羧甲基壳聚糖胶原蛋白肽氧化透明质酸复合水凝胶的制备及性能研究毕业论文
2020-03-22 14:02:58
摘 要
本研究采用了原位交联法,在羧甲基壳聚糖/胶原蛋白肽中按照不同比例添加氧化透明质酸作为交联剂,通过羧甲基壳聚糖/胶原蛋白肽与氧化透明质酸发生希夫碱共轭反应交联,制备出羧甲基壳聚糖/胶原蛋白肽/氧化透明质酸的水凝胶敷料。
研究结果表明比例不同对CMCS/COP/OHA水凝胶的性能有一定影响,OHA比例较高时水凝胶微孔排列紧密,连续无间断。其在凝胶时间、溶胀率、持水性能、血液相容性方面表现优良。当CMCS/COP与OHA比例为1:0.6时,凝胶时间最短为47 s,溶胀率最高可达732%。
壳聚糖衍生物既保留壳聚糖本身的优良性能,同时具有良好的水溶性,以及更好的生物活性和医用价值,可作为优良的生物医用材料。透明质酸是一种资源丰富,价格低廉,安全无毒,生物相容性和生物可降解性良好,且具有多种生理功能的天然多糖,本论文以氧化透明质酸作为交联剂代替传统交联剂如二乙烯砜、甲醛、戊二醛等有毒的化学交联剂带来的毒性、刺激常与羧甲基壳聚糖交联,从而得到一种具有医用潜力的新型水凝胶。
关键词:羧甲基壳聚糖;氧化透明质酸;原位水凝胶;医用敷料
Abstract
In this study, an in-situ cross-linking method was used to add sodium oxidized sodium hyaluronate as a cross-linker in different proportions of carboxymethyl chitosan/collagen peptides, through carboxymethyl chitosan/collagen peptides and oxidized transparent Sodium gallate crosslinks with Schiff base conjugation reactions to prepare a carboxymethyl chitosan/collagen peptide/hyaluronic acid hydrogel dressing.
The results show that the ratio of different hydrogels has a certain effect on the performance of CMCS/COP/OHA hydrogels. When the proportion of OHA is high, the micropores of hydrogels are closely arranged and continuous without interruption. Excellent gelation time, swelling rate, water holding capacity, and blood compatibility. When the ratio of CMCS/COP to OHA was 1:0.6, the gelling time was 47 s and the swelling rate was up to 732%.
