梯度水解法制备纤维素纳米晶的研究毕业论文
2020-04-05 10:57:30
摘 要
纤维素纳米晶是从可再生的天然高分子纤维素中提取的高度结晶性棒状生物质纳米粒子,相比于无机纳米粒子,具备了众多传统材料所不具备的优点,在复合材料、生物医用材料、造纸、功能材料等领域受到广泛的关注和研究应用。传统从纤维素中提取纤维素纳米晶的方法是采用浓度为65 wt%的硫酸溶液一步水解,虽然能够直接得到产物,却难以稳定均匀的除去纤维素分子中的无定型区域,限制了制备纳米晶的尺寸均一性和表面性质稳定性。尤其是硫酸水解过程中赋予纤维素纳米晶表面带负电荷的磺酸酯基,是纳米晶在水溶液中分散的关键。为了能够制备尺寸均一、表面性质稳定(包括表面电荷、结晶性等)的纤维素纳米晶,本课题基于梯度水解的思路,设计两种实验方案,将纤维素纤维结构中的无定型区域均匀、完全的除去,以制备出性质稳定的纤维素纳米晶。具体实验内容包括:使用质量分数为(65 wt% - 55 wt% - 45 wt% - 30 wt%)依次对棉短绒进行硫酸浓度由高到低的水解,使用质量分数为(30 wt% - 45 wt% - 55 wt% - 65 wt%)依次对棉短绒进行硫酸浓度由低到高的水解,制备65 wt%和30 wt%硫酸浓度水解的纤维素样品作为对照组。从结晶度、粒径分布、稳定性等方面对所得样品进行表征和分析。研究表明:纤维素纳米晶表面附着的磺酸基团使得其表面的硫酸浓度小于硫酸主体浓度,进而减缓纤维素纳米晶的水解速度。对纤维素进行从浓到稀的梯度水解可以有效减少小尺寸CNC的产生,从而使CNC的尺寸分布更窄。
关键词:纤维素纳米晶;梯度水解;磺酸基团;稳定性
Abstract
Cellulose nanocrystals are highly-crystalline rod-shaped biomass nanoparticles extracted from renewable natural high-molecular cellulose. Compared with inorganic nanoparticles, they have advantages that many conventional materials do not have, in composite materials and biomedical applications. The fields of materials, papermaking, and functional materials have received extensive attention and research applications. The traditional method for extracting cellulose nanocrystals from cellulose is a one-step hydrolysis using a sulfuric acid solution with a concentration of 65 wt%. Although the product can be directly obtained, it is difficult to stably and uniformly remove the amorphous regions in the cellulose fibers, limiting the preparation of nanocrystals. The uniformity of the dimensions and the stability of surface properties were invesitgated. In particular, the sulfonic acid ester group that imparts a negative charge on the surface of the cellulose nanocrystals during the sulfuric acid hydrolysis is the key to the dispersion of the nanocrystals in the aqueous solution. In order to prepare cellulose nanocrystals with uniform size and stable surface properties (including surface charge, crystallinity, etc.), this project is based on the idea of gradient hydrolysis and designs two experimental schemes to uniformize the amorphous region in the cellulose fiber structure. Complete removal to produce stable cellulose nanocrystals. Specific experiments include: using a mass fraction of (65 wt%-55 wt%-45 wt% -30 wt%) in order to carry out the hydrolysis of cotton suede from high to low concentration of sulfuric acid, the use of mass fraction (30 wt%-45 wt%-55 wt%-65 wt%) The cotton linters were sequentially subjected to hydrolysis of low to high concentration of sulfuric acid, and a cellulose sample hydrolyzed with a sulfuric acid concentration of 65 wt% and 30 wt% was prepared as a control group. The resulting samples were characterized and analyzed in terms of crystallinity, particle size distribution, and stability. Research shows: The sulfonic acid group attached on the surface of cellulose nanocrystals makes the concentration of sulfuric acid on the surface less than the main concentration of sulfuric acid, thereby slowing the hydrolysis rate of cellulose nanocrystals. Gradient hydrolysis of cellulose from concentrated to dilute can effectively reduce the generation of small-size CNCs, thus making the numerical control of the narrower size distribution.
