丙甲草胺的活性是异丙甲草胺活性的1.4~1.6倍。
精异丙甲草胺的合成方法主要有拆分法、手性原料合成法、亚胺的不对称加氢合成法三种,但是只有不对称加氢合成法目前工艺比较成熟,即2-甲基-6-乙基苯胺与甲氧基丙酮缩合生成亚胺;亚胺经过手性催化加氢合成手性中间体—胺醚;最后胺醚与氯乙酰氯反应生成精异丙甲草胺,因而研究合成精异丙甲草胺亚胺十分必要。
本次设计主要设计了亚胺(席夫碱)的生产,在整个工艺中,共设计了两个两个设备,分别是桨式搅拌反应釜和筛板精馏塔,并且绘制了其装配图、工艺流程图和平面布置图。通过本次设计,极大的提升了自己独立解决问题的能力,为今后的学习和工作生活做了一次很好的铺垫。
关键词:甲氧基丙酮、精异丙甲草胺亚胺、筛板精馏塔、搅拌反应釜。
Abstract
As a herbicide with high efficiency, low toxicity and low residue, sperma-methachlor has attracted extensive attention in agriculture. At present, isopropylamine is still the main product of our country. Among them, S isopropylamine has herbicidal activity, while R isopropylamine has no herbicidal activity, so there is still 50% failure. R configuration. Isopropylamine is released into the environment. It not only increases the input of raw materials, but also aggravates environmental pollution. Under the same usage, the activity of spermidine was 1.4~1.6 times of that of isopropyl methachlor.
The synthesis methods of spermacromethoxamine mainly include resolution method, chiral raw material synthesis method and asymmetric hydrogenation synthesis method of imide. However, only asymmetric hydrogenation synthesis method is relatively mature at present, that is, condensation of 2-methyl-6-ethyl aniline with methoxyacetone to produce imide. Synthesis of amine ether by chiral catalytic hydrogenation of imide; Finally, amine ether reacts with chloroacetyl chloride to produce spermine, so it is necessary to study the synthesis of spermine.
This design mainly designs the production of imide (schiff base). In the whole process, two devices are designed, namely, paddle stirring reaction kettle and sieve plate distillation tower, and the assembly drawing, process flow chart and layout drawing are drawn. Through this design, I greatly improved my ability to solve problems independently, which laid a good foundation for my future study and work life.
Keywords: Methoxyacetone, isopropyl methachlor imide, sieve plate distillation tower, stirring reactor.
目录
摘 要 1
Abstract 2
第一章 绪论 5
1.1精异丙甲草胺发展历程简介 5
1.2精异丙甲草胺的合成工艺选择 6
第二章精异丙甲草胺-亚胺反应原理 8
与初步工艺流程 8
2.1反应物及反应产物的物性参数 8
2.2反应的设计思路及设计的主要内容 9
2.3.1生产产品产能 9
2.3.2产品标准 9
2.3.3工艺流程 9
2.3.4工艺产品要求 10
第三章 反应器的选型和设计 11
3.1物料衡算 11
3.2物性设备参数 11
3.3 反应釜体及夹套的计算 11
3.3.1反应釜体的直径和高度的计算 12
3.3.2确定反应釜夹套的直径和高度 12
3.3.3验算夹套传热面积: 13
3.4反应釜釜体及夹套壁厚计算及压力测试 13
3.4.1反应釜釜体壁厚的计算与压力测试 13
3.4.2夹套壁厚的计算与压力测试 17
3.5 搅拌装置及传动装置设计 19
3.5.1桨式搅拌器的设计 19
3.5.3顶盖与底座的设计 24
3.6 反应釜附件的选型及尺寸设计 24
3.6.1釜体法兰联接结构的设计 24
3.6.2法兰的设计 25
3.6.3垫片的选用 25
3.6.4螺栓 、螺母的设计 25
3.6.5垫片、螺栓、螺母材料的选用 25
3.6.6管口结构 26
3.6.7人孔的设计 26
3.6.8视镜的选择 26
3.6.9支座的选型及设计 27
3.7设计参数一览表 27
第四章 精馏塔的设计 28
4.1 精馏塔的物料衡算 28
4.2设计参数的确定 29
4.2.1操作压力 29
4.2.2进料状况 29
4.2.3加热方式 29
4.2.4冷却方式 29
4.3塔板数的确定 30
4.4精馏塔的工艺条件及有关物性数据计算 31
4.4.1操作压力计算 31
4.4.2操作温度的计算 31
4.4.3平均摩尔质量计算 32
4.4.4平均密度计算 32
4.4.5液体平均表面张力计算 33
4.4.6液体平均粘度计算 34
4.5精馏塔塔体参数的计算 35
4.5.1塔径的计算 35
4.5.2精馏塔高度的确定 37
4.6塔板主要工艺尺寸的计算 38
4.6.1溢流装置计算 38
4.6.2塔板布置 42
4.7筛板的流体力学验算 44
4.7.1塔板压降 44
4.7.2液面落差 46
4.7.3液沫夹带 47
4.7.4漏液 47
4.7.5液泛 48
4.8塔板负荷性能图 49
4.8.1精馏段塔板负荷性能图 49
4.8.2提馏段塔板负荷性能图 53
4.9塔的工艺设计计算结果表 58
第五章 设计总结 60
参考文献 61
致 谢 63
第一章 绪论
很早以前,人类就有用硫磺及莽草驱逐害虫的历史,近代以来,各种高效、高选择性、对环境安全的农药产品相济出现,农药的发展已经有了上千年的历史。有资料表明,农药对人类赖以生存的粮食作物的增产有着重要贡献。我们要合成的精异丙甲草胺亚胺就是除草剂精异丙甲草胺的中间体,此种除草剂对于玉米、大豆、花生等旱田作物有着优异的除草效果。
1.1精异丙甲草胺发展历程简介
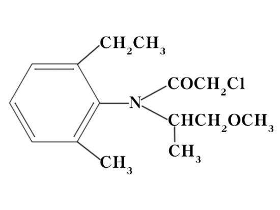
谈起精异丙甲草胺,不得不说异丙甲草胺。异丙甲草胺,又叫都尔,曾是世界用量靠前的高选择性除草剂,通过阻碍蛋白质合成来抑制细胞生长起到除草的目的,并且此除草剂对作物安全,对环境及生态生物的安全性很高。其主要成分是2-乙基-6-甲基-N-(1-甲基-2-甲氧乙基)氯代乙酰苯胺,其结构如下:

在1982年,汽巴嘉基公司(现先正达)发现异丙甲草胺的四种异构体的生物活性有差别,其中两种(S,R)异构体的活性远大于另外两种,随后进行合成研究,最后,在1996年实现了精原鞭毛虫精原体的工业化生产,精原质是由两种高度活性的异戊二烯异构体聚合而成。
如上图,前两种为生物活性大的异丙甲草胺结构,即精异丙甲草胺的主要成分,后两种为活性小的异丙甲草胺结构。
表 1.1 精异丙甲草胺的理化性质表
|
别名 |
分子式 |
分子量 |
熔点 |
沸点 |
|
金都尔 |
|
283.8 |
-61 |
334 |
|
密度 |
外观 |
蒸汽压 |
闪点 |
溶解度 |
|
1.117
(20 |
浅黄色油状 液体 |
3.7Mpa
(25 |
190 |
480ml/L
(25 |
1.2精异丙甲草胺的合成工艺选择
在进行设计前,根据查阅的资料显示,合成精异丙甲草胺目前有三种方法,我们需要根据其先进性、可靠性、合理性、经济可行性来选择适合我们的工艺流程。
方法一、拆分法
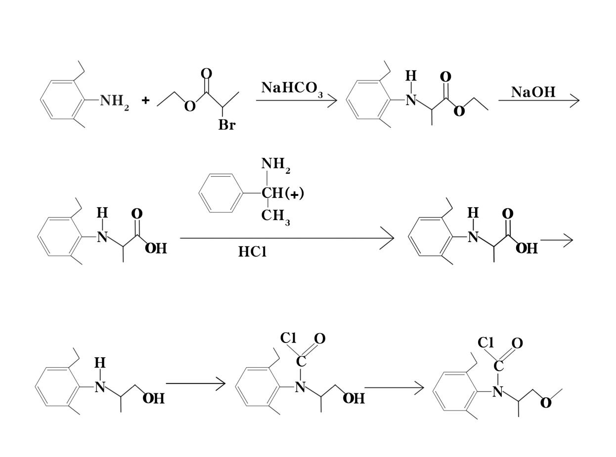
将丙氨酸的成分进行拆分,可以通过还原得到异丙氯,但是该法获得的产物收率比较低及产物品质不高,不能用于工业化生产。其反应过程如下:

方法二、手性原料合成法
将乳酸乙酯作为原料,然后用2-methyl-6-ethylaniline反应获得S - (-) - N -丙氨酸(2-methyl-6-ethylphenyl),然后用还原剂碳反应获得S - (-) - N - (1-methyl-2-hydroxyethyl) - 2。-甲基-6-乙基苯胺与氯乙酰进一步氯化,最后甲基化(S) -异丙胺。该方法总收率不理想,工业生产成本仍然很高。
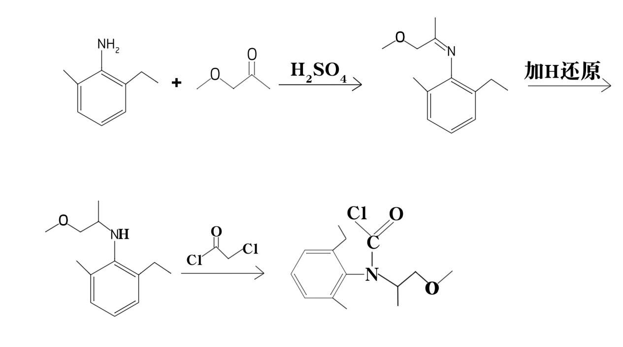
方法三、定向合成(不对称氢化)
此方法是目前使用最广的方法,并且经过近上世纪近三十多年的发展改进,已经成为具有转化率高、收率高、产品纯度好等特点的优良工艺。其改进最终工艺确定为,通过亚胺中间体进行不对称催化氢化还原制备目标产物。路线如下:

因此精异丙甲草胺-亚胺的合成是有意义的,也是非常重要的。
第二章精异丙甲草胺-亚胺反应原理
与初步工艺流程
精异丙甲草胺-亚胺的反应方程式如下:

2.1反应物及反应产物的物性参数
表2.1-1 反应物一、2-甲基-6-乙基苯胺 工业品,含量
|
别名 |
分子式 |
分子量 |
熔点 |
沸点 |
|
MEA |
|
135.21 |
-33 |
231 |
|
密度 |
外观 |
蒸汽压 |
闪点 |
溶解度 |
|
0.968
(20 |
淡黄色至红色透明均相液体 |
7.998pa
(20 |
193 |
2.66g/L
(25 |
表2.1-2 反应物二、甲氧基丙酮 工业品,含量
|
别名 |
分子式 |
分子量 |
熔点 |
沸点 |
|
酮醚 |
|
88.11 |
78 |
118 |
|
密度 |
外观 |
蒸汽压 |
闪点 |
溶解度 |
|
0.957g/ml
(25 |
淡黄色至红色透明均相液体 |
无 |
77 |
可溶 |
表2.1-3 产物、精异丙甲草胺-亚胺
|
别名 |
分子式 |
分子量 |
熔点 |
沸点 |
|
亚胺 |
|
205.3 |
未知 |
292.3 |
|
密度 |
外观 |
蒸汽压 |
闪点 |
溶解度 |
|
0.92 |
您可能感兴趣的文章
- 用于甲醇制烯烃反应的SAPO-34/ZSM-5复合催化剂的原位水热结晶合成外文翻译资料
- 硫化氢在活体的化学发光探针成像外文翻译资料
- 全色发射型ESIPT荧光团对某些酸及其共轭碱负离子识别的颜色变化外文翻译资料
- 一种用于成像神经元细胞和海马组织中NMDA受体附近内源性ONOO-的双光子荧光探针外文翻译资料
- 表面功能化的Ui0-66/pebax基超薄复合中控纤维气体分离膜外文翻译资料
- 金属有机框架中的可逆调节对本二酚/醌反应:固态固定化分子开关外文翻译资料
- 二维MXene薄片的尺寸相关物理和电化学性质外文翻译资料
- 将制甲烷的Co催化剂转化为产甲醇的In@Co催化剂外文翻译资料
- MXene分子筛膜用于高效气体分离外文翻译资料
- 模板导向合成具有排列通道和增强药物有效荷载的立方环糊精聚合物外文翻译资料


)