Chitosan derivatives not only retain the excellent performance of chitosan itself, but also have good water solubility, better biological activity and medical value, and can be used as excellent biomedical materials. Sodium hyaluronate is a kind of natural polysaccharide with abundant resources, low price, safety, non-toxicity, good biocompatibility and biodegradability, and a variety of physiological functions. In this paper, sodium hyaluronate was used as a cross-linking agent. Replaced by traditional cross-linking agents such as divinyl sulfone, formaldehyde, glutaraldehyde and other toxic chemical cross-linkers to bring toxicity, stimulation often cross-linked with carboxymethyl chitosan, resulting in a new type of medical potential with hydraulic
Keywords: Carboxymethyl chitosan; Oxidized Hyaluronic acid; In situ hydrogel; Medical dressing
目录
摘 要 I
Abstract II
第1章 绪论 1
1.1引言 1
1.2水凝胶概述 1
1.2.1水凝胶简述 2
1.2.2水凝胶的医药应用 2
1.3壳聚糖的概述 3
1.3.1壳聚糖简述 3
1.3.2壳聚糖的衍生物 3
1.3.3壳聚糖的应用 4
1.3.4羧甲基壳聚糖 4
1.4透明质酸的概述 5
1.4.1透明质酸来源及应用 5
1.4.2透明质酸的衍生物 5
1.4.3氧化透明质酸 6
1.5课题选题依据及研究内容 6
第2章 实验部分 7
2.1主要原材料及设备 7
2.2.氧化透明质酸的制备 9
2.3羧甲基壳聚糖的制备 9
2.4 转谷氨酰胺酶(MT Gase)的纯化 10
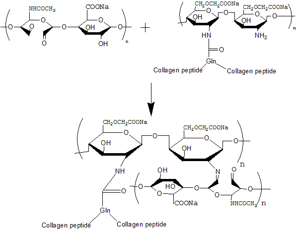
2.5羧甲基壳聚糖/胶原蛋白肽复合材料的制备 11
2.6羧甲基壳聚糖/胶原蛋白肽/氧化透明质酸复合水凝胶的制备 11
2.7复合水凝胶的表征及其性能研究 11
2.7.1红外表征 11
2.7.2扫描电镜测试 11
2.7.3氧化度的测定 11
2.7.4凝胶时间测试 12
2.7.5水蒸发率测试 12
2.7.6溶胀性能测试 13
2.7.7溶血实验 13
第3章 结果与讨论 15
3.1 红外光谱(FT-IR)分析 15
3.2 氧化度分析 17
3.3 扫描电镜分析 18
3.4 凝胶时间 20
3.5 溶血实验 20
3.6 水凝胶溶胀率分析 21
3.7 水蒸发率测试 22
第4章 结论及展望 24
参考文献 25
致谢 27
第1章 绪论
1.1引言
在人体的免疫系统中,皮肤是第一道屏障,它对机体起着重要的保护作用,不仅能够防止体内的水分流失,还能够阻止微生物对机体的入侵,维持机体内部的水分与稳态。但由于皮肤很容易受到损伤,因此在皮肤受损后,为了使皮肤尽快恢复、修复损伤,在皮肤受损后,需要为创口创造一个性能优良的恢复环境。用到一些药物与敷料对伤口进行治疗,以促进其愈合。在医疗行业,现在基本上还是以传统敷料,如脱脂棉,纱布等作为药物载体。
