电子产品质量危机的补救措施对顾客购后行为的影响研究——基于解释水平理论视角毕业论文
2020-04-07 14:08:39
摘 要
产品质量危机是企业生产的产品在使用过程中出现的安全性事故,多由于激进创新(Note7等)、粗制滥造(三鹿奶粉等)引起。后者可由强有力的监管措施规避,而前者难以预料及防范。在市场经营活动中,电子产品作为前者的代表,产品质量危机事件(如Note 7 手机爆炸、iPhone 6 电池事件、Dell笔记本电脑过热起火等)屡见不鲜,犹如埋藏已久的地雷,企业难以逾越。大量实践经验表明产品质量危机一旦出现,企业忙于补救而效果欠佳,最终导致产品及品牌的损失。在产品质量危机成为电子行业系统性风险背景下,企业如何补救方可行之有效亟待研究。
本文引入解释水平理论(CLT)与认知匹配理论(Cognitive Fit Theory)至产品质量危机事件的研究中,以心理距离的视角阐释企业补救措施的课题。解释水平理论认为近端(远端)事件诱导主体产生低级(高级)的解释水平;同时根据认知匹配理论认为若事件距离的远近与解释水平的高低相吻合,将使主体产生流畅型的信息加工,促使主体做出正面积极的决策(即谅解企业,重购产品等)。依据理论解释,文章以黑匣子(black box)的心理实验方式,模拟现实生活中的产品召回事件,探究单维度及双维度心理距离的条件下,不同解释水平的补救措施如何影响消费者的购后行为。
文章共六个实验,三十二类情景的实证研究发现:(1)心理距离对消费者购后行为主效应显著。具体表现为主体对时间距离的感知状况显著改变重复购买意愿;主体对空间距离的感知状况显著改变产品的口碑评价状况;主体对社会距离的感知状况则显著改变重复购买及口碑评价的满意状况。(2)解释水平对消费者的部分购后行为主效应显著。主体对补救措施解释水平的感知状况可以显著影响同一时间距离感知的消费者口碑评价满意状况;显著影响同一空间距离及社会距离感知的消费者重复购买满意状况。(3)一维度的心理距离与解释水平具有高度的认知/匹配关系。具体来说时间距离的远(近)匹配高(低)水平的补救措施能显著影响消费者的重购意愿及口碑评价,且匹配的效果为积极正面。(4)由于社会距离的主效应显著,双维度的心理距离与解释水平的认知/匹配效果并不良好。
本文的研究,在理论上拓展了解释水平理论的应用范围,并拓展其在消费者行为学研究的深度;在实践上,有助于提升企业补救措施的有效性,促使其进一步完善风险管理,降低创新风险。
关键词:解释水平理论;认知匹配理论;心理距离;产品质量危机;补救措施
Abstract
The product quality crisis is a security incident that occurs during the use of products produced by enterprises. It is caused by radical innovations (Note7, etc.) and shoddy production (Sanlu milk powder, etc.). The latter can be circumvented by a strong regulatory system, while the former is difficult to predict and prevent. Electronic products are the representative of the former. In the market operations, product quality crisis events (such as the Note 7 mobile phone explosion, iPhone 6 battery incident, Dell laptop computer overheating, etc.) are not uncommon. It is like a long-buried landmine that companies can hardly exceed. A lot of practical experience shows that once the product quality crisis has emerged, the company is remedial and has poor results, casting a shadow over products and brands. Under the background of the product quality crisis becoming a systemic risk in the electronics industry, how companies can remedy the viability of their work becomes an urgent need for research.
This article will explain the theory of horizontal theory (CLT) and cognitive fit theory (Cognitive Fit Theory) in the study of product quality crisis events, and explain the issue of corporate remediation measures from the perspective of psychological distance. Interpretation level theory believes that near-end (far-end) events produce lower-level (advanced) interpretation levels than inducing subjects; according to this, cognitive-matching theory believes that event distances are consistent with the level of interpretation, which will enable the subject to complete fluent information processing. Make the subject make positive decisions. According to the theoretical explanation, the article simulates the recall events in real life in a black box psychological experiment, and explores the remedial measures of different construction levels for the consumer's post-purchase behavior under the single-dimension and two-dimensional psychological distance conditions. influences.
