纳米甲壳素的制备及表面引入反应性双键化学修饰的研究毕业论文
2020-04-05 10:57:46
摘 要
纳米甲壳素,包括具有半柔性链结构的甲壳素纳米微纤(chitin nanofibrils,简称ChNF)和高度结晶刚性结构的甲壳素纳米晶(chitin nanocrystals,简称ChN),是来源于资源丰富的天然高分子—甲壳素的新型生物质纳米材料。作为兼具可再生、可生物降解、生物相容性好、力学性能优异、无毒等优异特性,纳米甲壳素在聚合物基复合材料、生物医用材料、光学特异性材料等领域具有广泛的应用。已有报道将甲壳素纳米微纤悬浮液通过直接流延成膜的方法,可以制得全透明聚合物材料。然而,材料的力学、热学性能并不能满足具体使用条件。为改善甲壳素材料的性能,为其寻找更多的应用领域,本次试验提出将两种纳米粒子的表面都进行化学修饰,以十一碳烯酰氯(简称UC)为原料,乙腈为溶剂,4-二甲氨基吡啶(DMAP)为催化剂,引入不饱和双键。具体实验内容包括:采用实验室提出的溶胀-球磨-捣碎全机械方法,从蟹壳中提取纯甲壳素并制备甲壳素纳米微纤;采用盐酸水解的方法除去甲壳素中的无定型区,制备高度结晶的甲壳素纳米晶;分别对两种纳米甲壳素进行表面化学修饰处理,通过表面羟基和碳烯酰氯的反应,在纳米甲壳素表面引入不饱和双键;对制备的各种纳米材料进行性能表征。
关键词:甲壳素纳米微纤;甲壳素纳米晶;溶胀;球磨;表面修饰;
Abstract
Nano-chitin, including chitin nanofibrils with semi-flexible chain structure and chitin nanocrystal with highly crystalline rigid structure, is a new type of biomass nanomaterial derived from a natural resource-rich natural chitin. As a combination of renewable, biodegradable, biocompatible excellent mechanical properties, non-toxic, and other excellent properties, nano-chitin has a wide range of applications in polymer matrix composites, biomedical materials, optical specific materials and other fields. It has been reported that the chitin nanofiber suspension can be made into a fully transparent polymer material by direct film casting. However, the mechanical and thermal properties of the material do not meet the specific conditions of use. The specific experiments include: using the swelling-milling-mashing mechanical method proposed by the laboratory to extract pure chitin from crab shells and prepare chitin nano-microfibers. Hydrochloric acid is used to remove amorphous regions in chitin to prepare highly crystalline chitin nanocrystals. Two types of nano-chitin were surface modified, and unsaturated double bonds were introduced on the surface of nano-chitin through the reaction of surface hydroxyl and carbenoyl chloride, and characterization of the structure and properties of various nano-materials prepared.
