MnZnFeOPZT磁力磁电器件的结构设计与性能优化毕业论文
2020-04-24 11:17:49
摘 要
本文设计了一种铁氧体MnZnFeO/压电片PZT/铁氧体MnZnFeO双源驱动复合结构,并研究了其中的磁力驱动磁电效应。
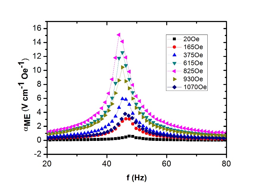
实验结果表明:该双源驱动复合结构有利于提高磁力驱动磁电效应,当偏置场HDC=825Oe,谐振频率f=44Hz时,谐振磁电系数达到15.3Vcm-1Oe-1。随着直流偏置场的增加,谐振频率先减小,在HDC=825Oe时达到最小值,然后增大,而谐振磁电系数表现出相反的变化趋势。与单源驱动的悬臂梁结构相比,双源驱动的磁力磁电复合结构中的磁电效应约提高了60%。当偏置磁场场方向与交流磁场方向垂直时,磁力磁电效应明显减弱。在输入交流场0.05-1.2Oe的变化范围内,输出磁电电压基本表现出线性响应特性。
本文研究表明,双源驱动的MnZnFeO/PZT器件中可获得增强的磁力驱动磁电效应。通过结构优化设计,可进一步提高磁力磁电效应,降低谐振频率,从而为该器件在交流场传感器、能量转换器等方面的应用开辟广阔的前景。
关键词:磁力磁电效应 复合结构 双悬臂梁 偏置磁场
Structure Design and performance Optimization of MnZnFeO/PZT Magnetic Magnetoelectric Devices
Abstract
In this paper, a two-source drive composite structure of Ferrite MnZnFeO/ piezoelectric sheet PZT/ Ferrite MnZnFeO is designed. The magnetoelectric effect driven by magnetic force is researched.
The experimental results show that: the dual source drive composite structure is beneficial to improve the magnetoelectric effect driven by magnetic force. With the bias field HDC = 825 Oe, at the resonant frequency f=44 Hz, the resonance magnetoelectric coefficient reaches 15.3Vcm-1Oe-1. With the increase of DC bias field, the resonance frequency decreases first to minimum at HDC=825Oe, and then increase. Meanwhile, the resonance magnetoelectric coefficient shows the opposite variation trend. Compared with the single source driven cantilever structure, the magnetoelectric effect in the dual source driven magnetoelectric composite structure is increased by about 60%. When the direction of the bias magnetic field is perpendicular to the direction of the alternating current magnetic field,the magnetoelectric effect is obviously weakened. In the range of 0.05-1.2Oe of the input alternating current, the output magnetoelectric voltage basically shows the linear response characteristic.
The research in this paper shows that, enhanced magnetoelectric effect can be obtained in dual-source driven MnZnFeO/PZT devices. Through structural optimization design, it can further improve the magnetic and magnetoelectric effect, reduce the resonance frequency. Thus it opens up a broad prospect for the application of the device in alternating current sensor, energy converter and so on.
Key Words:magnetoelectric effect; complex structure; bi-cantilever beam; bias magnetic field.
目录
摘要 I
Abstract II
第一章 绪论 1
1.2磁电器件的应用 2
1.2.1可调谐电感器 2
1.2.2可调谐滤波器 2
1.2.3磁电储存器 3
1.2.4能量回收器 3
1.3结构对磁力磁电效应的影响 3
1.3.1结构与压电材料的工作模式 3
1.3.2基于拉伸振动模式的结构 4
1.3.3单悬臂梁结构 5
1.3.4双悬臂梁结构 6
1.4本章小结和本文目的 6
第二章 实验结果与分析 7
2.1样品结构设计 7
2.2测量装置及测量方法 7
2.3测量结果及讨论 8
2.3.1不同偏置场条件下磁电系数的频率响应 8
2.3.2双磁力驱动MnZnFeO/PZT与悬臂梁结构磁力磁电效应的比较 9
2.3.3谐振频率和谐振磁电系数随偏置场的变化 10
2.3.4交流场与偏置场方向垂直时的磁电效应 11
2.3.5输出磁电电压对外加交流场信号的线性响应 12
2.4本章小结 12
第三章 结论与展望 14
3.1结论 14
3.2 展望 14
参考文献 15
致谢 17
第一章 绪论
1.1磁力磁电效应
1.1.1经典磁电效应
相关图片展示:









