硅胶柱层析纯化替普瑞酮的工艺研究毕业论文
2020-07-02 22:41:18
摘 要
替普瑞酮作为一种抗消化性溃疡药,因其独特的理化性质和良好的药用机制近年来已有许多将其用于肠胃疾病治疗的研究,确立了其不可或缺的重要地位。替普瑞酮已被广泛使用多年,并已在基础研究和临床应用中得到一定发展。但在合成该药的过程中,会生成多种杂质,其中包含 双顺式杂质和三顺式杂质。且国家食品药品监督管理局进口物质标准JX20050119中对替普瑞酮中杂质的纯度要求较高,所以替普瑞酮的分离纯化工艺有很大的研究价值。而柱层析法是目前广泛应用的提取高纯物质的分离纯化方法,具有较高的研究开发价值,是有效可行的。
本文采用硅胶柱层析法对替普瑞酮进行分离提纯的合理设计。根据替普瑞酮的性质,选择出若干组流动相体系,利用薄层色谱法确定了其中石油醚-乙酸乙酯体系分离效果较佳,并在该体系下,利用控制变量法,确定最佳流动相比例为石油醚:乙酸乙酯为140:1,最佳上样量为8 ml,此时的提纯效果较好。
本文成功利用控制变量法找出了通过硅胶柱层析法对替普瑞酮进行分离提纯,提纯过程成本低廉、操作安全性较高,产物纯度较高。
关键字:抗消化性溃疡药 替普瑞酮 硅胶柱层析 气相色谱
Purification of Tepretone by Silica Gel Column Chromatography
Abstract
Teprenone, as an anti-peptic ulcer drug, has its unique physicochemical properties and good medicinal mechanism. In recent years, many studies have been used to treat gastrointestinal diseases, establishing its indispensable importance. status. Teprenone has been widely used for many years and has been developed in basic research and clinical applications. In the process of synthesizing the drug, a variety of impurities are generated, including a double cis impurity and a tricis impurity. And the State Food and Drug Administration's standards for imported substances JX20050119 stipulates that the total amount of double cis impurities and tricis impurities shall not exceed 1%, and the content of other impurities shall not exceed 1%, so the separation and purification process of tepretone is very large research value. The column chromatography method has been currently widely used separation and purification technology, the extraction of high-purity materials is effective and feasible, so it has great research and development value.
In this paper, a reasonable method for separation and purification of typredone by silica gel column chromatography is designed. According to the nature of teprenone, several groups of mobile phase systems were selected, and the separation effect of petroleum ether-ethyl acetate system was determined by thin layer chromatography. Under this system, the best method was used to determine the best The flow comparison example was petroleum ether: ethyl acetate was 140:1, and the best sample volume was 8 ml. The purification effect at this time was good.
