郑州市南三环污水处理厂工程设计毕业论文
2020-04-15 21:24:21
摘 要
介绍A/O工艺的原理、特点及其影响因素;实验结果表明,A/O内循环生物脱氮工艺,A/O工艺将前段缺氧段和后段好氧段串联在一起,A段DO不大于0.2mg/L,O段DO=2~4mg/L,在缺氧条件下,异氧菌的反硝化作用将NO3-还原为分子态氮(N2)完成C、N、O在生态中的循环,可提高污水的可生化性及氧的效率,实现污水无害化处理。A/O法是改进的活性污泥法,具有发展前景。 关键词:A/O工艺;生化处理;生物脱氮;硝化反应; The principle, characteristics and influencing factors of A/O process are introduced. The experimental results show that the A/O internal circulation biological denitrification process, in which the front hypoxic section and the back aerobic section are connected in series, the A-DO is not more than 0.2 mg/L, and the O-DO is 2-4 mg/L. Under hypoxic conditions, the denitrification of isooxic bacteria reduces NO3-to molecular nitrogen (N2), completes the cycle of C, N and O in the ecosystem, and can be extracted. High biodegradability and oxygen efficiency of sewage can realize harmless treatment of sewage. A/O process is an improved activated sludge process, which has a bright future. Key words: A/O process; biochemical treatment; biological denitrification; nitrification reaction; |
目录
第1章 基本资料及工艺流程选择 1 1.1基本资料 1 1.2原水水量计算 2 1.3各指标处理程度 2 1.4设计原则 2 1.4.1 污水处理设计原则 2 1.4.2 污泥处理设计原则 3 1.5、方案设计 3 1.5.1 主要设计依据 3 1.5.2 生化工艺的比选和确定 3 1.5.3 工艺流程 4 第2章 污水处理构筑物 5 2.1进水渠 5 2.2粗格栅 5 2.2.1 设计说明 5 2.2.2 设计参数 6 2.2.3 设计计算 6 2.3集水井 8 2.3.1 设计说明 8 2.3.2 水泵的流量及扬程 8 2.3.3 集水井设计计算 8 2.3.4 提升泵房设计计算 9 2.4细格栅 9 2.4.1 设计参数 9 2.4.2 设计计算 9 2.5 沉砂池 11 2.5.1 池型选择 11 2.5.2 设计计算 12 2.6 平流式初沉池 13 2.6.1 设计参数 13 2.6.2 设计计算 14 2.6.3 进出水设计 15 2.6.4 计算图 17 2.7A/O工艺 17 2.7.1 好氧区计算 17 2.7.2 剩余污泥量计算 18 2.7.3 缺氧区计算 18 2.7.4 反应池主要尺寸 19 2.7.5 反应池进、出水计算 19 2.7.6 需氧量计算 20 2.7.7 标准传氧速率(SOR)计算 21 2.7.8 缺氧池设备选择 23 2.8二沉池 23 2.8.1 二沉池池型选择 23 2.8.2 设计参数 24 2.8.3 设计计算 24 2.9消毒池 25 2.9.1 消毒剂的对比选择 25 2.9.2 接触式消毒池设计计算 26 2.9.3 加氯计算 27 2.10 高效澄清池 29 2.10.1絮凝池 29 2.10.2絮凝剂 29 2.10.3澄清池 29 2.10.4污泥回流及排放系统 30 2.10.5集水槽 30 2.10.6刮泥机 30 第3章 污泥处理构筑物的选择 31 3.1污泥浓缩池 31 3.1.1 污泥浓缩池选择 31 3.1.2 污泥浓缩池的设计参数 31 3.1.3 污泥浓缩池的设计计算 31 3.2 贮泥池 32 3.3污泥脱水机房 33 3.3.1 设计说明 33 3.3.2 设计计算 33 第4章 污水处理厂主要构筑物平面和高程布置 34 4.1污水处理厂主要构筑物平面布置 34 4.1.1平面布置的一般规定 34 4.1.2主要构筑物建筑面积 35 4.2 污水处理厂主要构筑物高程布置 36 4.2.1高程布置的一般规定 36 4.2.3主要构筑物高程 39 第5章 设计概预算 40 |
第1章 基本资料及工艺流程选择
1.1基本资料
五龙口污水处理厂设计进水水质
CODCr/(mg.L-1) | BOD5/(mg.L-1) | SS/(mg.L-1) | NH3-N/(mg.L-1) | TN/(mg.L-1) | TP/(mg.L-1) |
500 | 230 | 400 | 50 | 75 | 5 |
王新庄污水处理厂现状进水水质频率统计
水质指标 | 保证率 | |||
80% | 85% | 90% | 95% | |
CODCr/(mg.L-1) | 207 | 212 | 217 | 227 |
BOD5/(mg.L-1) | 460 | 470 | 480 | 490 |
SS/(mg.L-1) | 315 | 325 | 335 | 365 |
NH3-N/(mg.L-1) | 54 | 55 | 56 | 58 |
TN/(mg.L-1) | 65 | 66.5 | 68 | 70 |
TP/(mg.L-1) | 9.0 | 11.4 | 11.6 | 15 |
郑州南三环污水处理厂设计进水水质
CODCr/(mg.L-1) | BOD5/(mg.L-1) | SS/(mg.L-1) | NH3-N/(mg.L-1) | TN/(mg.L-1) | TP/(mg.L-1) |
500 | 220 | 380 | 50 | 65 | 8 |
郑州南三环污水处理厂设计出水水质
CODCr/(mg/) | BOD5/(mg.L-1) | SS/(mg.L-1) | NH3-N/(mg.L-1) | TN/(mg.L-1) | TP/(mg.L-1) |
≦50 | ≦10 | ≦10 | ≦5(8) | ≦15 | ≦0.5 |
出水水质按国家GB 18918-2002一级A排放标准执行。
1.2原水水量计算
日平均污水量:Qd=100000m3/d=1.157m3/s
总变化系数:Kz=1.3
则最大日流量:Qmax=KzQd=1.3×1.157=1.504 m3/s=130000 m3/d
1.3各指标处理程度
经处理以后,水质应符合国家《污水污染物排放标准》(GB18918-2002)中的一级A排放标准,所以不仅要求去除BOD5,还应去除其中的N、P,达到排放标准。
水质指标 | CODCr | BOD5 | SS | NH3-N | TN | TP |
进水水质 | 500 | 220 | 380 | 50 | 65 | 8 |
出水水质 | 50 | 10 | 10 | 5(8) | 15 | 0.5 |
去除率 | 90 | 95.45 | 97.37 | 90 | 76.92 | 93.75 |
1.4设计原则
1.4.1 污水处理设计原则


