微囊藻毒素厌氧降解菌的分离与初步鉴定毕业论文
2020-02-15 23:23:04
摘 要
近年来蓝藻爆发频发,导致微囊藻毒素(MCs)在水体中含量超标。生物降解作为主要降解途径,已经发现了近百种好氧降解菌,但没有分离厌氧降解菌的相关报道,研究表明水华发生时水体中常有厌氧环境,且已有研究证明存在厌氧降解MCs的微生物,故分离出厌氧降解微囊藻毒素的细菌就显得尤为重要。本文利用hungate厌氧技术,设计了新的培养基,验证了有机、无机培养基的培养能厌氧降解微囊藻毒素微生物的可行性,通过富集-分离-纯化初步筛选出可以降解藻毒素的几个可能的微生物,8天MCLR浓度从3.4 mg/L降解到0.9 mg/L,降解速率为0.3125·L-1·d-1,随后对其降解产物进行了分析,发现其产物色谱出峰时间与已知的好氧降解的产物均不相同,猜测该厌氧降解产物一种全新的物质,说明该混合菌株的降解途径可能与目前常见的降解途径不同。
关键词:微囊藻毒素;厌氧降解;细菌分离
Abstract
In recent years, cyanobacteria have been frequently erupted, resulting in excessive levels of microcystins (MCs) in water. Biodegradation as the main degradation pathway, nearly 100 kinds of aerobic degrading bacteria have been discovered, but there is no report on the separation of anaerobic degrading bacteria. Studies have shown that there are often anaerobic environments in the water body when water bloom occurs, and studies have shown that there is anaerobic Degrading microbes of MCs is particularly important for the isolation of bacteria that anaerobicly degrade microcystins. In this paper, hungate anaerobic technology was used to design a new medium, which verified the feasibility of anaerobic degradation of microcystin microorganisms by organic and inorganic medium culture. The enzymatic degradation of algal toxins was carried out by enrichment-separation-purification. Several possible microorganisms, the 8-day MCLR concentration degraded from 3.4 mg/L to 0.9 mg/L, and the degradation rate was 0.3125·L-1·d-1. Then the degradation products were analyzed and the product was chromatographed. The peak time is different from the known products of aerobic degradation. It is speculated that the anaerobic degradation product is a completely new substance, indicating that the degradation pathway of the mixed strain may be different from the current common degradation pathway.