近年来,生物医用材料作为功能高分子材料中备受关注的一个领域,也是发展最快的领域。水凝胶是一种新发展起来的高分子材料,其能够维持湿润愈合环境,能够保护伤口防止外界感染,吸收身体溢出液还能够负载生长因子及药物。水凝胶符合现代敷料要求发展的趋势,是一种饱受关注的新型敷料材料。而将天然生物材料来制备水凝胶将是未来水凝胶发展的一个重要方向。在对水凝胶的研究中发现壳聚糖胶原蛋白肽与壳聚糖衍生物进行接枝得到的共聚物,在临床上进行试验后,发现其可以作为一种潜在的敷料[1]。但壳聚糖自身在实际使用中限于自身的溶解性,导致其抗氧化性低,可加工性弱,因此对壳聚糖的官能化将会扩大其使用范围[2]。其中羧甲基壳聚糖作为壳聚糖的衍生物是近年的研究中重点。发现羧甲基壳聚糖与胶原蛋白的共聚物对伤口的愈合效果明但其的成膜时间过长,导致其实用性不强[3]。壳聚糖-透明质酸水凝胶有着易成膜,促进细胞增殖,减少水分流失,以及抑制并发症有着显著效果[4]。其吸水性强,但易氧化降解,而氧化后的透明质酸不仅保留吸水性还使得其抗氧化性提升,从而促进了该水凝胶的使用价值。
1.2水凝胶概述
1.2.1水凝胶简述
自从水凝胶被发现就一直备受关注。它是一种三维网状结构聚合物,由于水与水凝胶三维立体结构的亲和性,水可以以自由水、束缚水、键合水等多种形式在水凝胶中存在,因此,水凝胶在储存水分的同时还能维持一定形状。水凝胶不仅在水有较好的溶胀性能,而且在生理介质中也有着不错的溶胀性能,该材料能够保持大量水分,创造湿润环境的同时不溶于该介质。对于人体血液以及人体组织,水凝胶表现出良好的生物相容性、生物可降解性等。如壳聚糖类水凝胶在人体内可降解,降解产物为天然无毒代谢物,易被人体吸收[2]。
根据水凝胶的制备方法,主要可分为物理交联法,化学交联法以及辐照交联法。在当前的研究中,化学交联法制备水凝胶的主要方式。这种方法的原理是采用一定的小分子化学交联剂或者采用反应分子聚合的方式进行交联,操作简便,且通过控制反应条件便可以对凝胶的生成速率、强度等进行直接调控,但是目前采用的小分子聚合物一般有毒性。物理交联法制备水凝胶形成水凝胶的主要方式是依靠氢键、静电作用,链的缠绕等进行交联,此方法避免了交联剂的使用,通过简便的机械手段即可进行交联,在生物学和药学领域有着较为广泛的使用,但是通过这种方法制备的水凝胶易降解,一般机械性能较差。辐照交联法水凝胶是目前最为先进的水凝胶制备方法之一,其采用辐照原理在聚合物单体或多种单体的共混溶液在高能辐射下产生活性粒子,优先引发聚合连锁反应以形成水凝胶,这种方法制备不仅反应条件温和,而且在无菌方面有着非常强力的保障,但是辐照方法能量消耗高,不适于一般低成本水凝胶的制备生产。
目前,常见的制备可吸收止血水凝胶的高分子材料主要有透明质酸(Hyaluronic acid, HA)、纤维蛋白胶(Fibrin glue, FG),明胶海绵(Gelatin sponge, GS),纤维素(Cellulose, CE)、氧化纤维素(Oxidized cellulose, DAC)、微纤维胶原(Micro fiber adhesive, MFA)、壳聚糖(Chitosan, CS)及海藻酸类(Alginate acid, AC)等[6]。
1.2.2水凝胶的医药应用
随着医疗技术的不断发展,传统敷料在临床使用方面出现了一些问题,在对药物的载荷,创面恢复环境的保护,以及使用环境的受限等方面有着明显的不足。高分子水凝胶作为新兴敷料具有优秀的性能,如生物相容性好,毒性小,释放缓慢等。其被广泛应用在生物医药领域,主要在制造药物缓释系统、隐形眼镜、人造玻璃体、药膏、人造皮肤、伤口敷料等。其中最主要应用是用于医用伤口敷料,水凝胶敷料相较于传统敷料具备一系列优点:高吸水性可以吸收伤口渗出的组织液,有利于创面湿润环境的维持,而且不会与伤口发生黏连从而造成更换时的二次伤害;水凝胶多为透明,有利于观察伤口愈合情况;透气透水性,氧气和水分可以到达伤口,加速伤口愈合。
目前,在开发及应用的生物医用水凝胶主要有四种,可注射水凝胶、互穿网络结构水凝胶、智能水凝胶以及纳米复合水凝胶。