1.4.2 污泥处理设计原则

1.5、方案设计
1.5.1 主要设计依据

1.5.2 生化工艺的比选和确定



1.5.3 工艺流程

第2章 污水处理构筑物
2.1进水渠
市政污水从明渠由进水渠截流进入污水处理厂,令进水渠的污水流速为0.8m/s,根据最优水力断面公式计算得:
,渠宽取2m。
渠的底面标高为污水渠最低水位以下1.5m,即21-1.50=19.5m。进水渠应高出地面0.1m,即22 0.10=22.1 m。进水渠总深度:22.1-19.5=2.7m
2.2粗格栅
2.2.1 设计说明 
2.2.2 设计参数

2.2.3 设计计算
格栅的设计计算主要为格栅形式选择、尺寸计算、水力计算、栅渣量计算等。
(1)确定进水渠宽B1

(2)栅条间隙数n
取19个
(3)栅槽宽度B

(4)通过格栅的水头损失h2

其中
,
,取为0.13m。
(5)栅后槽的总高度H

(6)格栅的总长度L



故格栅总长度
,取2.8m
(7)每个格栅日栅渣量W


宜采用机械清渣。
2.3集水井
2.3.1 设计说明
2.3.2 水泵的流量及扬程
拟定提升净扬程为H=12.00m,水泵水头损失取提升扬程的30%,即水头损失,则所需水泵扬程H=12×1.3=15.6m
污水处理厂的设计最大流量为Qmax=1.504m3/s,拟采用5台水泵,4用1备,故每台污水泵的流量
查《给水排水设计手册·第11册·常用设备》选泵,其型号具体见下表:
型号 | 流量 m3/h | 扬程 m | 转速 r/s | 功率 | 效率 | 出口直径 | 重量 |
ISG400-450A | 1860 | 17 | 980 | 109 | 79 | 400 | 1940 |
附:所选水泵机组是否符合要求,需在高程计算之后进一步校核。
2.3.3 集水井设计计算
集水井的有效容积为最大污水泵5min所抽取的水量,即:
取集水井有效水深为3米,则集水井面积为:
设计集水井为长方体,令集水井的底边长为8米,宽为6.5米,超高取0.3m,即集水井的尺寸为
2.3.4 提升泵房设计计算
2.4细格栅
2.4.1 设计参数

