聚丙烯酸酯乳液的制备及其防腐性能的研究毕业论文
2020-02-19 11:56:16
摘 要
金属防腐蚀的意义重大,不仅可以为工业经济减少损失、节省自然资源,更可以避免很多工业事故的发生。而水性涂料的研发,使得防腐过程的绿色环保成为可能。被应用于防腐涂料中的聚丙烯酸酯乳液,也成为了水性涂料中使用最多的一种。但由于其存在的缺点较多,在应用中受到了比较大的限制。为了获得性能更好的防腐涂料,本文通过合成具有核壳结构的聚丙烯酸酯乳液对其进行改性。
通过设计一组正交试验分析得到影响乳液及涂膜性能的四种因素的程度大小,排序为乳化剂配比gt;硬软单体比gt;核壳比gt;引发剂用量。取影响因素较大的前三组进行单因素分析,对得到的乳液涂膜后进行机械性能、电化学阻抗、粒径及其分布等性能测试,探究各影响因素的作用规律。结果表明,在本实验设计的条件下,引发剂用量为0.7%、乳化剂配比为2:1、核壳质量比为4.5:5.5、硬软单体质量比为1.5:1时,乳液的防腐性能达到最佳。
以上述正交试验最优组为基础,利用场发射扫描电镜对制得的聚丙烯酸酯乳液进行表征,结果表明,本实验合成的乳液具有所设计的核壳结构,乳液的防腐蚀性能较佳。
关键词:聚丙烯酸酯乳液;核壳结构;防腐蚀
Abstract
Metal anticorrosion is of great significance. It can not only reduce the loss of industrial economy and save natural resources, but also avoid many industrial accidents. The research and development of waterborne coatings make it possible to protect the environment from corrosion. Polyacrylate emulsion used in anticorrosive coatings has also become one of the most widely used waterborne coatings. However, due to its many shortcomings, it is limited in application. In order to obtain better performance of anticorrosive coatings, this paper modified polyacrylate emulsion with core-shell structure.
By designing a set of orthogonal experiments, the four factors that affect the properties of emulsion and coating were obtained. The degree of emulsifying agent ratiogt;hard soft monomer ratiogt;core shell ratiogt;initiator dosage was selected. The first three groups with larger influence factors were subjected to single factor analysis. The mechanical properties, electrochemical impedance, particle size and their distribution were tested after the emulsion coating was applied to explore the rules of the influencing factors. The experimental results show that the anticorrosive property of the emulsion is the best when the dosage of initiator is 0.7%, the ratio of emulsifier is 2:1, the core shell mass ratio is 3.5:6.5, and the hard / soft monomer mass ratio is 1.5:1.
Based on the above orthogonal test, the polyacrylate emulsion was characterized by field emission scanning electron microscopy (SEM). The results showed that the emulsion synthesized in this experiment had the core shell structure and the anti-corrosion property of the emulsion is batter.
KEY WORDS: Polyacrylate emulsion; Mental anticorrosion; Core-shell structure
目 录
第一章 绪论 1
1.1 金属防腐蚀 1
1.2 水性防腐蚀涂料的研究背景 1
1.3 聚丙烯酸酯乳液的特点及研究现状 2
1.4 核壳型聚丙烯酸酯乳液 3
1.4.1 聚丙烯酸酯乳液单体的作用与选择 3
1.4.2 核壳型聚丙烯酸酯类乳液的合成研究背景 3
1.5 本课题的研究内容与意义 4
1.5.1 本课题的研究内容 4
1.5.2 本课题的研究意义 4
第二章 苯丙乳液的聚合条件的初步探究 6
2.1 实验药品及仪器 6
2.1.1 实验药品 6
2.1.2 实验仪器与设备 7
2.2 核壳型苯丙乳液的制备方案 7
2.2.1 核壳型苯丙乳液的设计 7
2.2.2 核壳型苯丙乳液的制备 8
2.3 正交试验 10
2.3.1 正交试验的设计 10
2.3.2 正交试验结果与讨论 11
2.4 乳液核壳结构的表征 13
第三章 苯丙乳液聚合条件具体因素的探究 14
3.1 苯丙乳液聚合条件的单因素分析 14
3.2 性能测试与表征 14
3.3 结果与讨论 17
3.3.1 乳化剂配比对乳液的影响 17
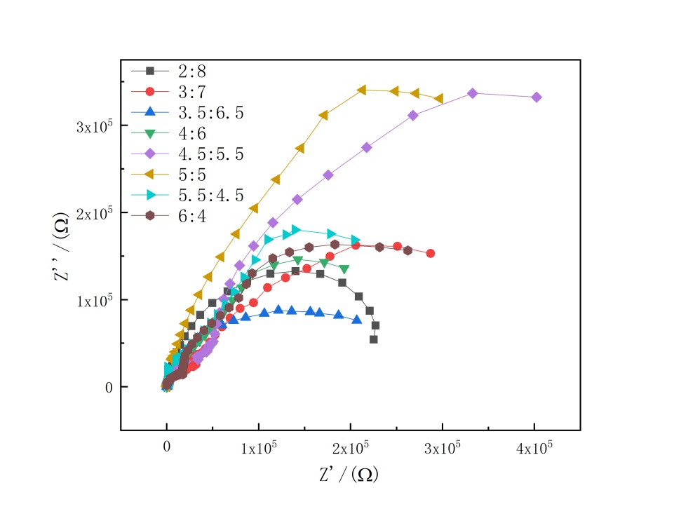
3.3.2 核壳比对乳液的影响 19
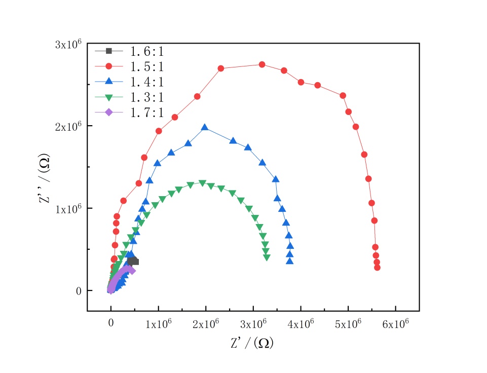
3.3.3 硬软单体比对乳液性能的影响 22
第四章 总结 24
参考文献 25
致谢 26
- 绪论
- 金属防腐蚀
在不同的使用环境下,金属材料会发生情况各异的腐蚀现象。金属长期暴露在大气、海水、化学介质等环境下,水分、氧气等腐蚀介质使金属材料发生电化学反应而快速腐蚀的现象叫做化学腐蚀[1]。一些材料与周围介质因为发生物理作用而造成的腐蚀称为物理腐蚀[2]。
金属材料用量大、用途广泛,它的腐蚀危害重重,采取有效的防腐措施在减小企业经济损失的同时更可以保证工作人员的安全生产,意义重大[3-4]。
金属防腐蚀的方法主要有以下四种:
- 阴极保护:即牺牲阳极的阴极保护法。向涂料中加入比被防护材料有更强活动性的活泼金属,使其作为阳极发生氧化反应,从而有效抑制金属基材的阴极腐蚀反应,达到防腐的作用。
- 阳极保护:将金属的阳极极化曲线向钝化区移动,调节金属的极化电流。但这一方法的适用范围小,控制过程复杂严格,故只适用于小面积的防护。
- 加入缓蚀剂:缓蚀剂一般分为三类,即阳极型、阴极型和混合型。阳极缓蚀剂经化学吸附过程被吸附在金属表面,本身形成一层膜,或者与金属离子反应后形成膜;阴极缓蚀剂使金属形成它本身的金属氧化物保护膜;混合型即阴阳缓蚀剂与水中可能变成腐蚀产物的成分发生反应。缓蚀剂在作用过程中所得产物的性质很大程度上决定了腐蚀过程是否会进一步发生。若产物是较为致密的氧化物或氢氧化物膜,腐蚀反应就会得到抑制,腐蚀速率也会大大下降[7];如果产物是疏松易脱落甚至会溶解于电解质中时,就无法对内层的金属起到保护作用,腐蚀也就会继续发生。找到适合用于金属材料的缓蚀剂是达到防腐作用的重点。
- 施加涂层:涂层的作用是在金属材料表面形成漆膜,防止和腐蚀介质相接触。可通过电镀、化学镀、喷涂等方法得到涂层。它还具备了一定的装饰性,使得这一方法的应用更加广泛。
涂层防腐的操作简单、效果突出的优点得到了广泛的应用。本文针对这种防腐措施,设计了聚合高分子树脂涂料即聚丙烯酸酯乳液,探究其对金属的防腐作用。
- 水性防腐蚀涂料的研究背景
涂料产品的绿色、环保是目前国内外关注的热点。溶剂型涂料凭借其具备的防腐蚀效果好、应用范围广、适用度高等优点具有很长的服役周期,但其中不仅含有对身体造成危害的各种易挥发物质,大多还含有重金属防锈颜料,会对人类的生存环境造成严重的威胁。水性防腐涂料作为绿色环保涂料的一种,用它来替代溶剂型涂料已成为一种必然的趋势[5]。它具有制备方法多,应用广泛,施工相对简单,对身体危害小等优点。
水性涂料的主要品种有环氧涂料、醇酸树酯涂料、聚酯涂料、聚氨酯涂料等类型[6]。现阶段市场上应用的最多的是丙烯酸酯涂料,这类涂料因为具有色浅、装饰性优良等优点,广泛应用于航天、建筑、汽车等领域。水性丙烯酸树脂漆主要有三类,分别是聚丙稀酸树脂水分散体、聚丙烯酸树脂水溶液、聚丙烯酸树脂乳液,其中聚丙烯酸树酯乳液是使用最多的。
- 聚丙烯酸酯乳液的特点及研究现状
聚丙烯酸酯乳液因易溶于水、形成的膜光泽好、耐水性佳、柔韧性好等优点,成为目前市场上应用最为广泛的一类涂料。且其生产成本低、工艺简单,在性能改进方面也得到了快速发展。与此同时,它存在的如低温易变脆、高温易变黏等缺点得到了研究人员的持续关注,对丙烯酸酯乳液改性方法的研究也成为了焦点。
通常,主要从以下几个方面对丙烯酸酯乳液进行改性:
- 引入新的功能性单体
李宇通过改变功能单体的种类、用量,并加入防锈颜填料、水性缓蚀剂的方法调整了苯丙乳液的交联体系,使得水性涂料的性能得到了很大的改善[7]。
刘晓庆、王琛等选用苯乙烯、丙烯酸酯的聚合物乳液作为主要成膜物质,并添加了防锈颜料、分散剂、防闪锈剂、成膜助剂等制备得到一种环境友好型水性丙烯酸防锈涂料[8]。
- 有机硅改性
Farid选择丙烯酸异辛酯和具有环氧基团的甲基丙烯酸缩水甘油酯为原料,采用原位聚合法引入纳米SiO2,制备了聚丙烯酸酯乳液,通过加入交联单体和有机硅改性的方法使乳液的机械性能和防腐性能得到了改善[9]。
- 氟改性
Saidi等使用含氟类单体和苯乙烯使用自由基聚合法制备了聚丙烯酸酯乳液,且漆膜的耐水性与含氟碳链的长度呈正比关系[10]。
- 采用新的乳液聚合方法
冯增辉、胡婉霞等采用半连续种子乳液聚合法,在选用阴离子与非阴离子型复配乳化剂,以硅溶胶、丙烯酸酯类作为制备核层和壳层乳液的单体的情况下,成功制备了力学性能良好的核壳型复合乳液,系统地研究了乳化剂配比、核壳单体质量比和硅溶胶含量对乳液及涂膜性能的影响[11]。
本文对丙烯酸酯乳液进行改性的方法选择为加入功能性单体的同时采用新的乳液聚合方法。
- 核壳型聚丙烯酸酯乳液
新的乳液聚合方法往往是通过设计制备特殊的乳胶粒结构,在粒子级别上实现多种复合物的共聚,以此来完成对某些方面性能的改善。其中具备核壳结构的乳液因结构新颖、形貌规整易观测且性能良好等原因,成为了研究人员的首选对象,制备方法也趋于成熟。与常规的共聚物乳液相比,可以赋予乳液我们想要得到的性能,比如硬度、柔韧性、成膜性、耐腐蚀性等[12]。