可注射水凝胶是能够通过注射的方法来使用的水凝胶,其本身具有一定的可流动性能。其主要用于微创手术止血,具有不局限于水凝胶使用环境的优点,且不受受创部位面积等限制;互穿网络结构水凝胶是聚合物之间具有新的结构的复合聚合物体系。其在水凝胶力学性能、负载能力等方面表现出优异的性能,在蛋白质及组织再生领域有良好的前景;智能水凝胶是能对外界刺激如外界温度、pH、光等进行相应反应的一种水凝胶,在组织工程、药物载体,蛋白质传输等方面应用广泛;纳米复合水凝胶是指水凝胶颗粒粒子大小属于纳米级的水凝胶材料,其体现出单种水凝胶所不具备的潜能,主要在载药,干细胞工程等方面拥有较为广阔的应用空间。
1.3壳聚糖的概述
1.3.1壳聚糖简述
壳聚糖(chitosan,CS)又名聚氨基葡萄糖、几丁聚糖、脱乙酰甲壳素等,学名为 (1,4)-2-乙酰氨基-2-脱氧-β-D-葡萄糖,是甲壳素在碱性条件下脱乙酰的产物,根据脱乙酰度的不同口味黄色或白色。它来自于低等动物虾、蟹的外壳,是自然界唯一存在的碱性多糖,具有良好的生物相容性以及生物活性。此外,壳聚糖还有抗菌性、生物可降解性等优良性能。但是,壳聚糖在pH为中性、弱碱性的水溶性效果较差,在实际应用中带来许多不便[7]。因此近年来,壳聚糖及壳聚糖衍生物的发展研究受到广泛关注[7]。
1.3.2壳聚糖的衍生物
壳聚糖是双螺旋结构,其分子链中存在大量的氨基、伯羟基和仲羟基等反应活性高的官能团,因此在特定的条件下容易进行各种化学反应如酰化、酯化、醚化、季铵化、接枝、希夫碱化、氧化等,通过上述化学反应,在壳聚糖上引入了新的官能团,其溶解性可被改善且能被赋予一些新性能,从而得到多种性能不同的壳聚糖衍生物。因此在一定的条件下,通过功能修饰或者改性的方法对壳聚糖的氨基和羟基以化学反应得到需要的衍生物。壳聚糖的衍生物主要有烷基壳聚糖衍生物、氨基壳聚糖衍生物、季铵盐型壳聚糖衍生物、羧甲基壳聚糖衍生物、壳聚糖的酯衍生物等。通过对壳聚糖的结构改造,壳聚糖的衍生物针对于不同的应用范围,改变了它的溶解性,并且赋予了其新性能。
1.3.3壳聚糖的应用
壳聚糖及其衍生物在生物医药、环保行业、纺织工业、日用化妆品制造业等方面都有广泛的应用。特别是在生物医药方面,壳聚糖及其衍生物良好的生物相容性,其衍生物作为医用敷料、人工皮肤及硬组织修复材料等已经在生物医用材料领域中有了广泛的应用。其次,由于良好抗菌等特性,壳聚糖衍生物还被应用于手术用缝合线的制作、抗菌基底等[9]。
1.3.4羧甲基壳聚糖
羧甲基壳聚糖(CMCS)是壳聚糖在碱性条件下与氯乙酸反应,从而将羧甲基基团接枝到壳聚糖分子骨架上形成的[10]。它是目前生产生活中应用最多壳聚糖衍生物中的一种,由于羧甲基是一种亲水性基团,在它引入后破坏了壳聚糖晶体的规整性,降低了壳聚糖的结晶度,因此羧甲基壳聚糖展示出一定的水溶性,同时也为壳聚糖的交联反应提供了更多的可能。

图1-1 羧甲基壳聚糖结构式
羧甲基的引入在赋予羧甲基壳聚糖新的理化性质和生物特性的同时还保留了壳聚糖的优异性能,羧甲基壳聚糖展示出一系列优异的理化性质和生物特性,比如良好的水溶性,抗菌性、凝血性、抗肿瘤、促进细胞增殖等,显示出广阔的应用前景。在杨海瑞等[9]的实验研究中表明,羧甲基壳聚糖对于与口腔疾病相关的菌类作用明显,对引起龋病和牙周病的细菌有明显的抑制作用。Park等[12]实验表明羧甲基壳聚糖促进皮肤组织生长,并且对减少疤痕有非常重要的意义,郭苗苗等[13]与市面明胶海绵敷料对比实验,结果表明羧甲基壳聚糖海绵敷料止血效果可靠,渗出物少,并能有效促进创面组织生长。因此,羧甲基壳聚糖在医用敷料方面显现了深远的研究意义与广泛的应用前景。
1.4 透明质酸的概述
1.4.1透明质酸来源及应用