2.4.2 设计计算
格栅的设计计算主要为格栅形式选择、尺寸计算、水力计算、栅渣量计算等。
(1)确定进水渠宽B1

(2)栅条间隙数n
取30个
(3)栅槽宽度B

(4)通过格栅的水头损失h2

其中
,


(5)栅后槽的总高度H


(6)格栅的总长度L



故格栅总长度
,取2.95m
(7)每个格栅日栅渣量W

宜采用机械清渣。
2.5 沉砂池
2.5.1 池型选择
沉砂池按水流方向不同分为平流式,竖流式,旋流式。每种沉砂池在污水流速、停留时间等参数方面各不相同,现列出几种沉砂池的参数用作对比,从而选择沉砂池的形式: |
池型 | 停留时间 | 流速 | 曝气强度 | 表面水力负荷 | |
平流式沉砂池 | 30~60 | 0.15~0.30 | — | — | |
竖流式沉砂池 | 30~60 | 0.02~0.10 | — | — | |
曝气式沉砂池 | 120~240 | 0.06~0.12(水平流速) 0.25~0.30(旋流流速) | — | — | |
旋流沉砂池 | 比氏沉砂池 |
| 0.60~0.90 | — | 150~200 |
钟氏沉砂池 | gt;30 | 0.15~1.20 | — | 150~200 | |
2.5.2 设计计算
1)长度:设v=0.2m/s,t=30s,L=vt=6m
2)水流断面积:A=Q/v=0.25/0.2=1.25m2
3)池总宽度B: 设n=2,每格宽b=0.6m,B=1.2 m, 有效水深h2=1.04m 4)沉砂室所需容积V:
6)贮砂斗各部分尺寸 设贮砂斗底宽a1=0.5m,斗壁与水平面的倾角为550,斗高h3’=1m,则贮砂斗的上口宽:
贮砂斗容积V0:
7)贮砂室的高度h3 设采用重力排砂,池底设6%坡度坡向砂斗,则:
8)池总高度 H=h1 h2 h3=0.3 1.04 1.12=2.56m 9)验算:在最小流量时,只用一格工作 vmin=Qmin / nw=0.25/1×1=0.25m/s gt;0.15m/s |
2.6 平流式初沉池
沉淀池一般分平流式、竖流式和辐流式,本设计初沉池采用平流式沉淀池。下表为各种池型优缺点和适用条件。 |
池型 | 优点 | 缺点 | 适用条件 |
平流式 | (1) 沉淀效果好 (2) 对冲击负荷和温度变化的适应能力强 (3) 施工简易 (4) 平面布置紧凑 (5) 排泥设备已趋于稳定 | (1) 配水不易均匀 (2) 采用机械排泥时,设备复杂,对施工质量要求高 | 适用于大、中、小型污水厂 |
竖流式 | (1)排泥方便 占地面积小 | (1) 池子深度大,施工困难 (2) 对冲击负荷和温度变化的适应能力差 | 适用于小型污水厂 |
辐流式 | (1) 多为机械排泥,运行可靠,管理简单 (2) 排泥设备已定型化 | 机械排泥设备复杂,对施工质量要求高 | 适用于大中型污水处理厂 |
2.6.1 设计参数
表面负荷 沉淀时间 污泥含水率为95%。 |
2.6.2 设计计算
(1)池子总表面积: A=Q/24q’=130000/24×2.1=2579.4m2 (2)沉淀部分有效水深:
(3)沉淀部分有效容积: V’=Qt×3600=1.504×1.5×3600=8122m3 (4)池长:设水平流速
(5)池子总宽: B=A/L=2579.4/27=95.53m (6)池子个数:设每格池宽 n=B/b=95.53/6=15.92个,取16个 (7)校核长宽比、长深比:
长深比: (8)污泥部分所需的总容积:设,污泥含水率为,
(10)污泥斗容积:
沉淀池污泥斗上边长为6m,下边长为0.5m, (11)污泥斗以上梯形部分污泥容积:
(12)污泥斗和梯形部分污泥容积:
(13)池子总高度:设缓冲层高度
|
2.6.3 进出水设计
(1) 进水部分 平流初沉池采用配水槽,8个沉淀池合建为一组,共用一个配水槽,共两组。配水槽尺寸为: (2) 出水部分 ① 出水堰 取出水堰负荷: 每个沉淀池进出水流量: 则堰长: 采用90°三角堰,每米堰板设5个堰口,每个堰出口流量
堰上水头损失 ② 集水槽 槽宽 安全系数取 集水槽临界水深 集水槽起端水深 设出水槽自由跌落高度 集水槽总高度 平流初沉池的刮泥机选用
|
型号 | 轮距 | 刮板长度 | 池宽 | 池深 | 撇渣板中线高 |
2.6.4 计算图
平流沉淀池剖面图
2.7A/O工艺
2.7.1 好氧区计算
好氧池容积:

(1)计算好氧段污泥泥龄

取安全系数F=3,
(2)计算好氧区容积
污泥总生产系数为1 kg MLSS/kg BOD5时,混合液悬浮固体平均浓度X=4.5g MLSS/L

(3)好氧区水力停留时间
HRT1=35700/100000×24=8.57 h
(4)污泥负荷率
由
得,Ls=0.13 kg BOD5/kg MLSS·d
2.7.2 剩余污泥量计算
低水温下衰减系数:
取污泥自产系数Y=0.3 kg MLSS/kg BOD5,
SS的污泥转换率f=0.5 g MLVSS/g SS,
MLSS中MLVSS所占比例y=MLVSS/MLSS=0.7,
生物反应池内混合液挥发性悬浮固体平均浓度Xv=0.7X=3.15 gMLSS/L
∆X=YQ(So-Se)-KdVXv fQ(SSo-SSe)=0.3×100000×(220-10)/1000-0.06×35700×3.15 0.5×100000×(380-10)/1000=6300-6747.3 18500=18052.8 kg/d
2.7.3 缺氧区计算
缺氧池容积:


(1)低水温时反硝化脱氮速率 取20oC的脱氮速率为0.06kgNO3-N/(kgMLSS·d) KdeT=Kde20×.08(T-20)=0.05×1.0820-20=0.05 kgNO3-N/(kgMLSS·d) (2)计算排出生物反应池系统的微生物量
(3)计算缺氧区容积
(4)缺氧区水力停留时间 HRT2=11058/100000×24=2.75 h (5)计算混合液回流量QRi
混合液总回流比
2.7.4 反应池主要尺寸(1)好氧反应池(按推流式反应池设计)。总容积V=35700m3,设反应池8组。 单组池容V1 =35700/8=4463(m3 ) 有效水深h=4.5m,单组有效面积 S1单=V1单/h=4063/4.5=902.9 m2 采用3廊道式,廊道宽b=6m, 反应池长度L1=SI单/B=902.9/(6×3)=50.2m 校核: b/h=6/4=1.5 (满足b/h=1~2) L/b=50.2/6=8.37 (满足L/b=5~10) 超高取1. 0m,则反应池总高H=4.5 1.0=5.5 (m) (2)缺氧反应池尺寸 总容积V2=11058m3,设缺氧池8组,单组池容Vz单=1382m3 有效水深h=4m,单组有效面积为S2单=V2单/4=1382/4=345.5(m) 宽与好氧池宽度相同,为B=18m,池长= S2单/B=345.5/18=19.2 (m) |
2.7.5 反应池进、出水计算
(1)进水管。每2组反应池合建,进水与回流污泥进人进水竖井,经混合后经进水孔进人缺氧池。 反应池进水管设计流量 Q1=Kz×Q/(86400×4)=1.3×100000/(86400×4)=0.376m3 /s 采用管道流速0.8m/s,管道过水断面为A=Q1/v=0.47 m2 管径d=(4A/Π)0.5=0.77m 取进水管DN800,校核流速v=Q/A=0.376/[(0.8/2)2×3.14]=0.75m/s (2)回流污泥渠道,反应池回流污泥渠道设计流量 QR=R×Q=1×0.29=0.29m3/s,渠道流速v=0.7m/s 渠道横截面积为A=QR/v=0.29/0.7=0.41m2 取渠道断面b×h=1m×0.5m 校核流速v=0.29/(1×0.5)=0.58m/s 渠道超高0.3m,渠道断面为b×h=1m×0.8m 回流污泥管v=0.8m/s A=Q1/v=0.36 m2 管径d=(4A/Π)0.5=0.68m 取污泥管DN700 (3)进水竖井,反应池进水孔尺寸 进水孔过流量Q2=0.5(1 QR)=0.33m3/s 孔口流速v=0.6m/s,孔口过水断面积A=Q/v=0.33/0.6=0.55m2 孔口尺寸取1m×0.6m,进水竖井平面尺寸4m×1.5m (4)出水堰及出水竖井,按矩形流量公式 Q3=0.42×(2g)0.5bH1.5=1.86bH1.5 Q3=Q2=0.33m3/s H=0.1m,出水孔同进水孔,取1m×0.6m (5)出水管 Q5=Q3=0.33 m3/s 采用管道流速0.8m/s,管道过水断面为A=Q5/v=0.41m2 管径d=(4A/Π)0.5=0.72m 取出水管DN800 |
2.7.6 需氧量计算
=0.001aQ(So-Se)=0.001×1.47×100000×(220-10)=30870kgO2/d
=c∆Xv=1.42×12600=17892kgO2/d
=b[0.001Q(Nk-Nke)-0.12∆Xv]=4.57×[0.001×100000×(50-8)-0.12×12600] =12284.2kgO2/d
==0.62b[0.001Q(Nt-Nke-Noe)-0.12∆Xv] =0.62×4.57×{0.001×100000×[55-8-(15-8)]-0.12×12600} =7049.5kgO2/d
折合每千克BOD5耗氧量 |
2.7.7 标准传氧速率(SOR)计算
已知当地大气压力P= 101.325kPa,设当地空气氧含量21%,混合液中Kla与清水中Kla比值a=0.8,混合液饱和溶解氧与清水饱和溶解氧比值β=0.9,混合液剩余溶解氧值C= 2mg/L,标准条件下清水中饱和溶解氧Cs=9.17mg/L,标准气压下T= 25oC时,清水表面处饱和溶解氧为8.24mg/L。 Csw=8.24×101.325 101.325=8.24mg/L (1)采用表曝机时的标准供氧速度N。 对于表曝机,将a、β、Csw、Co、T及N代入公式(6-47) 中有: kgO2/d=1426.5 kgO2/h (2)采用鼓风曝气时的标准供氧速度No 设曝气装置安装水深5.8m,氧利用率E=25% 1)曝气装置处绝对压力Po=101.325 5.8 10.332×101.3247=158.2kPa 2)按公式(6-50) 计算曝气池逸出气体中含氧率:
3)按公式(6-49) 计算曝气装置处清水溶解氧Csm:
4)按公式(6-48) 计算标准供氧速度N。 kgO2/d=1187.7 kgO2/h
m3/h 折合去除每千克BOD5供气量(gs) 为: m3/kgBOD5 气水比=16967×24/100000=4.07 6)曝气器数量计算 h1=SORmax/qc=(1426.5/8)/0.14=1274个 校核f=F/h1=902.9/1274=0.71m2lt;0.75m2 7)供风管道计算 最大时鼓风机供气量为: ①干管 供风干管采用环状布置与好氧池 取干管风速为10m/s,则管径为 则取干管管径为DN500,核算风速为 ②支管 单侧供气支管,即向单侧廊道供气支管,其流量为 取支管风速为10m/s,则管径为 则取支管管径为DN300,核算风速为 双侧供气支管,其流量为 取干管风速为10m/s,则管径为 则取干管管径为DN400,核算风速为 |
2.7.8 缺氧池设备选择
缺氧池分成3格串联,每格内设置一台机械搅拌机,缺氧池内设置三台潜水搅拌机,每台功率按5W/m3污水算 缺氧池有效容积 V=19.2×18×4=1237.6m3 混合全池污水所需功率 N1=1237.6×5=6188W 每格搅拌机轴功率 N2=6188/3=2063W 每台搅拌机电机功率 N3=1.15N2=1.15×2063=2372.5W 设计选用电机功率3KW的搅拌机 |
2.8二沉池
2.8.1 二沉池池型选择

沉淀池名称 | 优缺点 | 适用范围 |
平流沉淀池 | 停留时间较长,以提高沉淀后的水质;占地面积大 | 处理水量大于20000t/d,地面平整,无需挖填土量过大的水厂 |
斜板(管)沉淀池 | 占地面积少,沉淀效率高,停留时间较短;运行不稳定,监测管理不便 | 适用于各种规模的水厂,但不便建造单池规模较大沉淀池的水厂 |
辐流沉淀池 | 排泥方便,处理高浊度的水效果较好 | 用于处理浊度较高的水,如黄河上游的水等 |
气浮池 | 能够去除大量微小的颗粒,排出的泥渣含固率高,构造简单,运行方便;但需要配套供气,溶气装置 | 低温低浊度的水,擅长于处理含氨氮,油类等的原水 |
经过对几种沉淀池的比较,并结合本设计的实际情况,决定选用中心进水,周边出水辐流沉淀池,并设刮泥机,采用机械刮泥,其结构示意图如下图所示:

二沉池结构示意图
2.8.2 设计参数
⑴设计进水量:Q=1.504m3/s=5414.4m3/s,二沉池预设4个
⑵表面负荷:此处为活性污泥法后,取
⑶水力停留时间(沉淀时间):取
⑷保护高度:
⑸缓冲层高:机械排泥时
⑹污泥斗下部半径,上部半径
2.8.3 设计计算
(1)沉淀池表面积: m2 (2)沉淀池直径: ,取 (3)有效水深: 径深比,在之间,满足要求。 (4)污泥斗容积 每人每日污泥量,每人每日污水量,设计污水量,则设计人口数 两次清除污泥相隔时间T=4h,则污泥部分所需容积: m3 沉淀池半径R=17m 池底径向坡度取 污泥斗高度: 污泥斗以上圆锥体部分污泥容积为: 共可贮存污泥体积为:,满足要求。 (5)沉淀池总高度 (6)沉淀池周边处高度 |
2.9消毒池
2.9.1 消毒剂的对比选择
水处理中常用的消毒工艺有加氯消毒、紫外线消毒、漂白粉消毒以及臭氧消毒等,现列出这几种消毒方式的优缺点及适用条件,通过比较确定最终选用的消毒方式:
消毒剂 | 优点 | 缺点 | 适用条件 |
液氯 | 效果可靠,投配简单,投量准确,价格便宜,可持续消毒 | 氯化形成的余氯及某些含氯化合物低浓度时对水生物有毒害,当污水含工业污水比例大时,氯化可能生成致癌化合物 | 适用于,中规模的污水处理厂 |
漂白粉 | 投加设备简单,价格便宜 | 同液氯缺点外,沿尚有投量不准确,溶解调制不便,劳动强度大 | 适用于出水水质较好,排入水体卫生条件要求高的污水处理厂 |
臭氧 | 消毒效率高,并能有效地降解污水中残留的有机物、色、味、等,污水中PH、温度对消毒效果影响小,不产生难处理的或生物积累性残余物 | 投资大成本高,设备管理复杂 | 适用于出水水质较好,排入水体卫生条件要求高的污水处理厂 |
次氯酸钠 | 用海水或一定浓度的盐水,由处理厂就地自制电解产生,消毒 | 需要特制氯片及专用的消毒器,消毒水量小 | 适用于医院、生物制品所等小型污水处理站 |
紫外线 | 杀菌效率高,需要的接触时间短,不改变水的物理、化学性质,不会生成有机氯化物和氯酚味,已有成套设备,操作方便 | 没有持续的消毒作用,易受重复污染,电耗较高,灯管寿命还有待提高 | 适用于小型的污水处理厂 |
本次设计的污水处理厂的日处理量100000m3/d,利用紫外线消毒和臭氧消毒的成本都偏高,故不适用。而漂白粉消毒是较难精准控制的,容易产生一些突发情况,需要时刻处理,也不太经济合理。次氯酸钠消毒水量过小。虽然氯消毒存在水有异味的问题,但作为污水排放尚可接受。故综合考虑,决定使用氯消毒的方式作为污水排放前的消毒处理工艺。
2.9.2 接触式消毒池设计计算
⑴反应池池型选择 采用隔板式接触反应池。 ⑵设计参数 设2座消毒池,则每座消毒池的流量为: 水力停留时间: 设计投氯量为: 平均水深: 单个廊道宽度: 池底坡度:2%~3% ⑶接触池容积: ⑷接触池表面积: ⑸廊道总宽度:隔板数采用个,则廊道总宽为 ⑹接触池长度: ⑺池总高度:(其中超高h’=) 消毒池设计为纵向板流反应池,在第一格隔设纵向垂直折流板,在第二格隔设垂直折流板,其余格不设。在第一格和第二格起端设置两台ZJ型折板式搅拌机,用于混合。 |
消毒池的设计草图如下所示:

图7 接触式消毒池设计草图
2.9.3 加氯计算
⑴加氯量计算 设计最大加氯量为,则加氯量为 : 选用贮氯量为的液氯钢瓶,每日加氯量为2瓶,储氯量按最大加氯量的15天计算,共贮用29瓶。氯瓶中的氯气需使用加氯机投加到水中,加氯机台数根据最大加氯量选用。每日使用加氯机2台,单台投氯量为。采用射流泵加氯,使得处理污水与消毒液充分接触混合,以处理水中的微生物,尽量避免造成二次污染。 ⑵贮氯仓库的尺寸 仓库的面积尺寸设计为,高为5m。 |
2.10 高效澄清池
2.10.1絮凝池

2.10.2絮凝剂

2.10.3澄清池
斜管上升流速取20m/h(12~25m/h)
沉淀段入口流速取60m/h
中间总集水槽宽B=0.9(1.5Q)0.4=0.9×(1.5×1.504)0.4=1.246m,取B=1.25m
取澄清池为正方形,设澄清池尺寸为20m×20m×6.8m=2720m3
原水在澄清池得停留时间t=2720/1.504=1808.5s=30.1min
斜管区面积18.35m×14.75m=270.7m2
水在斜管区得上升流速1.504/270.7=0.0056m/s=20m/h,合格
计算得,沉淀区入口段尺寸20m×5m,水层高度:1.504/0.05×20=1.5m,考虑外部因素,取1.8m水层高度。
推流段停留时间取4min(3~5min)
V=1.504×4×60=361m3宽度B=361/(6.8×20)=2.65m
反应段至推流段得竖流通道流速取0.05m/s,则高度为1.504/0.05×10.5=2.86m,取2.9m
2.10.4污泥回流及排放系统

2.10.5集水槽

2.10.6刮泥机
采用中心传动刮泥机
第3章 污泥处理构筑物的选择
3.1污泥浓缩池
3.1.1 污泥浓缩池选择
3.1.2 污泥浓缩池的设计参数
3.1.3 污泥浓缩池的设计计算
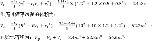
⑴浓缩池池体计算:

⑵浓缩池总高度
设,,
则
设池底径向坡度为,底坡落差为:
设浓缩池的超高,缓冲层高度
浓缩池的总高度为:

图 重力式浓缩池示意图

3.2 贮泥池

3.3污泥脱水机房
3.3.1 设计说明
污泥在浓缩池浓缩后,通过污泥斗下的管道流进脱水机房。污泥脱水采用带式压滤机,它具有效率高,能耗低,脱水效果好,结构简单,维修方便,连续生产等优点。
3.3.2 设计计算
进入脱水机房的污泥流量为
经带式压滤机脱水后,设污泥的含水率降为60%(一般为60%~80%)
则脱水后的污泥流量为:

选用DY1000—N型带式压滤机,尺寸为,共2台,1用1备。脱水间的面积为63m2,尺寸为。脱水间建在堆场附近,污泥经脱水后,经干燥后外运。
第4章 污水处理厂主要构筑物平面和高程布置
4.1污水处理厂主要构筑物平面布置
4.1.1平面布置的一般规定