核壳结构乳胶粒的核、壳层之间的界面上存在的中间过渡区,适当地抑制了两相的分离,这一目标的实现,使得其性能得到改善。选择相同的单体作为原料,在组成比例不变的情况下,核壳结构乳液的机械性能明显优于一般的共聚物和共聚物混合物,对底材的附着力得到明显增加,漆膜的耐水性、防腐蚀性也能得到明显提高[13]。综上,制备核壳型聚丙烯酸酯乳液可以达到本课题的研究目的。
- 聚丙烯酸酯乳液单体的作用与选择
聚丙烯酸酯乳液的性能与聚合反应所选用的单体有着密不可分的关系,可以说单体的选择决定了最终聚合物性能的优劣。按照单体的种类与作用效果,这里我们把它们分为四类。
- 硬单体:赋予漆膜硬度、耐磨性和结构强度等;
- 软单体:赋予漆膜柔韧性和耐久性等;
- 功能性单体:提高漆膜的附着力、交联性、柔韧性。耐腐蚀性等;
- 交联单体:使聚合物分子结合紧密,提高其耐水性和耐溶剂性。
实际上,为了获得各项性能均优良的聚丙烯酸酯乳液,在聚合过程中很少采用单一的某种单体为原料,大多数是采用两种或两种以上的单体为原料,且往往是硬单体与软单体搭配使用。另外,即使选用的都是硬单体但所采用原料不同,所得乳液漆膜的性能也会有很大的差异[14]。也就是说,涂膜的性能对原料的依赖性很大,不同的原料往往可以直接赋予涂膜某一项与众不同的性能。
- 核壳型聚丙烯酸酯类乳液的合成研究背景
核壳乳液聚合技术是在种子乳液聚合的基础上发展起来的。Okubo教授提出“粒子设计”(即通过改变聚合工艺而保证乳液单体配方不变的前提下,实现乳液粒子结构的改变,进而提高乳液的性能)这一观点后,有关该聚合的理论研究和实践应用均得到了较快速的发展。一般地,种子乳液聚合的方法是:先选择合适的单体或者混合单体分别作为核层乳液A和壳层乳液B;先对A进行乳液聚合,制备所得的聚合物作为种子溶液,再在该聚合物的基础上,加入B和引发剂,进一步引发乳液聚合反应。通过这样的方法可以得到以A为核,B为壳的核壳结构的乳胶粒子。根据第二阶段壳层乳液的加料方式不同,聚合反应也有所区别,大致可以分为间歇法、连续法、半连续法和预乳化-半连续法[12]。这里我们主要介绍最后一种。
预乳化-半连续法的操作:先对乳化剂、单体进行预乳化,以获得稳定的预乳化液。当温度达到反应温度时将引发剂和预乳化液同时在规定时间内以一定的速率进行滴加,重点是要保证加料速度均匀[6]。预乳化-半连续法不仅有利于反应热的传递,使反应可以更为平稳地进行,而且因为引入预乳化工艺而具有以下的特点:
- 通过预乳化过程将水溶性大、极性强的单体与其他单体充分混合均匀,这一过程有助于乳液聚合反应平稳地进行;
- 乳化剂与单体混合均匀,避免了单独加入乳化剂产生的乳化剂局部浓度过髙,产生胶束生成新型乳胶粒的现象;
- 可实现对聚合物乳液的外观、粒径及其分布等性能的控制。
故本文选用预乳化半连续种子聚合法并复配功能性单体,可以制备具有核壳结构的性能良好、防腐蚀效果佳的聚丙烯酸酯乳液。
- 本课题的研究内容与意义
- 本课题的研究内容
制备稳定性良好的水性化防腐涂料—聚丙烯酸酸酯乳液。采用预乳化半连续种子聚合法制备具有硬核软壳结构的聚丙烯酸酯乳液,该乳液的核、壳层均选择硬、软单体复配体系,系统研究了乳化剂配比、核壳质量比、硬软单体比、引发剂用量四种因素对乳液所得漆膜的机械性能、硬度、附着力、耐水性、耐腐蚀性等方面的影响,并采用透射电镜、粒度仪等测试方法,对乳胶粒的形貌、粒径及其分布做微观结构的表征。
首先,对本实验中的四种影响因素进行探讨,设计正交试验。使用极差分析等方法对结果进行分析,以确定四种因素的影响程度。
依据正交试验得出的结果,进一步设计单因素实验,探究每种因素具体的影响趋势。 对所得到的乳液涂膜,并对漆膜进行性能测试,通过分析吸水率、固含量、柔韧性、硬度、附着力、耐冲击性、阻抗等项目后,对得到的测试数据进行整理、分析,确定出制备核壳型聚丙烯酸酯乳液的最佳配比,使其防腐蚀性能达到最佳。
- 本课题的研究意义