Key words: microcystins; anaerobic degradation; bacterial isolation
目 录
第一章绪论 1
1.1微囊藻毒素简介 1
1.2微囊藻毒素的生物降解 2
1.3微囊藻毒素降解菌的分离方法 4
1.4微囊藻毒素生物降解机理 4
1.5微囊藻毒素生物降解影响因素 6
1.6研究意义 6
1.7研究内容 7
1.7.1 MCs厌氧降解菌的分离 7
1.7.2 MCs厌氧降解菌的降解产物测定 7
第二章 材料与方法 8
2.1实验材料 8
2.2实验试剂 8
2.3实验仪器 9
2.4实验方法 10
2.4.1厌氧环境 10
2.4.2铜柱除氧与还原 11
2.4.2无菌环境 12
2.4.3 MCLR的检测 13
2.4.4培养基可行性检测 13
2.4.5微生物富集 13
2.4.6转接培养 13
2.4.7滚管分离纯化 14
第三章 结果与讨论 14
3.1培养基可行性 15
3.2富集结果 16
3.3分离纯化结果 17
3.4产物分析 18
第四章 结论 22
参考文献 23
第一章绪论
近年来,由于水体富营养化和全球变暖,淡水系统中蓝藻的大规模正在全球范围内增加[1-3]。北美洲,南美洲,欧洲,非洲和亚洲中有30%-50%存在不同程度的富营养化[4]。而在我国,有近60%的湖泊水库呈富营养化状态[5],其中滇池[6]、太湖[7]、巢湖[8]的富营养化非常严重,由此产生的水体污染已成为我国水环境突出问题之一[5]。在中国较为常见的水华蓝藻有微囊藻、束丝藻、鱼腥藻、柱孢藻、节球藻、颤藻、念珠藻、和螺旋藻等[9]。蓝藻爆发的水体呈深绿色或黑色,散发出强烈异味,影响水体美观,破坏水生生态系统[10],并且会释放出多种微囊藻毒素[11, 12]。研究发现,80%的水华藻类能产生毒素,危害人体健康[13]。
1.1微囊藻毒素简介
微囊藻毒素(Microcystins,MCs)是一类出现频率最高 、产生量最大和造成危害最严重的藻毒素种类[14],微囊藻毒素通过包括念珠藻属(Nostoc)、颤藻属(Oscmatoria)、微囊藻属(Microcystins)和鱼腥藻属(Anabaena)在内的几种蓝藻属进行细胞内合成[15, 16],是一类具有生物活性的环状七肽物质[17],其结构如图1所示,为环D-丙氨酸-R1-赤-β-甲基-D-异天冬氨酸-R2-Adda-D-异谷氨酸-N-甲基脱氢丙氨酸,其中R1和R2表示高度可变的L-氨基酸,如今已经发现了超过100种的MC结构类似物[18],其中微囊藻毒素-LR(MCLR)是毒性最大、含量最多的一种,其次为微囊藻毒素-RR和微囊藻毒素-YR[19]。

图1微囊藻毒素的分子结构[14][20]
MCs严重毒害动植物,影响畜牧业和水产养殖业,并通过饮用水和食物链积累危害人类,引发过敏、肠胃炎甚至肝癌[21],研究表明MCLR是至今为止最强的肝肿瘤促进剂,是除二噁英外毒性最强的物质[22, 23],饮用含微量MCs水的居民发生原发性肝癌的比率要远高于饮用深井水的[24]。
且微囊藻毒素极易溶于水,无挥发性,耐酸碱,热稳定性好[25],煮沸30分钟仍有高毒性[26],目前自来水处理工艺无法将其完全去除[27]。目前物理方法中的膜技术,光催化,超声波和化学方法中的,氯化,臭氧化,和电解等[28-31] 方法因为在有害副产物形成,低效率,高投资和操作成本方面的限制,使这些方法无法广泛应用。因此,需要更可持续性的选择,以降低MCs在水中暴露的风险。
1.2微囊藻毒素的生物降解
目前MCs生物降解越来越具有吸引力,它已被证明是一种环境友好且成本低廉的去除方法[20, 32, 33],一系列研究证实,在自然水体如砂滤池,水库,河流和湖泊和沉积物中,MCs可以在土著生物的参与下逐渐降解[34-37], 到目前为止,已经发现来自不同生态系统的数十种降解MC的细菌菌株(如表1.1),表一中所有的菌株均为好氧降解菌,好氧生物降解曾被认为是MCs的主要自然降解机制,直到一些研究表明MCs可以在厌氧条件下以天然沉积物作为接种物更为快速的降解[38]。这一发现表明厌氧降解可能在MC的命运中扮演着更重要的角色,随后也有研究表明湖泊沉积物中的细菌群落从水体中去除溶解的MCs的潜力很高[39-44]此外,厌氧条件对于通过污泥[45]和生物膜[46]中的细菌群体从水中去除MC是有效的。可用于浸没式人工湿地,土地处理系统和生物砂滤器中[47]。目前发现的能厌氧降解MC的菌种有李祝在2005年发现的降解菌D7-1,为兼性厌氧菌,属于变形菌门的肠杆菌[48],另外就是陈晓国于2009年发现的4W20,为兼性厌氧菌,属于水拉恩氏菌属和2012年在滇池发现的CJ5,属于厚壁菌门的氨基酸杆菌[49]。
在蓝藻爆发时,死亡的蓝藻会沉入水中并发生裂解,释放藻毒素,因此MCs更容易暴露于缺氧条件[50],且特别是在夏季时,沉积物 - 水界面处的微生物很可能同时暴露于厌氧环境,加上水下有机物质的分解会消耗氧气,促使环境变得更加缺氧[51]故对于MCs的厌氧降解过程的研究就显得尤其重要,MC厌氧降解菌的分离是进行厌氧降解机理研究的前提。也有利于研究厌氧降解的特性和微囊藻毒素的归趋问题,为拓展MCs的降解途径提供新的思路,故MCs的分离可以厌氧降解微囊藻毒素的单菌落是非常重要且紧急的。
表1.1目前发现的MC降解菌株[14]





续表1 目前发现的MC降解菌株[14]


1.3微囊藻毒素降解菌的分离方法
自1994年jones首次分离出微囊藻毒素降解菌后[52],国内外对于微囊藻毒素微生物分离研究开始增多。各个方向的研究结果渐渐出现。在MCs降解菌的筛选方法上,目前国内外比较常用的方法是提取水华爆发的水体或者沉积物,以微囊藻毒素作为微生物生长的唯一碳源和氮源,培养基富集培养后,挑取单菌落[53],但是也有不少学者另辟蹊径,也成功筛选出了微囊藻毒素降解菌。
有的学者在菌种分离源上进行了改变,分别有①采用蓝藻脱水压滤液、太湖流域食藻性白鲢鱼肠组织液、黄化铜绿微囊藻液为菌种分离源[54]。②在微囊藻毒素的基础上额外添加碳源、氮源[55]或仅以微囊藻毒素作为唯一碳源[43, 56]③采用多种微囊藻毒素的异构体混合作为分离源等方法[57, 58]。
有的学者在微生物来源上进行了改变,分别有利用①水华腐烂蓝藻[59]②饮用水生物滤池[43]③蓝藻堆积点底泥[60]④污水处理厂中的活性污泥[61]⑤水体周围植物下底泥[62]⑥森林土壤[63]⑦鱼内脏中的微生物[64]等方法。
这些新的方法为之后微囊藻毒素的筛选工作提供了新的思路,新的菌种来源也往往意味着不同的降解途径,为研究出新的降解机理打下了基础。
1.4微囊藻毒素生物降解机理
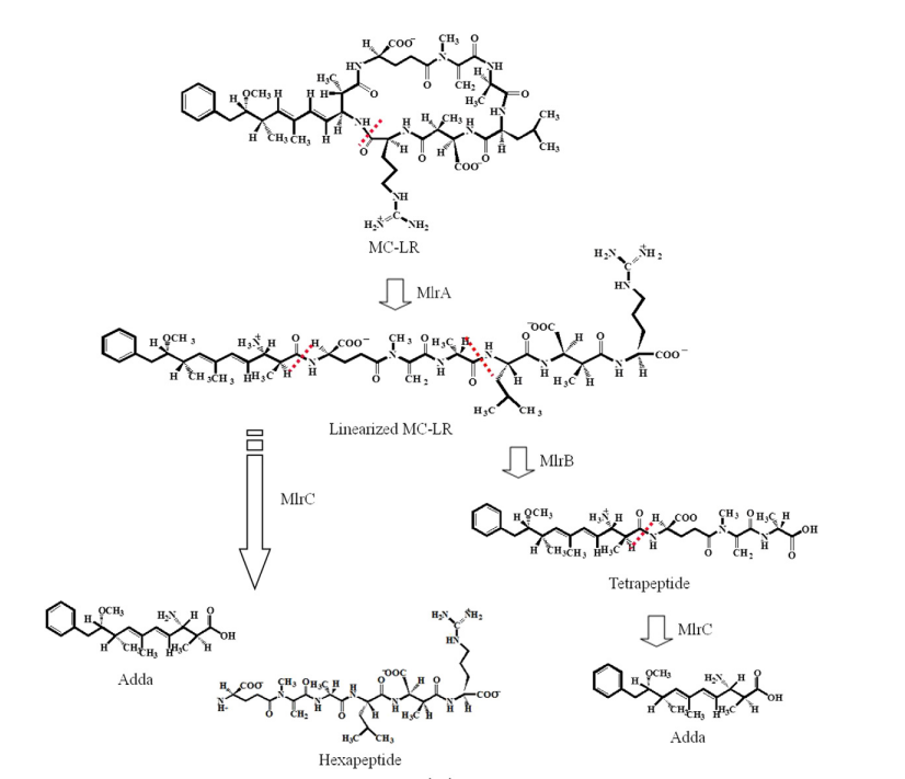
研究发现,MCs在结构上对常见的酶具有稳定性,目前MC降解只能通过几个特定的酶和酶促途径实现[65],其中最常见的降解途径是由4个mlr基因组成的基因簇表达的,其基因被命名为mlrA,mlrB,mlrC,mlrD基因,在基因簇中的顺序为mlrC,A,D和B(如图1.2)。其中mlrA和mlrD在正向转录,而mlrC和mlrB在反向转录。
它的降解途径如图1.3,由mlrA基因编码的第一种酶可以在Adda - Arg键处水解环状MCLR。使其变为线性:NH2-Adda(5)-Glu(6)-Mdha(7)-Ala(1)-Leu(2)-MeAsp(3)-Arg(4)-OH,MW = 999。接下来,线性化的MCLR被mlrB基因编码的第二种酶在Ala - Leu键处水解,产生四肽:NH2-Adda(5)-Glu(6)-Mdha(7)-Ala(1) -OH,MW = 601,随后可被mlrC切割成较小的肽片段Adda和氨基酸,此外mlrC还具有对线性MCLR的催化活性,mlrD基因被认为编码转运蛋白,负责将MC和降解产物吸收到细菌细胞中。

图1.2 mlr基因簇[66]

图1.3 MCLR降解途径[14, 67]
1.5微囊藻毒素生物降解影响因素