Keywords:cellulose nanocrystals; gradient hydrolysis; sulfate group; stability
目 录
摘 要 Ⅰ
Abstract Ⅱ
第1章 绪 论 1
1.1 纤维素纳米晶的来源 1
1.1.1 木材 1
1.1.2农业废弃物 1
1.1.3 细菌纤维素 2
1.1.4 海洋动物背囊 2
1.2纤维素纳米晶的结构与性质 3
1.2.1化学结构 3
1.2.2物理结构 4
1.3 制备方法 6
1.3.1 实验室制备纤维素纳米晶 6
1.3.2 纤维素纳米晶的规模制备及市场 7
1.4 课题意义及设计思路 8
第2章 实验部分 10
2.1 引言 10
2.2实验原料及仪器设备 10
2.2.1实验原料 10
2.2.2实验仪器及设备 10
2.3纤维素纳米晶梯度水解样品制备 11
2.3.1提取纤维素纳米晶 11
2.3.2梯度水解实验步骤 12
2.3.3对照组样品制备步骤 13
2.3.4表征与检测 13
2.4 实验结果分析 14
2.4.1 XRD 14
2.4.2 粒径分布 16
2.4.3 Zeta电位 16
2.4.4 沉降实验 17
2.4.5 双折射现象 18
第3章 实验结论与展望 19
参考文献 20
致 谢 24
第1章 绪 论
至少在一个维度上制备和使用尺寸小于等于100 nm材料的技术现如今被称为纳米技术[1]。使用这种技术制造的材料,其物理化学生物性质和传统材料有着根本性的不同。纳米技术已经迅速成为一个跨学科的领域,而其中一个热门的研究方向就是如何将纳米纤维素从原料中分离。由于纳米纤维素原料的来源十分广泛,如果我们能够低成本大规模地制备性质均一的纳米纤维素,其前景将十分宽广。
需要指出的是,我们通常制备的有两种纳米纤维素——纤维素纳米微纤(CNFs)和纤维素纳米晶(CNCs)。它们有着完全不同的制备过程和结构性质:CNFs一般使用机械工艺来分离,例如高压均质、研磨和精炼等[2];而CNCs普遍使用酸水解分离(也有报道使用硫酸铵和过氧化氢[3]等试剂来从生物质中分离CNCs)。除了纳米纤维素的制备步骤,原料的来源在所得纳米纤维素的最终性质中也起着重要作用。一般而言,木材和非木材纤维素可用作制备CNFs或CNCs的来源。在这方面,纳米纤维素的分离及其应用一直是该研究领域的主要方向。
1.1 纤维素纳米晶的来源
1.1.1 木材
1983年Herrick等人[4]首次从木质细胞中通过机械分离的方法提取到了CNFs,这种新型纤维素材料被命名为微纤纤维素(MFC)。在8000 Pa的气压下,他们使用均质机对木头进行处理,并结合冷却使均质时的温度保持在70-80℃。生产纤维素的材料大都可以被用来制作CNFs。通过化学机械相结合的方法从木头中分离出CNFs的步骤,包括如下几个机械处理:液氮破碎、提纯和均质。至于CNCs,Beck Candanedo等人[5]评估了酸/纸浆比和H2SO4水解时间对木浆纳米晶悬浮液性能的影响。他们发现,较长时间的水解可以获得较低分散度的较短的CNCs。此外他们的结果表明,通过增加酸/纸浆比例可以将纳米晶的尺寸减小。另外,Morelli等人[6]从轻木获得厚度为7.5±2.9 nm、长度为176±68 nm的CNCs。他们认为,为了生产聚合物纳米复合材料,制得的CNCs需要具有合适的结晶度和纵横比。