Keywords:chitin nanofibrils; chitin nanocrystal; swelling; ball milling; surface modification.
目 录
摘 要 I
Abstract II
第1章 绪 论 1
1.1 甲壳素 1
1.2 甲壳素纳米晶的制备 1
1.3 甲壳素纳米微纤的制备 3
1.4 纳米甲壳素的修饰 4
1.5 课题意义及设计思路 6
第2章 实验部分 7
2.1 引言 7
2.2 机理讨论 7
2.2.1 甲壳素纳米晶的制备机理 7
2.2.2 甲壳素纳米微纤的制备机理 8
2.3 实验原料及仪器设备 9
2.3.1 实验原料 9
2.3.2 实验仪器及设备 9
2.4 纳米甲壳素的制备 10
2.4.1 甲壳素的制备 10
2.4.2 甲壳素纳米微纤的制备 10
2.4.3 甲壳素纳米晶的制备 11
2.4.4 甲壳素纳米晶及甲壳素纳米微纤的表面修饰 11
第三章 实验结果,结论以及对本课题的展望 12
3.1 各项测试结果	12
3.1.1 红外光谱分析(FTIR) 12
3.1.2 X射线衍射测试(XRD) 14
3.1.3 扫描电子显微镜(SEM) 15
3.1.4 透射电子显微镜(TEM) 16
3.1.5 X射线光电子能谱(XPS) 17
3.2 实验结论 17
3.3 实验的不足与展望 18
参考文献 19
致 谢 23
第1章 绪 论
1.1 甲壳素
甲壳素是世界第二重要的天然高分子聚合物,其主要存在于海洋生物虾,螃蟹等节肢动物的外骨骼中,亦少量存在于蘑菇,藻类等植物的细胞壁中,其在自然界中的的含量仅次于纤维素[1]。甲壳素的结构与纤维素十分相似。它们都是存在于生物体内的结构性材料,并以高结晶度的纳米尺寸的纤维的形式存在,甲壳素微纤是植入于蛋白质基质之中的[2]。
在工业加工时,甲壳素是通过酸处理溶解碳酸钙后,从虾,蟹等动物的甲壳中提取,随后用碱去除蛋白质,随后加入脱色物质去除颜料残留物,便得到了纯化后的甲壳素[3]。甲壳素与壳聚糖是具有巨大化学和机械结构可能性的生物聚合物,经化学修饰后会产生新颖的特性,功能及应用,特别是对于生物医学领域。甲壳素和壳聚糖是生物医学应用的优秀材料,因为它们具有的生物相容性,生物降解性和无毒性,在未来发展有着巨大潜力。 这些生物聚合物很容易加工成凝胶,海绵,膜,球和支架形式[4]。

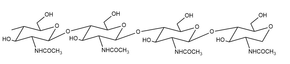
图1.1 甲壳素的结构式
1.2 甲壳素纳米晶的制备
甲壳素纳米晶是一种新型的生物源纳米粒子,其为长300 nm宽20 nm的纤维或棒状形态。其高度的长径比以及较高的纵向模量(150 GPa)[5],以及其分子间氢键的相互作用,保证了其结构机械性能,又因为其具有良好的抗菌性,安全性以及生物相容性,可作为纳米增强材料。例如近年来,我们发现海藻酸盐与甲壳素纳米晶复合制备纳米水凝胶材料,显示出了改善的机械性能和良好的细胞相容性[6]。
制备甲壳素纳米晶的方法与制备纤维素纳米晶的方法十分相似,都包括使用强酸水溶液进行水解。与纤维素类似[7],在制备甲壳素纳米晶之前,甲壳素并不是以纯净的形式存在,而是由生物体中分离纯化。由于甲壳素的含量普遍比较低,所以要进行较多的纯化步骤。第一份关于甲壳素纳米晶的制备的研究是在1959年的。在这份研究中,纯化后的甲壳素先是用2.5 N的盐酸在冷凝回流条件下处理1小时,倒出多余的酸,然后加入蒸馏水得到纳米晶悬浮液[8]。在酸水解过程中,甲壳素的无序的,有序性较低的区域优先水解,并溶于酸溶液中,而不溶于水;具有较高的抗酸水解能力的高结晶度部分仍然完好无损。酸水解后的甲壳素自然地以棒状颗粒的形式分散,在某个浓度以上会集中成为液晶相[9]。经此步骤,便制备出了不同来源的甲壳素分离出的甲壳素纳米晶[10]。
表1.1 不同来源的甲壳素制备甲壳素纳米晶的酸水解条件[10]
来源  | 酸  | 时间 (min)  | 温度 (℃)  | 酸与甲壳素的比例 (ml/g)  | 
蟹壳  | HCl 3N  | 3×90  | 104  | 30  | 