After six experiments and thirty-two empirical scenarios, this study found that: (1) The main effect of psychological distance on consumers' purchase behavior is significant. The specific manifestation is that subject's perception of time distance significantly changes the willingness to repeat purchases; subject's perception of spatial distance significantly changes the satisfaction of word-of-mouth evaluation; subject’s perception of social distance significantly changes the satisfaction status of repeated purchases and word-of-mouth evaluations. (2) The level of interpretation has a major effect on some of the consumer's post-purchase behavior. The subject's perception of the level of interpretation of the remedial measures can significantly affect the perceived satisfaction of the consumer word-of-mouth evaluation at the same time; significantly affect the consumers' repeated purchase satisfaction with the same spatial distance and social distance perception. (3) The one-dimensional psychological distance and interpretation level have a high cognitive/matching relationship. Specifically, the far (near) matching of the temporal distance to the high (low) level of remedial measures can significantly affect the consumer's repurchase intention and word-of-mouth evaluation, and the matching effect is positive. (4) Due to the significant main effect of social distance, the cognitive/matching effect of the two-dimensional psychological distance and interpretation level is not good. The research in this paper expands theoretically the scope of application of the explanation level theory and expands its depth in consumer behavior research. In practice, it helps to promote the effectiveness of corporate remedial measures, further improve risk management, and reduce innovation cost .
Key words: explanation level theory; cognitive matching theory; psychological distance
目 录
摘 要 I
Abstract II
第1章 研究绪论 1
1.1 研究背景和意义 1
1.1.1 研究背景 1
1.1.2 国内外研究现状 1
1.1.3 研究目的和意义 3
1.2 研究内容与方法 4
1.2.1 研究内容 4
1.2.2 研究方法 5
1.3 技术路线 6
第2章 概念明晰与理论模型 7
2.1 概念厘定 7
2.1.1 产品质量危机与补救措施 7
2.1.2 购后行为 8
2.2 理论明晰 9
2.2.1 解释水平理论 9
2.2.2 心理距离 11
2.2.3 认知匹配理论 13
2.3 理论模型 14
2.3.1 心理距离的维度 14
2.3.2 购后行为的维度 14
2.3.3 理论模型图 15
第3章 实证研究设计 16
3.1 实验假设 16
3.1.1 单维度假设 16
3.1.2 双维度假设 17
3.2 被试者及产品的选择 19
3.2.1 被试者 19
3.2.2 试验产品选择及解释水平界定 19
3.3 实验变量 20
3.3.1时间距离 20
3.3.2 空间距离 21
3.3.3 社会距离 22
3.3.4 解释水平 22
3.3.5 购后行为 23
3.3.6 测量变量汇总 24
3.4 试验情景 25
第4章 单维度心理距离试验 27
4.1 实验一:时间距离的购后行为影响研究 27
4.1.1 实验目的 27
4.1.2 实验设计 27
4.1.3 实验流程 28
4.1.4 数据分析 29
4.1.4 讨论 33
4.2 实验二:空间距离的购后行为影响研究 34
4.2.1 实验目的 34
4.2.2 实验设计 34
4.2.3 实验流程 35
4.2.4 数据分析 36
4.2.4 讨论 40
4.3 实验三:社会距离的购后行为影响研究 41
4.3.1 实验目的 41
4.3.2 实验设计 41
4.3.3 实验流程 42
4.3.4 数据分析 43
4.3.5 讨论 47
第5章 双维度心理距离试验 48
5.1 实验一:时间距离及空间距离对购后行为影响研究 48
5.1.1 实验目的 48
5.1.2 实验设计 48
5.1.3 实验流程 49
5.1.4 数据分析 50
5.1.5 讨论 54
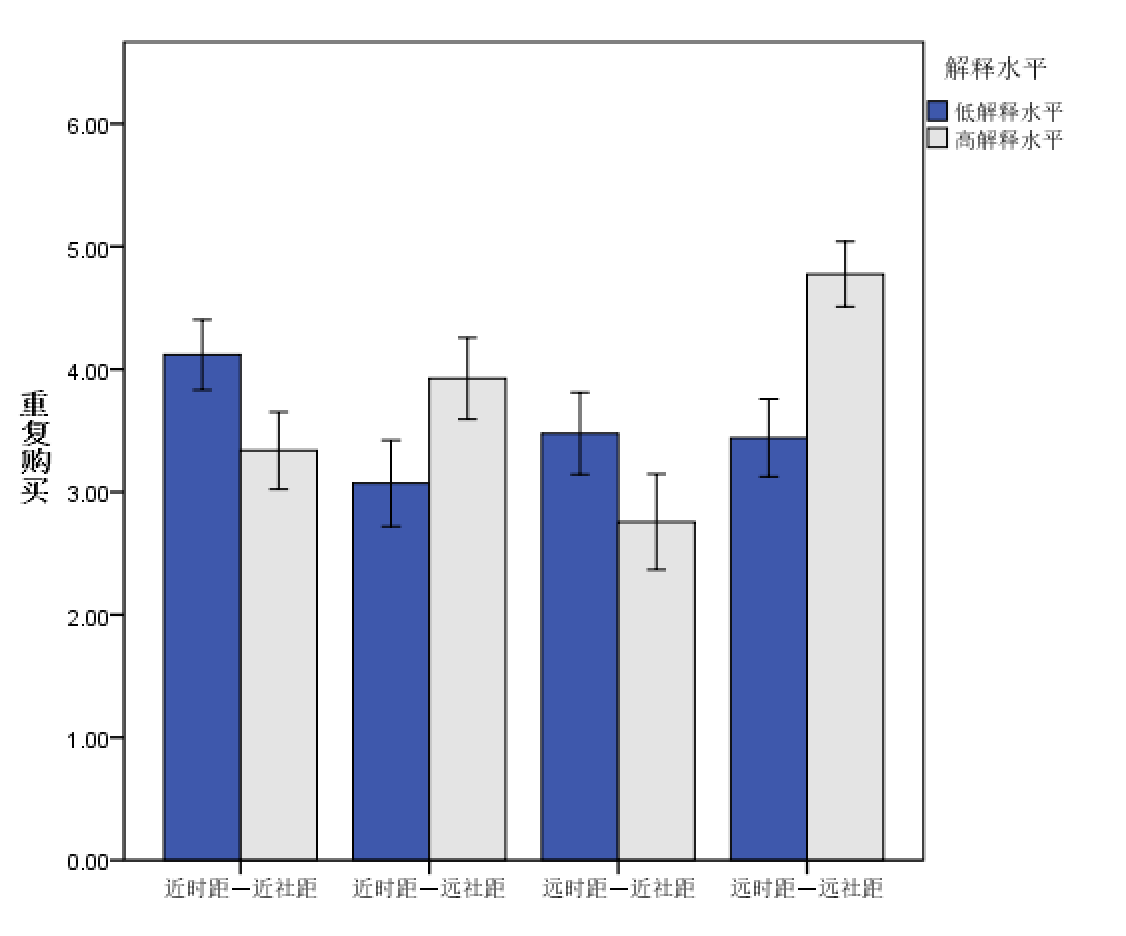
5.2 实验二:时间距离及社会距离对购后行为影响研究 55
5.2.1 实验目的 55
5.2.2 实验设计 55
5.2.3 实验流程 56
5.2.4 数据分析 57
5.2.5 讨论 61
5.3 实验三:空间距离及社会距离对购后行为影响研究 62
5.3.1 实验目的 62
5.3.2 实验设计 62
5.3.3 实验流程 63
5.3.4 数据分析 64
5.3.5 讨论 68
第6章 结论与展望 69
6.1 研究结论 69
6.2 研究局限 71
6.3 研究展望 71
致 谢 72
参考文献 73
附录A: 问卷调研(单时间距离为例) 76
第1章 研究绪论
1.1 研究背景和意义
1.1.1 研究背景
