磁性螯合剂的制备及其对铀去除效果的研究开题报告
2020-04-13 15:20:55
1. 研究目的与意义(文献综述)
1.1.研究背景
1.1.1铀资源的概况
铀是一种能源资源,也是一种战略资源。对国民经济、核电事业以及国防工业的发展具有重要作用。根 据 WISE (World Information Service on Energy)的统计资料显示,截止到2012年的世界总查明的铀资源如下:
| 铀回收成本(美元/kg) | ≦130 | ≦80 | ≦40 | ≦260 |
| 吨数(万t) | 532.72 | 307.85 | 68.09 | 709.66 |
世界上有49个国家合计资源量达653.80万t铀 ,占世界铀资源总量的 92.12%。 剩余其他国家的铀资源储量相对较少,合计为55.86万t,占世界铀资源总量的7.88%。而我国的铀资源量仅占世界的2.34% ,仍需要加大勘查力度,寻找更多的可利用铀资源[1]。
海水中有超过40亿吨的铀资源,比陆地储存量高近千倍[2]。并且铀在海水中多以络合离子形式存在,存在形式多样,如[UO2(CO3)3]4-、[UO(OH)3]-、[UO2(CO3)2]2-等,但在海水环境中(pH≈8.3)下,最主要以[UO2(CO3)3]4-高度稳定存在。而U(Ⅵ)在海水中的浓度远远小于Na、K、Mg、Ca等其他金属离子,浓度仅为3.3μg/L[3]。
1.1.2铀污染及其危害
铀 ,化学符号 U,为周期表 ⅢB族锕系放射性化学元素 ,原子序数 92。未经有效处理的含铀废水会给环境和人类健康带来危害,其危害主要来自辐射和化学毒性。
(一)化学毒性
铀原子量为 238.03,为自然界中最重的元素,与铅、汞、砷等金属类似,有重金属毒性。能够使蛋白质的结构发生不可逆的改变,从而影响组织细胞功能,进而影响人体健康。
(二)辐射
天然铀由 U 238 、U 235 和U 234 三种同位素构成,均有放射性,可破坏动植物和人的组织细胞。铀辐射对人体的影响可分为内照射和外照射两种。铀的外照射危害主要来自衰变中产生的β与γ射线对皮肤照射造成的损伤。相比于外辐射,内辐射的损害更为严重。内照射危害主要来自铀放出的α射线。由于误食或吸入放射性含铀物质,进入人体后会在体内形成内照射,其致癌作用比致癌性重金属铅和镍还要强。
含铀的物质可通过皮肤、呼吸道、消化道等途径进入人体。铀的半衰期很长,相对于人的寿命而言,其影响可以说是永久性的。铀对人体的危害主要表现在以下几个方面:
1. 铀对肺和消化道的作用。呼吸道和消化道是铀污染人体的主要途径。铀矿尘可以使肺泡巨噬细胞耗氧量降低,吞噬功能受抑制,细胞变性死亡较纯SiO2引起的严重。肺部发生恶性肿瘤的危险性与剂量无直接关系,而与剂量率(单位时间吸收的放射剂量)成正比。难溶性铀一般不被被肠上皮细胞吸收,组织上也没有病理学改变。
2. 铀的肾毒性。肾脏是铀中毒的主要靶器官,也是受铀化学毒性伤害最大的器官。铀在肾脏中的沉积主要是因为肾小管细胞中的溶酶体含有高浓度磷醋酶,对铀有较强的结合能力。急性铀中毒可引起肾功能紊乱甚至肾衰竭。
3. 铀对中枢神经系统的影响。内照射核素引起神经元或神经胶质细胞在有丝分裂及其分裂后未成熟时死亡 ,或直接杀死两者的前体细胞;破坏细胞迁移 ,或杀死负责引导神经元迁移的神经胶质细胞;引起神经元连接发育障碍, 损伤神经元连接能力;引起树突分枝定向障碍,或单个大脑皮层神经元树突及树突棘数量减少;加速脑发育细胞凋亡。
4. 铀对免疫 、造血和生殖系统的影响。成熟的淋巴细胞是对辐射最敏感的细胞。B 淋巴细胞比 T 淋巴细胞对辐射更敏感 ,超微结构被破坏的发生率也更高 。235 U被淋巴细胞吞噬后, 在细胞内以吞噬小泡的形式弥散于胞浆和细胞核内。
5. 对骨骼的影响。进入人体的铀之所以主要沉积在骨头上,要归功于铀与骨骼中无机相的相互作用。骨骼中无机相成分的为磷酸根,铀可以与磷酸根离子络合,造成原来与磷酸根离子结合的钠离子的流失[4]。
1.1.3国内外研究现状分析
核燃料循环过程中产生的放射性废液的显著特点是浓度低、体积大,海水中铀的总量虽然可观,但海水中铀的浓度同样非常低(约 3.3μg/L)。因此无论是从环境保护还是从能源安全的角度,对水体中的铀进行有效分离富集都具有很重要的现实意义。铀的分离富集方法较多,主要包括溶剂萃取法、泡沬浮选法、液膜富集法蒸发浓缩法、沉淀法和吸附法等,各种方法均有自身的优缺点。其中,基于偕胺肟基聚合物的吸附法是非常具有工业发展前景的方法之一,是目前主要的研究热点。
Feihong Wang等研究了氧化石墨烯/偕胺肟基水凝胶对铀的吸附性,发现相比于Na、K、Mg、Ca等其他金属离子对铀的选择性较高,氧化石墨烯比表面积大,石墨烯与偕胺肟基以氢键的形式结合以及酸碱型的静电力结合,对于溶液中ppb级和ppm级的铀都有着高效的去除率。在2000ml/g的U(Ⅵ)溶液60min内去除90%,吸附容量为398.41mg/g[5]。
邱燕芳研究了共价功能化石墨烯对铀(Ⅵ)的吸附性能。通过共价功能化制备磺酸化石墨烯(SGO)、磷酸化石墨烯(PGO-1 和 PGO-2)和肟化石墨烯(AOGO)。实验得到SGO 对铀(VI)的选择性优于 GO,功能化后最大吸附量由249.38 mg/g
提高至 319.49 mg/g;制备得到的两种磷酸化石墨烯(PGO-1 和PGO-2)最大吸附量分别可达 336.70 mg/g和396.83 mg/g;重氮化反应成功制备得肟化石墨烯(AOGO)最大吸附量可达495.05mg/g[6]。
赵英国合成偕胺肟基纳米材料并对铀做了吸附性研究。合成偕胺肟修饰磁性石墨烯(AOMGO)复合材料,在pH=5.0±0.1,T=298K时,理论最大吸附量达到1.197mmol/g;合成偕胺肟修饰二氧化硅包覆的四氧化三铁微球(Fe3O4@SiO2-AO)复合材料,在pH=5.0±0.1,T=298K时,理论最大吸附量达到0.441mmol/g;合成偕胺肟功能化的磁性介孔二氧化硅,,在pH=5.0±0.1,T=298K时,MMS-AO理论最大吸附量达到1.165mmol/g[7]。
贾继云等 用沉淀法制备了磁粒10~20nm的Fe3O4磁流体,考察了该磁磁流体对铀(VI)吸附的各种影响因素,结果表明:在纳米磁流体浓度为 2.5 g/L、温度 35℃、pH = 3、吸附时间 t =30 min的条件下,对3×10-4mol/L 铀的吸附萃取率可达到84.15%[8]。
胡建邦等利用化学共沉淀法制备四氧化三铁磁性纳米粒子,依次用正硅酸乙酯(TEOS)和 3-氨丙基三乙氧基硅烷(APTES)进行表面修饰,制备了表面氨基化改性的 Fe3O4/SiO2复合粒子;粒径在500 nm,对水溶液中铀(VI)的最佳吸附条件为:吸附温度35℃,吸附时间30 min,pH 为 4.5,复合材料用量为 0.1 g,在此条件下,对铀酰离子的平衡吸附率为98%[9]。
熊洁研宄不同辅助基团的偕胺肟基功能材料吸附铀性能差异,明确了羧基在偕胺肟基功能材料上对铀的吸附不是简单的辅助作用,提出羧基与偕胺肟基按一定比例共存的前提下,参与到铀的配位吸附中。首次提出海水pH≈8范围,铀与羧基、偕胺肟基作用的五配位形式U-AO2CO。并对羧基/偕胺肟基功能材料吸铀模型进行简化处理,首次提出以丙烯晴和甲基丙烯酸为单体制备的羧基/偕胺肟基功能材料对铀酰离子的最高吸附容量在181.7-272.6mg/g[10]。
表1、表2[11]。