1.1.2农业废弃物
尽管木头是CNFs分离的主要来源,农业废弃物作为一种副产物,同样有着成为作纳米纤维素生产廉价合适来源的巨大潜力。为此,使用一年生植物,如亚麻、大麻、剑麻、红麻和农作物作为原材料正逐渐成为热门的研究方向,包括从果皮、大米、甘蔗、菠萝和小麦中获得的外皮残渣。与木材进行比较,它们有着木质素和半纤维素含量低的优点[7]。另一个可能用来制取纳米纤维素的非木材来源是工业生物残渣。事实上,工业生物残渣与其他纤维素原料相比成本更低甚至是负成本。Herrera等人[8]比较了来自乙醇生产木质素残渣(CNCER)和污泥(CNCSL)的CNC性能。他们制备的CNCSL和CNCER的直径分别是375-449 nm和300-374 nm。其中CNCSL(86%)的结晶度高于CNCER(78%)的结晶度。另一方面,在日益要求环境友好的世界中,将生物残渣用作另一种可用材料有助于解决工业废弃物处理问题。目前,这些工业废渣要么被燃烧要么当作廉价的产品如动物饲料。因此,从这些生物质残渣中开发出纳米纤维素材料等新增值产品,是提高农业资源价值的潜在途径。
1.1.3 细菌纤维素
除了组成植物细胞壁,纤维素微纤还可由某些细菌在细胞外分泌,如醋杆菌属、农杆菌属、产碱杆菌属、假单胞菌属、根瘤菌属或八叠球菌[9]。细菌纤维素可以在培养皿中通过培养特定细菌来获得。最高效生产细菌纤维素的细菌是木醋杆菌(又名醋酸纤维杆菌)——一种产乙酸的革兰氏阴性细菌[10]。相比于植物纤维素微纤,细菌纤维素分泌出的细菌纤维素为带状结构并且宽度小于100 nm,是由更细的直径2 - 4 nm的纳米纤维束组成。细菌纤维素由非常纤细的纤维网状结构组成并且具有很高的机械强度。作为植物纤维素微纤的替代,细菌纤维素还拥有独特的性能,包括高结晶度、高聚合度和较好的保水性[11]。另外,不同于植物纤维素,细菌纤维素不需要化学处理来从中除去脱木素和半纤维素。因此,从细菌纤维素中提取的纳米晶高度水合并且能够制成非常纯净的膜。许多研究已经开始从细菌纤维素中分离纳米纤维。需要指出的是,在加工之前,部分细菌纤维素已经具有纳米尺寸的宽度。细菌来源生产的纳米纤维素被大多数研究人员优先用于各种医疗应用,包括直接将纤维素用于组织和骨骼生长[12]。
1.1.4 海洋动物背囊
作为来自海洋动物的纤维素,如海鞘背囊纤维素[13]由高度结晶的纳米纤维(几乎纯净的)组成。动物纳米纤维的结构与农业来源不同,具有螺旋结构。这种类型的纤维素微纤由于其高模量、高纵横比和与基质材料的良好相容性而能够成为复合材料中可能的增强材料。使用化学方法制备来自被囊动物的纳米纤维素,可以将其制成水中的胶体悬浮液。首先,被囊弹被切成小碎片,再经历漂白等几个步骤。随后,通过酸水解可以从漂白样品中提取纳米纤维素。
表1.1 CNC的来源及制备步骤
原材料  | 预处理  | 处理过程  | 后处理  | 
微晶纤维素[14]  | 稀释,阳离子交换树脂水解,超声处理  | 离心,过滤,水洗  | |
菠萝叶[15]  | 研磨,NaOH、Hac、NaClO处理  | 研磨,45℃下64%硫酸水解,稀释  | 离心,透析,超声破碎  | 
沃特曼滤纸[16]  | 漂白  | 60℃下4N盐酸水解120min  | 离心,透析,超声破碎  | 
漂白  | 60℃下85%磷酸水解,稀释  | 离心,透析,超声破碎,冷冻干燥  | |