第三次科技革命使人类迎来了信息时代,作为信息媒介载体的电子产品,也随之成为了人们日常生活中的必需品。据美国消费技术协会的报告显示,2017年全球消费电子支出为9,290亿美元,总销量为61.87亿台 [1]。庞大的市场体量致使电子产品的社会关注度高,相较其他产品而言,电子产品质量危机事件更易造成个体、行业及社会的恐慌,引发市场波动。
就其产品而言,电子产品具有精密度高、交叉性强、工业生产等特点,故而电子产品质量的故障发生率高、影响受众广。在现实的企业经营活动中,产品质量危机一旦出现,企业往往“疲于奔命”,耗费大量钱财、精力所进行的补救措施却呈现抱薪扑火与釜底抽薪的二元极端局面,结果造成企业的巨大损失——轻则饱受质疑、信誉受损;重则品牌破产,企业破产。前有Apple Inc.的“电池及降频门”所引发的舆情危机;后有三星电子集团Note7产品的“爆炸门”引发的数十亿美元的经济损失,集团信誉更是无可挽回。
面对严重的产品质量危机事件,企业并非麻木不仁、“俯首就擒”,相反大多数企业采取了相应措施,而结果却不尽人意,甚至局面朝着相反方向发展,出现了负面舆情急剧增长的恶性状况。那么一切现象是如何形成的,这成为实践界亟待关注的课题。
就消费者的决策行为而言,电子产品精密复杂的特性提升了购买决策的信息成本,反映在购买决策中即是消费者倾向于重复购买,而非“全新购买”。随着电子消费市场的饱和,由潜在顾客所占的利润收支比例不断下降,而现有顾客的比例不断提升,如何在维持现有顾客的消费成为企业面临的头号难题。
信息网络技术迅猛发展,消费者口耳相传而不再满足企业单方面说辞,而是倾向于以口碑方式影响他人、改变市场,口碑传播的影响力日益扩大。对于企业来说,只有破解消费者在产品危机事件下的“黑箱”秘密,才可以对阵下药以补救失误,防止损失扩大,甚至扩大市场份额。
1.1.2 国内外研究现状
消费者行为学的研究依赖心理学理论的发展,认知心理学中的解释水平理论及心理距离理论的日益成熟为学者研究提供良好基础。
(1) 产品质量危机补救措施与顾客购后行为的理论维度
国内外关于产品质量危机补救措施的研究最先集中于服务行业,而后拓展到一般产品。诸学者从补救措施的两个维度(心理补偿、物质补偿)出发,探究了企业的补救措施,如道歉、物质赔偿、补救主动性、紧急修复、跟进、解释原因、授权等(Bell,1987;Hart,1990;Boshoff,1999等) [2]。
但现有文献,以产品质量危机补救行为对消费者购买决策为研究对象的论文多集中于消费者购买意愿、品牌资产、企业形象等维度,强调产品质量危机补救措施对潜在消费者及品牌资产的影响,而针对现有顾客购后行为的研究为数不多。
(2) 解释水平理论同消费者购后行为的应用
近五年来,社会认知心理学领域——解释水平理论被广泛运用于消费者购买决策之中,大量的实证研究表征了时间距离、空间距离、社会距离及概率对消费者购买意愿的影响,同时探讨了心理距离各维度交互作用是否显著影响消费者购买意愿(王丽荣,2014;杜承,2015;李纯,2015等) [3],但鲜有将解释水平理论运用于购后行为行为的影响研究。由于消费者远期关注与近期关注的水平维度的不同,可能导致购后心理出现偏差,产生情绪波动,进而促成购后行为。只有清楚消费者购后行为的心理影响因素,企业才可“对症下药”,采取各种补救措施以避免在产品质量危机情况下消费者采取激进的购后行为。
本研究基于电子产品质量危机事件,按照认知匹配理论模型,构建补救措施、解释水平、购后行为的概念理论模型,探究电子产品质量危机中企业补救措施对消费者购后行为的影响机制,为企业开展有效的补救措施提供建议,也为消费者购后行为的心理机制提供一定的参考。
1.1.2 研究目的和意义
(1)研究目的
以上是毕业论文大纲或资料介绍,该课题完整毕业论文、开题报告、任务书、程序设计、图纸设计等资料请添加微信获取,微信号:bysjorg。
相关图片展示:








        
            