随着人们生活水平的日益提高,大众对于环境的要求也越来越高,国家也更加重视各种产品的绿色环保。各种环保相关政策法规的出台与完善,使得各个企业向生产环境友好型产品转型。而涂料的水性化既是保护环境的要求,也是节约自然资源的一大体现。本研究积极响应这一趋势,制备绿色环保的水性防腐蚀涂料。防腐蚀涂料水性化的重要性不言而喻,也意味着聚丙烯酸酯乳液在防腐蚀领域将会有更大的作用空间。
- 苯丙乳液的聚合条件的初步探究
- 实验药品及仪器
- 实验药品
主要实验试剂见下表2.1。
表2.1 主要实验试剂
试剂名称 | 规格 | 厂家 |
过硫酸铵(APS) | 分析纯 | 国药集团化学试剂有限公司 |
十二烷基硫酸钠(SDS) | 化学纯 | 国药集团化学试剂有限公司 |
碳酸氢钠(NaHCO3) | 分析纯 | 国药集团化学试剂有限公司 |
氯化钠(NaCl) | 分析纯 | 国药集团化学试剂有限公司 |
丙烯酸正丁酯(BA) | 化学纯 | 国药集团化学试剂有限公司 |
甲基丙烯酸甲酯(MMA) | 化学纯 | 国药集团化学试剂有限公司 |
丙烯酸(AA) | 化学纯 | 国药集团化学试剂有限公司 |
苯乙烯(St) | 分析纯 | 国药集团化学试剂有限公司 |
2—羟乙基甲基丙烯酸磷酸酯(PM2) | 化学纯 | RYOJI良制化学有限公司 |
甲基丙烯酸缩水甘油酯(GMA) | 化学纯 | 上海阿拉丁生化科技股份有限公司 |
丙烯酸羟乙酯(HEA) | 化学纯 | 上海阿拉丁生化科技股份有限公司 |
无水乙醇 | 分析纯 | 国药集团化学试剂有限公司 |
石油醚 | 分析纯 | 国药集团化学试剂有限公司 |
氨水 | 分析纯 | 国药集团化学试剂有限公司 |
- 实验仪器与设备
主要实验仪器见下表2.2。
表2.2 实验仪器与设备
仪器名称 | 型号 | 生产厂家 |
集热式恒温加热磁力搅拌器 | DF-101S型 | 巩义市予华仪器有限责任公司 |
电子天平 | JE1002型 | 上海浦春计量仪器有限公司 |
分析天平 | AL104型 | 梅特勒-托利多仪器(上海)有限公司 |
水浴锅 | SH2-DⅢ型 | 巩义市予华仪器有限责任公司 |
悬臂式电动搅拌器 | RO-DI型 | 上海垒固仪器有限公司 |
百格刀 | QFH型 | 东莞市广信电子科技有限公司 |
场发射扫描电子显微镜 | Zeiss Ultra Plus | 德国蔡司 |
粒径仪 | ZS 90 | 马尔文仪器有限公司 |
双单元电化学工作站 | CS2350 | 武汉科斯特仪器有限公司 |
漆膜冲击器 | QCJ型 | 中国天津材料试验机厂 |
漆膜弹性测定器 | QTX-1型 | 天津材料试验机厂 |
- 核壳型苯丙乳液的制备方案
作为一种聚合物的乳液合成新技术,与普通型苯丙乳液聚合工艺相比较来说,核壳型乳液是由性质不用的两种或多种高分子复合乳液的聚合反应,[9]需经多个阶段的聚合得到。
以上是毕业论文大纲或资料介绍,该课题完整毕业论文、开题报告、任务书、程序设计、图纸设计等资料请添加微信获取,微信号:bysjorg。
相关图片展示:






您可能感兴趣的文章
- 用于甲醇制烯烃反应的SAPO-34/ZSM-5复合催化剂的原位水热结晶合成外文翻译资料
- 硫化氢在活体的化学发光探针成像外文翻译资料
- 全色发射型ESIPT荧光团对某些酸及其共轭碱负离子识别的颜色变化外文翻译资料
- 一种用于成像神经元细胞和海马组织中NMDA受体附近内源性ONOO-的双光子荧光探针外文翻译资料
- 表面功能化的Ui0-66/pebax基超薄复合中控纤维气体分离膜外文翻译资料
- 金属有机框架中的可逆调节对本二酚/醌反应:固态固定化分子开关外文翻译资料
- 二维MXene薄片的尺寸相关物理和电化学性质外文翻译资料
- 将制甲烷的Co催化剂转化为产甲醇的In@Co催化剂外文翻译资料
- MXene分子筛膜用于高效气体分离外文翻译资料
- 模板导向合成具有排列通道和增强药物有效荷载的立方环糊精聚合物外文翻译资料


