硅锗界面热阻的分子动力学模拟计算开题报告
2020-04-13 13:23:49
1. 研究目的与意义(文献综述)
目的及意义
科技变化日新月异,按摩尔定律推算,在未来的10余年里,继续提高计算机的储存密度和运算能力将面临严峻的挑战,电子器件和设备的尺寸也由此变得越来越小,在更加苛刻的工作环境下,不断升高的运行速度和频率,对微纳尺度下的热运输提出了更高的要求。
除此之外,诸如改进的热障,高效热电能量转换、相变存储器、热辅助磁记录、纳米电子学热管理以及用于热疗的治疗药物等多种技术驱动因素也正在激发着对纳米级热输运应用物理的研究[2]。
而研究发现,当系统尺寸达到纳米量级时,热量传输则会受到两个因素的影响:声子域作用[3]和在声子弹道输运范围内的边界散射的增加[6]。边界和界面散射对微纳尺寸系统热传导的影响在支撑薄膜、超晶格、多种介质和纳米线等材料中均有体现,此外石墨烯和碳纳米管的复合材料中也可以明显看到界面对热流的阻碍作用。
2. 研究的基本内容与方案
研究(设计)的基本内容、目标、拟采用的技术方案及措施
研究(设计)内容:
分子动力学
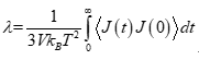
热导率是物质的一种基本输运性质,却是“最难计算的输运系数之一”。热导率的分子动力学模拟共有两类方法:平衡分子动力学(emd)和非平衡分子动力学(nemd)方法emd方法指通过模拟系统的平衡态获得热导率,其理论根据是线性响应理论,green-kubo 关系式给出了根据系统微观热流的相关函数求得热导率的方法,即
其中 v为系统体积,kb 为 boltzmann常数, t为温度, t为时间, j为系统中的微观热流。由于微观热流及其相关函数积分的收敛速度较慢,emd计算热导率需要很长的时间且误差较大nemd通过对系统施加扰动建立非平衡导热过程, 再根据fourier导热定律计算系统的热导率,即:
3. 研究计划与安排

4. 参考文献(12篇以上)
[1]曹炳阳,一种模拟热导率的非平衡分子动力学方法,计算物理,1001-246x( 2007) 04-0463-04.
[2]d. g. cahill, p. v.braun, g. chen et al., nanoscale thermal transport. ii. 2003–2012.appl. phys.rev., 2014, 1, 011~305.
[3]e. w. montroll,size effect in low temperature heat capacities, j. chem. phys., 1950,18,183~185.