蟹壳  | HCl 3N  | 90  | 104  | 10  | 
蟹壳  | HCl 3N  | 360  | 120  | 30  | 
管蠕虫  | HCl 3N  | 3×90  | 104  | —  | 
虾壳  | HCl 3N  | 3×90  | 104  | 30  | 
虾壳  | HCl 3N  | 180  | 105  | 100  | 
虾壳  | HCl 3N  | 3×360  | 104  | 30  | 
虾壳  | HCl 3N  | 360  | 120  | 30  | 
虾壳  | HCl 3N  | 360  | 104  | 30  | 
虾壳  | HCl 3N  | 3×360  | 104  | 30  | 

图1.2 (a)鱿鱼骨中提取的甲壳素纳米晶[11] (b)管蠕虫中提取的甲壳素纳米晶[11]
(c)蟹壳粉中提取的甲壳素纳米晶[12] (d)虾壳中提取的甲壳素纳米晶[13]
1.3 甲壳素纳米微纤的制备
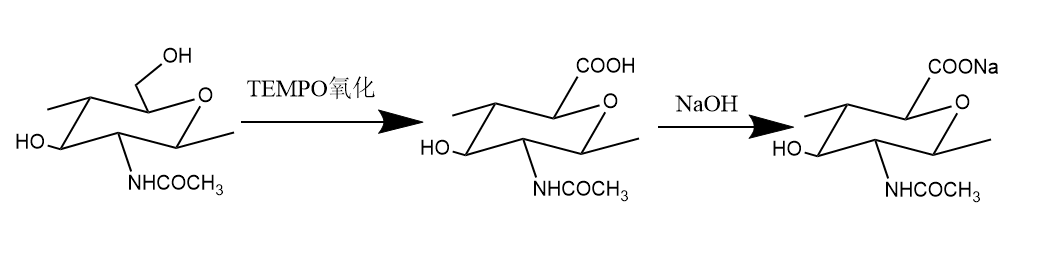
甲壳素纳米晶悬浮液也可以由α-甲壳素在pH = 10的环境下以TEMPO氧化[14]的方式制得。甲壳素分子C6上的羧基的形成可通过TEMPO氧化中添加的NaClO的量来控制。当1 g甲壳素对应加入5.0 mmol的NaClO时,经TEMPO氧化的甲壳素,其中不溶于水的分数保持在约90%,羧基的含量可达到0.48 mmol/g[15]。未经过脱乙酰化的TEMPO氧化的甲壳素也有被观察到,不计在氧化反应中加入的NaClO的量。晶体结构的保持说明C6羧基只会在纳米粒子表面形成。在水中进行超声处理后,便制得了长340 nm,直径8 nm的甲壳素纳米晶粒子[16]。
制备甲壳素纳米微纤的方法与制备微米化纤维纤维素的方法十分相似,都涉及了很强的机械剪切作用在甲壳素水分散中的应用[17]。制备单个断面宽度在3-4 nm的,长度为微米级的甲壳素纳米微纤的步骤,与已经报道过的纤维素微纤的制备步骤十分相似。这个方法的关键在于在pH = 3-4的水环境中进行简单的机械处理,不发生任何化学反应[18]。转化为纳米微纤的一个最具标志性也是最重要的条件,便是甲壳素表面的C2氨基基团在酸性条件下的质子化和阳离子化.鱿鱼骨中提取的β-甲壳素的原始晶体结构在这个研究中也有涉及,但是由于转化为纳米微纤,结晶度由0.51降低至0.37[19]。然而,该方法仅适用于鱿鱼骨中提取的β-甲壳素,可能是由于它较低的结晶度,以及其相较于α-甲壳素有结构上缺陷。将α-甲壳素局部的脱乙酰化处理,选择性增强纤维晶体表面的C2上的主要的氨基基团[20]。由于结晶纤维表面阳离子的密度增加,在酸性条件下,表面带正电的纤维在水中的分解过程中,通过增强静电斥力来实现微纤间的分离。大部分分散的α-甲壳素纳米粒子制得方法,是由33% NaOH在90 ℃下局部脱乙酰化,产率约为85–90%,随后在pH = 3-4的酸溶液中水解。得到的α-甲壳素纳米粒子平均宽度为6.2 ± 1.1 nm,平均长度为250 ± 140 nm。单条长度超过500 nm的纳米微纤也曾发现过[21]。
甲壳素纳米微纤由甲壳素在保持湿润的条件下经磨制制得。制得的纳米微纤有10-20 nm宽,具有极高的长径比[22]。影响脱乙酰化甲壳素水解制备纳米微纤的几个因素,例如脱乙酰化的程度,pH值,以及酸的浓度都曾被研究过[23]。高分散度的纳米微纤,可用某些单价酸调pH = 2.5-3.5,并在较低粒子浓度的条件下制得。具体来说,抗坏血酸在pH=3.5的条件下,会产生最高程度的微纤化,得到的部分脱乙酰化的甲壳素纳米微纤大约宽度为3.4 nm[24]。然而,具有高离子强度,高pH值的分散剂,或者是那些高度去离子化的多价酸,由于纤维表面电荷量较低,或交叉连接的形成,会产生大量甲壳素束[25]。离子强度也会对纳米纤维化的程度产生负面影响,过量的酸也会抑制离子化程度,尤其在pH = 3的时候[26]。结果表明,在抗坏血酸分子和甲壳素纤维之间形成了离子相互作用时,是所有检测的酸中纤维化程度最高的。然而,甲壳素的纳米微纤化通常是通过表面的脱乙酰化,表面氧化,以及摩尔质量的降低的手段[27]。为了保持微纤的结构,在低温下作去蛋白质处理以去除蛋白质。之后,我们可以制得低蛋白质含量的单体甲壳素,同时保留了与天然甲壳素微纤相同的乙酰化程度,晶体结构,以及宽度与长度。以温和的酸性水溶液为环境,高压均质化生产甲壳素纳米纤维的例子曾被报道过[28],并且以此为基础制备了氧气及二氧化碳透过率均较低的薄膜。