白椰子皮[17]  | 有机溶剂浸泡,碱性过氧化物漂白  | 60℃下30%硫酸水解,稀释  | 离心,透析,超声破碎  | 
香蕉树叶[18]  | 索氏抽提,碱处理,双氧水醋酸漂白  | 稀释,漂白,50℃下硫酸水解  | 离心,透析,冷冻干燥  | 
漂白木浆[19]  | 0℃下磷钨酸水解,二乙醚萃取  | 倾析,乙醇沉淀,离心水洗  | |
回收报纸[20]  | 研磨,125℃下NaOH、NaClO处理  | 45℃下65%硫酸水解,稀释  | 离心,透析,超声均质  | 
漂白桉树纸浆[21]  | 水浸泡,粉碎,烘干  | 90-120℃下无水有机酸水解,稀释,过滤  | 水洗,离心,透析  | 
剑麻纤维[22]  | 研磨,漂白  | 研磨,55℃下60%硫酸水解,稀释  | 离心,透析  | 
细菌纤维素[23]  | 洗涤,均质,烘干,研磨  | 45℃下硫酸盐酸混合水解,稀释  | 离心,透析,超声破碎  | 
伞藻[24]  | NaOH、HAc、NaClO处理  | 55℃下硫酸水解  | 离心,透析,超声破碎  | 
1.2纤维素纳米晶的结构与性质
1.2.1化学结构
纤维素分子与淀粉类似,都是由D-葡萄糖通过糖苷键缩合而成,不同的是前者为β - 1,4糖苷键,而后者是α - 1,4糖苷键[25]。这就使得二者有着完全不同的构型,直链淀粉是螺旋状,而纤维素是一条长链,若干长链绞在一起形成绳索状的结构,多个绳索状结构再排列起来形成纤维,进而构成细胞壁[26]。
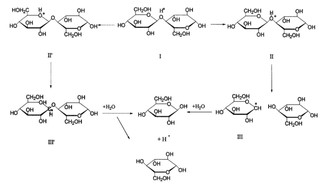
在酸性或者高温的条件下,纤维素分子中两个葡萄糖之间的β – 1,4糖苷键与水结合,发生断裂。纤维素开始降解,分子量降低。如果纤维素分子完全水解,生成的产物为D - 葡萄糖,水解不完全则会生成纤维二糖、纤维三糖以及聚合度为4~10的低聚糖[27]。纤维素分子中每一个D-葡萄糖单元上都有三个羟基,分别位于第二、第三和第六位的碳原子上。其中伯羟基参与分子间氢键的形成,有助于纤维素链之间相互结合。其他羟基也有着不同的反应活性,因而可以通过设计发生不同的反应,接枝上不同的官能团。
以上是毕业论文大纲或资料介绍,该课题完整毕业论文、开题报告、任务书、程序设计、图纸设计等资料请添加微信获取,微信号:bysjorg。
相关图片展示:







您可能感兴趣的文章
- 用于甲醇制烯烃反应的SAPO-34/ZSM-5复合催化剂的原位水热结晶合成外文翻译资料
 - 硫化氢在活体的化学发光探针成像外文翻译资料
 - 全色发射型ESIPT荧光团对某些酸及其共轭碱负离子识别的颜色变化外文翻译资料
 - 一种用于成像神经元细胞和海马组织中NMDA受体附近内源性ONOO-的双光子荧光探针外文翻译资料
 - 表面功能化的Ui0-66/pebax基超薄复合中控纤维气体分离膜外文翻译资料
 - 金属有机框架中的可逆调节对本二酚/醌反应:固态固定化分子开关外文翻译资料
 - 二维MXene薄片的尺寸相关物理和电化学性质外文翻译资料
 - 将制甲烷的Co催化剂转化为产甲醇的In@Co催化剂外文翻译资料
 - MXene分子筛膜用于高效气体分离外文翻译资料
 - 模板导向合成具有排列通道和增强药物有效荷载的立方环糊精聚合物外文翻译资料
 

        
            