1.1.4偕胺肟对铀的吸附机理
偕胺肟官能团因同时含有两基与氨基而得名。其中的肟基氧原子与氨基氮原
子都含有未成键的孤对电子,可以与铀酰离子发生配位作用形成五元环螯合物。因此,在众多有机官能团中,偕胺两官能团由于对铀有很强的络合能力,被广泛
用于修饰无机纳米材料与高分子聚合物,以提高被修饰材料对铀的吸附量与吸附
选择性。
(一)对铀的吸附机理
偕胺肟官能团一般是通过羟胺还原氰基所得,如图所示:
图2 偕胺肟官能团合成示意图
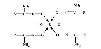
铀酰离子呈线性结构,可以在与轴线垂直的平面内接受配体的孤对电子形成配位键。对于偕胺肟官能团,由于肟基氧原子与氨基氮原子都含有未成键的孤对电子,最终与形成的络合物具备什么样的结构,目前还没有确定的结论。Zhang [12]等得出的结论为在弱酸性条件下(pH值介于4到6之间),偕胺肟官能团对铀有较强的络合能力,且形成的络合物类型为1:2型,其结构如图3所示。
图3 铀与偕胺肟官能团形成的1:2型络合物结构图
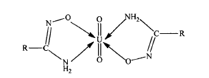
Das[13]因实验结果中复合材料中偕胺肟官能团的浓度为7.8mmol/g,而铀的饱和吸附量为1.6mmol/g,因此推测铀与偕胺肟官能团形成的是1:4型的络合物,结构如图4所示。
图4 铀与偕胺肟官能团形成的1:4型络合物结构图
1.2目的及意义
本项目采用磁性纳米材料为载体,并用新型有机螯合物加以表面修饰,制备螯合型纳米磁性物质吸附水中核素铀。此磁性物质经由偕胺肟基修饰后对铀具有高选择性且吸附效率高,可与废水中的铀酰离子迅速反应,生成稳定的非水溶性络合物并附在磁性物质表面,对于含铀废水的处理有良好的效果。在吸附完成后还可以利用产物的超顺磁性,通过外加磁场的定向控制回收磁性粒子。既能有效降低废水中铀的浓度,无二次污染,还可以让材料循环利用,达到绿色环保目的。
2. 研究的基本内容与方案
2.1研究的基本内容
(1)纳米磁性物质的合成
研究现有常见的磁性物质,比较其参与化学反应时的价态稳定性以及它们的结构,选择一种易于得到,易于合成为纳米粒子,易于与有机螯合剂反应结合的,无污染的磁性物质。
3. 研究计划与安排
3.25 提交开题报告
3.26-4.1 完成英文翻译文献、整理出完整的实验方案
4.1-4.15 实验室合成、模拟吸附
4. 参考文献(12篇以上)
[1]wise(world information service on energy).世界查明铀资源分布[db/ol].
http∥wwwwise‐uraniumorg/umaps.html.
[2] nea,iaea,uranium 2014:resources,production and demand[m].paris:iaea-oecd/nea,2014
您可能感兴趣的文章
- 用于污染沉积物原位修复的新型活性炭基材料外文翻译资料
- 碳氢化合物储存活动对土壤污染的初步评估:主要场地调查选择外文翻译资料
- 以玉米秸秆为基础的生物质材料为修复石油碳氢化 合物污染土壤的洗涤废水的再生外文翻译资料
- 生物测定知道的长三角工业废水处理厂污泥和相关再利用材料中读毒物的鉴定外文翻译资料
- 循环经济中低排放生态工业园区概念设计的模型框架:以藻类为中心商业联盟为例外文翻译资料
- VOCs废气治理工艺评价指标体系及应用研究外文翻译资料
- 生态工业碳代谢的生态网络分析外文翻译资料
- 基于生态适宜性分析的武汉市土地利用规划环境影响评价外文翻译资料
- 企业环境评价的组合方法与多准则分析综述外文翻译资料
- 生物质炭对森林土壤微生物生长代谢的影响任务书