甲壳素纳米晶体是由甲壳素纳米晶脱乙酰化制备的,由虾壳中的甲壳素酸水解而来。该纳米晶体的长度与宽度分别能达到309 nm与64 nm,长宽比约为4.8[29]。这些壳聚糖纳米微纤与海藻酸盐相复合,产生了对革兰氏阳性金色葡萄球菌和革兰氏阴性大肠杆菌产生了抗菌性,使纳米复合纱线成为有效的敷料材料[30]。用离子液体,如溴化1-3-甲基咪唑(AMIMBr)制备甲壳素纳米晶,也曾被报道过[31]。首先,用溴化1-3-甲基咪唑室温下溶胀甲壳素,随后在100摄氏度下加热。将得到的凝胶浸于甲醇中,随后使用超声波分散。得到的甲壳素纳米微纤约为20-60 nm宽,长约几百纳米。
1.4 纳米甲壳素的修饰
纳米甲壳素由于其表面有着丰富的酰胺基,羟基基团,故有着多种多样的修饰方法。甲壳素纳米晶的酰化作用是在二恶烷环境下,以4 –(二甲胺基)吡啶为催化剂条件下[32]进行的。该反应要在70 ℃下反应一周。红外光谱,透射电镜,接触角测量等检测,证明了表面修饰的发生,而纳米颗粒的主要形态没有发生任何变化。制得的改性纳米粒子与甲苯组成悬浮液,在正交偏光镜下展现出了胶体的性质。异氰酸酯,如苯异氰酸酯(PI)和3-异戊酸异氰酸酯(TMI),也被用于修饰甲壳素表面[33]。在使用ASA[9]和PI进行表面化学修饰后,甲壳素片段的外观发生了变化。它们纠缠在一起,而个别的纳米晶体则很难观测到。这种粘合剂很可能是化学偶联剂,用于化学修饰甲壳素片段。然而,这些TEM显微照片似乎说明了各种不同的处理方式的应用,并没有导致主要形态发生变化。
甲壳素纳米晶体的表面也通过嫁接PCL链而被官能化,使用了“长出支链”的方法。随后接枝的纳米颗粒是由这种连续材料的热成型和注射成型直接形成的。当增加接枝纳米晶体中的PCL含量时,其强度,断裂伸长率以及疏水性增加。甲壳素纳米纤维也被乙酰化以修饰纤维表面并进行了详细的表征。结果表明,甲壳素纳米纤维的乙酰化会改变了它们的晶体结构,纤维厚度和热降解温度[34]。
近年来报道过的甲壳素二己酸盐是一种新型的生物相容性较好的甲壳素的表面修饰产物,如今我们已经掌握了该产物合成的最佳优化温度及反应时间,使得我们可以保证高反应速率,高反应收率,高取代度以及较高的分子量。我们一般使用两步法去制得该材料,使用己酸酐或者丁酸酐为酰化剂,以甲磺酸作为酸催化剂。该材料经过核磁共振检测(1 H与13 C)以及FTIR检测证明了其化学结构;经过热重分析,差式扫描量热法以及生物相容性检测(包括中性红摄取测定,皮肤敏化和刺激测试),发现其具有良好的化学,生物性能,包括体外无细胞毒性,对皮肤无刺激性,无过敏性;可溶于多种有机溶剂,包括二甲基甲酰胺,二甲基亚砜,N,N—二甲基甲酰胺,丙酮,乙醇等,而纯净的甲壳素只能溶于如硫脲水溶液,碱性尿素水溶液等几种溶剂[35];还有一点值得强调的是,该材料很容易通过溶剂浇铸法以及盐淅沥致孔法加工,可以非常方便的制取高度多孔的结构,进一步可以作为伤口敷料和组织工程支架的材料[36]。
以上是毕业论文大纲或资料介绍,该课题完整毕业论文、开题报告、任务书、程序设计、图纸设计等资料请添加微信获取,微信号:bysjorg。
相关图片展示:







您可能感兴趣的文章
- 用于甲醇制烯烃反应的SAPO-34/ZSM-5复合催化剂的原位水热结晶合成外文翻译资料
 - 硫化氢在活体的化学发光探针成像外文翻译资料
 - 全色发射型ESIPT荧光团对某些酸及其共轭碱负离子识别的颜色变化外文翻译资料
 - 一种用于成像神经元细胞和海马组织中NMDA受体附近内源性ONOO-的双光子荧光探针外文翻译资料
 - 表面功能化的Ui0-66/pebax基超薄复合中控纤维气体分离膜外文翻译资料
 - 金属有机框架中的可逆调节对本二酚/醌反应:固态固定化分子开关外文翻译资料
 - 二维MXene薄片的尺寸相关物理和电化学性质外文翻译资料
 - 将制甲烷的Co催化剂转化为产甲醇的In@Co催化剂外文翻译资料
 - MXene分子筛膜用于高效气体分离外文翻译资料
 - 模板导向合成具有排列通道和增强药物有效荷载的立方环糊精聚合物外文翻译资料
 

        
            