4.1.2主要构筑物建筑面积

4.2 污水处理厂主要构筑物高程布置
4.2.1高程布置的一般规定

4.2.2构筑物水头损失计算


4.2.3主要构筑物高程

第5章 设计概预算
| 郑州市南三环污水处理厂设计工程 | |||||||||
序号 | 费用名称 | 工程量 | 单位 | 单位造价 | 概算价值(元) | |||||
建筑工程 | 设备购置 | 安装工程 | 其他费用 | 合计(元) | ||||||
工程费用 | 1 格栅泵房 | 格栅、进水泵房下部结构 | 805 | m3 | 1100 | 885632 | 885632 | |||
格栅、进水泵房上部结构 | 652 | m3 | 1300 | 847600 | 847600 | |||||
设备购置及安装 | 142000 | 14200 | 156200 | |||||||
工艺管道安装 | 17040 | 1704 | 18744 | |||||||
合计 |
|
|
| 1733232 | 159040 | 15904 |
| 1908176 | ||
2 沉砂池 | 土建 | 82 | m3 | 1000 | 82000 | 82000 | ||||
设备购置及安装 | 400000 | 40000 | 440000 | |||||||
工艺管道安装 | 30000 | 3000 | 33000 | |||||||
合计 |
|
|
| 82000 | 430000 | 43000 |
| 555000 | ||
3 集水井 | 集配水井土建 | 45 | m3 | 950 | 43092 | 43092 | ||||
工艺管道安装 | 230000 | 34500 | 264500 | |||||||
合计 |
|
|
| 43092 | 230000 | 34500 |
| 307592 | ||
4 初沉池 | 初沉池土建 | 9342 | m3 | 980 | 9155160 | 9155160 | ||||
设备购置及安装 | 200000 | 20000 | 220000 | |||||||
工艺管道安装 | 40000 | 6000 | 46000 | |||||||
合计 |
|
|
| 9155160 | 240000 | 26000 |
| 9421160 | ||
5 AO池 | A/O土建 | 46758 | m3 | 950 | 44420100 | 44420100 | ||||
设备购置及安装 | 324000 | 32400 | 356400 | |||||||
工艺管道安装 | 30000 | 4500 | 34500 | |||||||
合计 |
|
|
| 44420100 | 354000 | 36900 |
| 44811000 | ||
6 二沉池 | 二沉池土建 | 11449 | m3 | 980 | 11220020 | 11220020 | ||||
设备购置及安装 | 200000 | 20000 | 220000 | |||||||
工艺管道安装 | 40000 | 6000 | 46000 | |||||||
合计 |
|
|
| 11220020 | 240000 | 26000 |
| 11486020 | ||
7 消毒池 | 消毒池土建 | 3168 | m3 | 1000 | 3168000 | 3168000 | ||||
设备购置及安装 | 10000 | 1000 | 11000 | |||||||
工艺管道安装 | 85000 | 12750 | 97750 | |||||||
合计 |
|
|
| 3168000 | 95000 | 13750 |
| 3276750 | ||
8 加氯间 | 加药间土建 | 324 | m3 | 800 | 259200 | 259200 | ||||
设备购置及安装 | 12000 | 1200 | 13200 | |||||||
工艺管道安装 | 1500 | 1500 | ||||||||
合计 |
|
|
| 259200 | 12000 | 2700 |
| 273900 | ||
9 污泥处理 | 污泥处理厂房建设费 | 1422 | m3 | 1000 | 1422050 | 1422050 | ||||
设备购置及安装 | 48000 | 4800 | 52800 | |||||||
合计 |
|
|
| 1422050 | 48000 | 4800 |
| 1474850 | ||
10 | 配电间 |
|
|
| 500000 |
|
|
| 500000 | |
12 | 机修间及仓库 | 1550 | m2 | 2730000 | 2730000 | |||||
13 | 办公楼、操场、食堂等 | 6663 | m2 | 10000000 | 10000000 | |||||
14 | 厂平面 | 3344360 | 3344360 | |||||||
15 | 道路 | 11380 | m2 | 569000 | 569000 | |||||
16 | 围墙 | 1692 | m | 135360 | 135360 | |||||
17 | 大门 | 1 | 个 | 2000 | 2000 | |||||
18 | 绿化 | 65800 | m2 |
| 2632000 |
|
|
| 2632000 | |
合计 | 93427168 | |||||||||
其他费用 | 1 | 建设单位管理费 |
|
|
|
|
|
| 100000 | 100000 |
2 | 生产工人培训费 | 30000 | 30000 | |||||||
3 | 勘察费 | 8909 | 8909 | |||||||
4 | 设计费 | 89094 | 89094 | |||||||
5 | 编制费 | 13364 | 13364 | |||||||
6 | 招标管理费 | 50000 | 50000 | |||||||
7 | 基本预备费5% | 4469277 | 4469277 | |||||||
8 | 流动资金 |
|
|
|
|
|
| 2000000 | 2000000 | |
合计 | 6760644 | |||||||||
总费用 | 100187812 | |||||||||
参考文献
- 执行的主要设计规范和标准
中华人民共和国国家标准,地表水环境质量标准 (GB3838-2002)
中华人民共和国国家标准,城镇污水处理厂污染物排放标准(GB18918-2002)
以上是毕业论文大纲或资料介绍,该课题完整毕业论文、开题报告、任务书、程序设计、图纸设计等资料请添加微信获取,微信号:bysjorg。
相关图片展示:


5)每个沉砂斗容积:设每一分格有两个沉砂斗,共有4个沉砂斗,则每个沉砂斗容积:






,
,
长宽比:
符合要求
符合要求
(9)每格池污泥部分所需容积:



为污泥斗高度









,其中槽宽B取6m。
,L与池体同宽取48m。进水矩形孔的开孔面积为池断面积的
,取15%。方孔面积
即
。
,




,



型行车提板刮泥机,共18个。
型行车提板刮泥机的安装尺寸mm


,实际设计可取r=300%