This article successfully used the control variable method to find out the separation and purification of tepretone by silica gel column chromatography. The purification process has low cost, high operation safety, and high product purity.
Key Words: anti-peptic ulcer drugs; teprenone; silica gel column chromatography; gas chromatography
目 录
摘 要 I
Abstract II
第一章 文献综述 1
1.1 课题背景 1
1.2 替普瑞酮的合成工艺 1
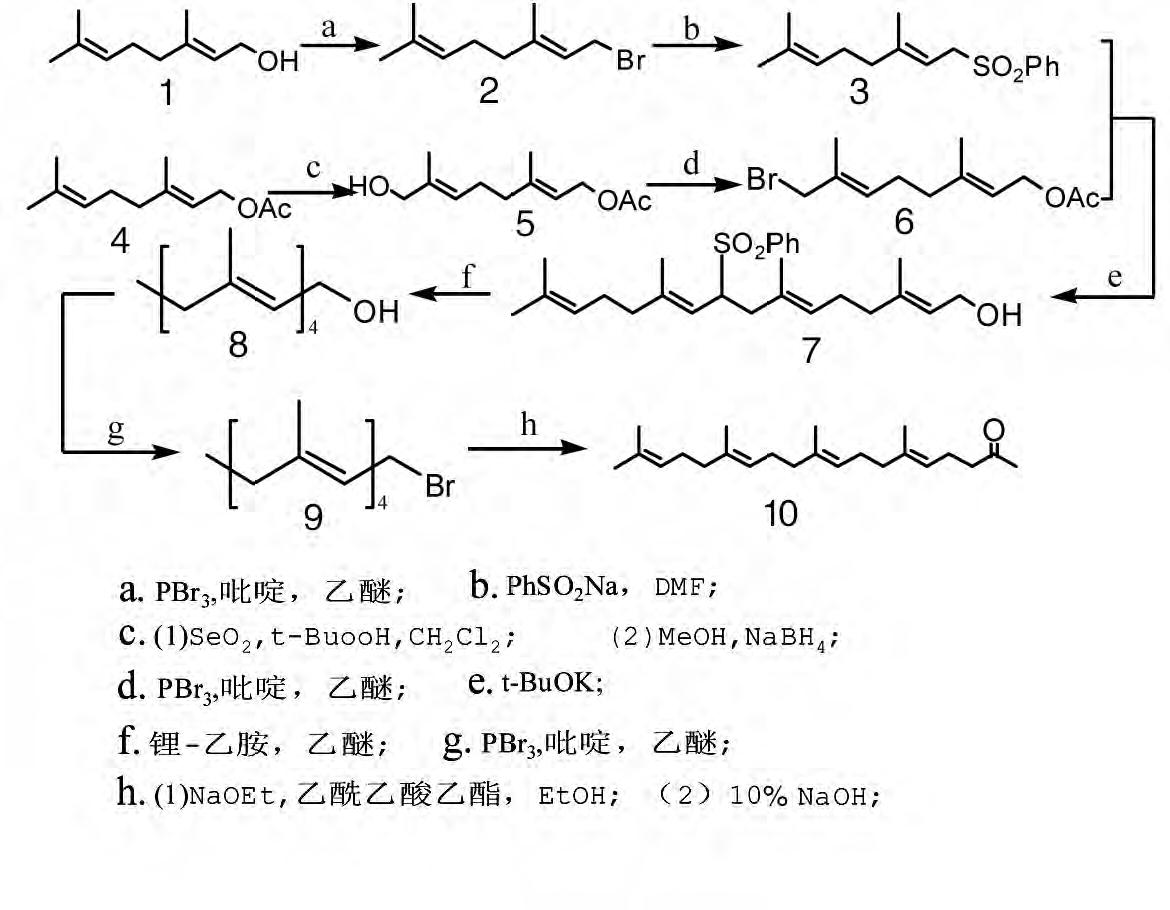
1.2.1 以香叶基溴为原料的合成方法 1
1.2.2 以橙花叔醇为原料的合成方法 2
1.2.3 以异戊二烯为起始原料的合成方法 2
1.2.4 以全反香叶基芳樟醇为原料的合成方法 3
1.2.5 一种全反式替普瑞酮的合成方法 3
1.3 药物分离提纯方法概述 4
1.3.1 萃取 4
1.3.2 结晶 5
1.3.3 柱层析 5
1.4 药物分析方法概述 6
1.4.1 薄层色谱法 7
1.4.2 高效液相色谱法 7
1.4.3 气相色谱法 8
1.5 本文研究意义与内容 8
第二章 实验部分 10
2.1 实验试剂与仪器 10
2.1.1 实验试剂 10
2.1.2 主要仪器 10
2.2 硅胶柱层析提纯替普瑞酮方法 11
2.2.1 实验步骤 11
2.2.4 分析方法 12
第三章 分离条件的选择与优化 14
3.1 流动相的选择 14
3.2 流动相比例的优化 14
3.3 上样量的优化 18
第四章 结论与展望 24
4.1 结论 24
4.2 展望 24
参考文献 25
致 谢 28
第一章 文献综述
1.1 课题背景
替普瑞酮(Teprenone)是一种萜烯类化合物,作为抗消化性溃疡药物,它在保护胃粘膜细胞中发挥着重要作用[1-2]。由于它的抗病毒活性,替普瑞酮可以在预防和治疗缺血/再灌注障碍,损伤,炎症,感染和器官移植起到巨大作用。它可保护胃粘膜却不影响胃酸和胃蛋白酶的分泌[3],所以特别用于预防胃炎和胃溃疡。替普瑞酮通过激活HSP转录因子热休克因子1(HSF1)诱导胃粘膜细胞HSP60,HSP70和HSP90的表达。在对大鼠的实验中,表明替普瑞酮在许多组织如小肠,肝脏,肺,肾和心脏中可以诱导HSP。通过组织中NO合酶(NOS)形成的一氧化氮(NO),替普瑞酮可对粘液合成和大鼠胃粘膜内容物起到增加作用。通过共同给予N-N-甲基L-精氨酸,可使胃粘膜NOS活性和亚硝酸盐/硝酸盐浓度降低,替普瑞酮诱导胃粘膜氨基己糖水平使其增加而使粘液受到抑制。这些结果表示替普瑞酮在胃粘膜组织中通过NOS维持NO的产生,这可能增加对胃粘液的合成[4-5]。
综上所述,替普瑞酮对任何原因引起的胃溃疡均有明显的治疗作用,可治疗慢性胃炎、幽门螺杆菌相关性胃粘膜损伤、非甾体类抗炎药诱发的胃粘膜损伤等,替昔瑞酮不良反应轻微,药效良好,是一种有临床应用前景的药物[6]。
相关图片展示:







您可能感兴趣的文章
- 用于甲醇制烯烃反应的SAPO-34/ZSM-5复合催化剂的原位水热结晶合成外文翻译资料
- 硫化氢在活体的化学发光探针成像外文翻译资料
- 全色发射型ESIPT荧光团对某些酸及其共轭碱负离子识别的颜色变化外文翻译资料
- 一种用于成像神经元细胞和海马组织中NMDA受体附近内源性ONOO-的双光子荧光探针外文翻译资料
- 表面功能化的Ui0-66/pebax基超薄复合中控纤维气体分离膜外文翻译资料
- 金属有机框架中的可逆调节对本二酚/醌反应:固态固定化分子开关外文翻译资料
- 二维MXene薄片的尺寸相关物理和电化学性质外文翻译资料
- 将制甲烷的Co催化剂转化为产甲醇的In@Co催化剂外文翻译资料
- MXene分子筛膜用于高效气体分离外文翻译资料
- 模板导向合成具有排列通道和增强药物有效荷载的立方环糊精聚合物外文翻译资料