透明质酸(HA)是一种在人体内大量存在的高分子多糖,是由β-1,4-D-葡萄糖醛酸和β-1,3-N-乙酰氨基葡萄糖交替连接而形成的一种高度亲水性的线性阴离子多糖。其在自然界中分布广泛,主要分布在动物组织中,如鸡冠,眼玻璃体,脑软骨,关节液中。近年来,随着对透明质酸的进一步研究,发现发酵法生产的透明质酸,因为其成本低,原料丰富,生产易规模化,产物纯度高,来源由动物组织提取法变为了微生物发酵法。研究表明由于分子量的不同,透明质酸在不同方面的用途不同。高分子量的透明质酸,保湿润滑效果好,常用于高级化妆品中。中分子量的透明质酸搭载药物缓释效果好,作为敷料在手术后防止山口的黏连效果显著。小分子量的透明质酸用在抗肿瘤,免疫调节,促进血管的生成等方面。

图1-2 透明质酸结构式
1.4.2透明质酸的衍生物
透明质酸及其衍生物在临床上已有很多年使用历史,在组织工程和再生医学领域被认为是一种很有前景的生物材料[14]。但是HA也具有吸收速度快、易溶于水、在体内降解速度快、停留时间短等缺点,限制了一些对于材料机械强度和长效性有一定要求的场合。因此对HA进行修饰改性或者与其它材料复合,改善其缺陷,拓宽其应用范围。前,对透明质酸进行改性有许多种化学方法。其中利用碳化二亚胺的催化用在透明质酸的羧基上接枝小分子是HA 改性中最常见的方法之一。Kurisawa等[15]将酪胺利用碳化二亚胺接枝到透明质酸上,并通过辣根过氧化物酶和双氧水的催化下制备出具有良好生物相容性的水凝胶。研究表明,透明质酸上羧基的反应程度具有调节其降解速率的作用。有文献报道,通过苄酯化改性后,透明质酸的溶解性能极大降低[16],利用这种改性手段已经制备了许多具有生物医用潜能的材料(如导管、滤膜、非纺织物、纱布、海绵等)已在一些实际场合中有所应用。同时,透明质酸分子链上的羟基也可以通过酯化反应来进行交联。
1.4.3氧化透明质酸
氧化透明质酸(OHA)是由透明质酸经过氧化改性而得到的产物,不仅继承了透明质酸的良好的生物相容性,保湿性,润滑性,以及对搭载药物的缓释性能,而且改善了透明质酸的不稳定性,对透明质酸酶的敏感性,易降解,在体内保留时间短等缺点。
图1-3氧化透明质酸结构式
1.5课题选题依据及研究内容
本研究拟过对壳聚糖改性制备得到羧甲基壳聚糖,然后在转谷氨酰胺酶的催化作用下接枝小分子胶原蛋白肽,得到羧甲基壳聚糖/胶原蛋白肽复合材料。采用高碘酸钠氧化法制备得到氧化透明质酸作为交联剂,避免传统交联剂如二乙烯砜、甲醛、戊二醛等带来的毒性、刺激,通过羧甲基壳聚糖/胶原蛋白肽上的氨基与氧化透明质酸上的醛基发生席夫碱反应交联形成复合水凝胶。从而结合羧甲基壳聚糖,胶原蛋白肽以及氧化透明质酸优点,用来综合几种生物高分子的优势。采用原位凝胶具有能精确、灵敏控制水凝胶敷料用量,降低药物的毒副作用,使用方便,可随时停止给药等优点[17]。
本研究的主要工作如下:
以上是毕业论文大纲或资料介绍,该课题完整毕业论文、开题报告、任务书、程序设计、图纸设计等资料请添加微信获取,微信号:bysjorg。
相关图片展示:







您可能感兴趣的文章
- 用于甲醇制烯烃反应的SAPO-34/ZSM-5复合催化剂的原位水热结晶合成外文翻译资料
 - 硫化氢在活体的化学发光探针成像外文翻译资料
 - 全色发射型ESIPT荧光团对某些酸及其共轭碱负离子识别的颜色变化外文翻译资料
 - 一种用于成像神经元细胞和海马组织中NMDA受体附近内源性ONOO-的双光子荧光探针外文翻译资料
 - 表面功能化的Ui0-66/pebax基超薄复合中控纤维气体分离膜外文翻译资料
 - 金属有机框架中的可逆调节对本二酚/醌反应:固态固定化分子开关外文翻译资料
 - 二维MXene薄片的尺寸相关物理和电化学性质外文翻译资料
 - 将制甲烷的Co催化剂转化为产甲醇的In@Co催化剂外文翻译资料
 - MXene分子筛膜用于高效气体分离外文翻译资料
 - 模板导向合成具有排列通道和增强药物有效荷载的立方环糊精聚合物外文翻译资料
 

        
            