微囊藻毒素降解速率受多种环境因素的影响。首先是温度,大多数研究测试了在4到40摄氏度的温度下细菌MC降解情况,对于好氧和厌氧的降解过程,大量研究一致认为有效降解的最佳范围在25℃左右[68-71],当温度低于15°C时,由于在低温抑制了降解酶的活性,降解速度会下降很快[72, 73]。
对PH这一影响因素的研究显示,最适宜的PH为7,当环境PH呈酸性时,由于细胞活性成分被抑制,营养摄取和代谢被影响,使得微生物的活性和降解速率都会快速下降[61, 74]。有几种耐碱好氧细菌在碱性条件也能有效降解MC,但他们也是在PH=7时降解最好[74, 75]。但有的厌氧细菌具有亲碱性,在pH值为9时具有很高的降解效力,与中性条件下的效力相当甚至更好[33, 38]。说明厌氧降解酶可能比有氧酶有更好的pH适应性。并且观察到在降解期间,大多数溶液中的pH会升高[76],因此耐碱厌氧菌可能具有更强的适应性,在MC去污中或许能发挥更大的作用。
对于外加碳源对降解的影响目前还没有一个统一的结论,目前既观察到了促进降解的现象[50],也观察到了抑制现象[77],部分细菌既不促进也不抑制[33, 78]。推测葡萄糖和醋酸盐等碳源可以通过提供必需的营养素来刺激细菌代谢活动,但存在微生物有限摄入碳源的情况[35, 50, 79],且葡萄糖代谢产物(如有机酸)可通过降低pH和降解影响降低细菌活力[45, 80]。
硝酸盐和高浓度氨氮对降解的影响和碳源一样,不同的研究得出的结论都不同,而低浓度氨氮对降解没有影响,金属离子如Zn2 [81]会对降解产生促进作用,而Mn2 会对降解产生抑制作用。较高的溶解氧对于好氧微生物一般都是促进作用[50],不同生境间MCs生物降解率存在较大差异,在水华频繁发生的生境中降解速度较快,而在没有微囊藻毒素暴露史的生境中降解速度较慢,且存在滞后期[82, 83],并且MCs和降解产物(线性MCs,四肽,Adda)可以诱导mlr基因表达[76],所以在富集培养时,应让微生物预先暴露于MCs,可缩短或消除滞后期[35]。
1.6研究意义
微囊藻毒素是一种致畸,致癌的肝毒素,其中的MC-LR更是在我国频频出现,它产生于水体,而水是人的生命之源,故MCs严重威胁着人类的身体健康。水体中MC的污染已经成为我国突出的环境问题之一,因此,研究水体中微囊藻毒素的去除途径非常重要。
目前去除微囊藻毒素的方法有物理法,化学法和生物法,其中生物法最为经济安全,对环境的影响也最小,是目前值得深入研究的方向。
与好氧生物降解不同,缺氧和厌氧降解不被重视,对MC的厌氧降解过程少有报道,然而近几年的研究发现了MC能在厌氧条件下被微生物降解,由于水环境尤其是富营养化水体的沉积物中普遍存在着间歇性的厌氧环境,加上蓝藻爆发时,底层及沉积物中的藻毒素不易被光降解,使得处于厌氧环境中的藻毒素含量非常高,但如今成功分离厌氧降解的微生物寥若晨星,对其降解途径几乎一无所知,分离研究微生物不仅有利于了解其降解机理和毒素在环境中的归趋,也为利生物手段控制水污染奠定了理论基础,对降低水体藻毒素浓度,保障饮用水安全,降低其对人类与生态环境的危害等有重大作用。
1.7研究内容
1.7.1 MCs厌氧降解菌的分离
采用hungate厌氧技术,使用2018年5月采集的滇池沉积物,用微囊藻毒素作为微生物生长的唯一碳源和氮源富集微囊藻毒素厌氧降解菌。之后进行分离纯化。
您可能感兴趣的文章
- 用于污染沉积物原位修复的新型活性炭基材料外文翻译资料
- 碳氢化合物储存活动对土壤污染的初步评估:主要场地调查选择外文翻译资料
- 以玉米秸秆为基础的生物质材料为修复石油碳氢化 合物污染土壤的洗涤废水的再生外文翻译资料
- 生物测定知道的长三角工业废水处理厂污泥和相关再利用材料中读毒物的鉴定外文翻译资料
- 循环经济中低排放生态工业园区概念设计的模型框架:以藻类为中心商业联盟为例外文翻译资料
- VOCs废气治理工艺评价指标体系及应用研究外文翻译资料
- 生态工业碳代谢的生态网络分析外文翻译资料
- 基于生态适宜性分析的武汉市土地利用规划环境影响评价外文翻译资料
- 企业环境评价的组合方法与多准则分析综述外文翻译资料
- 生物质炭对森林土壤微生物生长代谢的影响任务书


