GOPMO复合材料的电化学性能研究毕业论文
2020-06-16 20:36:42
摘 要
石墨烯物质不溶于水的特性导致其在液相中无法得到有效的应用。而氧化石墨烯就很好的克服了这个问题。氧化石墨烯因其具有优越的导电性,被看作为良好复合材料。将其与超级电容器中的单一电极材料复合的时候,可以显著增进电容器的比电容。碳材料电极电容器拥有良好的导电性和相对低廉的成本,使其广受研究人员关注。
本文采用改进的Hummers法,分别制备石墨烯成品与氧化石墨烯、氧化石墨烯磷钼酸复合材料。并进一步将氧化石墨烯在饱和磷钼酸溶液中进行长时间的浸泡并且将他们表征。之后再通过X-射线衍射法(XRD)、红外光谱分析等表征以及循环伏安法电化学测试,在实验结果显示,氧化石墨烯磷钼酸复合材料有良好的电化学性质。
关键词:氧化石墨烯 磷钼酸 氧化石墨烯磷钼酸复合材料 电化学性能
Study on Electrochemical Performance of GO / PMO Composites
Abstract
The insoluble nature of the graphene material causes it to be ineffective in the liquid phase. And graphene oxide is a good way to overcome this problem. Graphene oxide is seen as a good composite material because of its superior conductivity. When it is combined with a single electrode material in a supercapacitor, It can significantly increase the capacitance of the capacitor. Carbon electrode capacitors, which have good conductivity and relatively low cost, are widely studied by researchers.
In this paper, the modified Hummers method was used to prepare graphene finished products with graphene oxide and composites of GO and PMo . And further graphene oxide is immersed in phosphorus molybdate saturated psolution for a long period of time and characterized. The X-ray diffraction (XRD), infrared spectroscopy and other electrochemical tests were carried out. The experimental results show that the graphene phosphomolybdic acid composite has good electrochemical properties.
Key words:Grapheme oxide; Phosphorus molybdate; Composites of GO and PMo; electrochemical properties
摘要 I
Abstract II
第一章 绪论 1
1.1 引言 1
1.2超级电容器简介 1
1.2.1炭质材料 2
1.2.2金属氧化物 3
1.2.3导电聚合物 3
1.2.4复合材料 3
1.3石墨烯简介 3
1.4.氧化石墨烯概述(GO) 4
1.4.1氧化石墨烯简介 4
1.5氧化石墨烯的制备方法 5
1.6 氧化石墨烯应用 5
1.7磷钼酸(PMo) 6
1.8磷钼酸的应用 6
1.9论文研究的意义和内容 6
1.9.1研究意义 6
1.9.2研究内容 7
第二章 实验部分 8
2.1引言 8
2.2实验试剂和仪器 8
2.3 实验步骤 9
2.4 GO/PMO电极材料的制备 9
第三章 表征部分 10
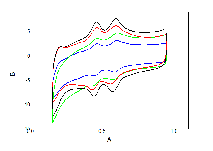
3.1 GO/PMO复合物的电化学性能测试 10
3.1.1X-射线衍射分析 10
3.1.2傅立叶红外光谱(FTIR) 10
3.2 GO/PMO复合物的电化学性能测试 14
3.2.1循环伏安法(CV)测试 14
3.2.2恒电流充放电测试 14
3.3本章总结 15
第四章 总结与展望 16
4.1 总结 16
4.2 展望 16
参考文献 17
致谢 19
第一章 绪论
1.1 引言
随着时代的发展,实体经济和人口的快速增加。人们对于资源的在要求快速增长。因此这样使得传统的能源迅速消耗。如今,风能,太阳能,地热能等自然能源发展迅速,在新能源的发展过程中,储能元件就显得十分重要,传统储能元件存在着充电慢,寿命时间不够长,存在环境污染等很多的缺点。由于这些资源是不可再生的,所以说是使用完就没有了。这样矛盾就自然而然的产生了,人类的需求给地球母亲带来了极其巨大的损坏,例如传统能源的大量消耗、气温变化、生态破坏、环境的污染等。因此,寻找环保,高效可持续性的新型能源十分迫切。能源材料是新能源的核心,2004年的10月份,英国曼彻斯特大学著名的科学家Novoselov和Andre Geim运用机械剥离的方法从石墨中获得了一种全新的材料--石墨烯。石墨烯是一种由单层碳原子相互连接构成的六方点阵蜂巢状二维晶体结构[1]。对于石墨烯本文会在下面的文章中进行详细的介绍。去年年底,我国的华为在石墨烯电池领域取得重大进展,研发出能快速充电的耐高温并具有更长寿命的石墨烯基锂离子电池并将应用到华为手机上。目前学界普遍认为石墨烯会成为硅的替代品,对于石墨烯的研究可能带来一场新的电子工业革命。最近这些年来,石墨烯以及石墨烯相关产业发展迅猛,尤其是前几年,在商业市场中石墨烯类股票也是被炒的沸沸扬扬。石墨烯凭借其一身闪闪发光的优点,宛如沙漠里的黄金,受到整个时代的追捧。但是有些特性就像一把双刃剑,例如石墨烯无法溶于水[3]。对于液相领域研究就造成了困难。此时,氧化石墨烯就出场了。这篇文字将氧化石墨烯和磷钼酸这种多酸进行复合,探究多酸与碳组合的电化学性能。
1.2超级电容器简介
相关图片展示:









