磁场退火对La0.7Sr0.3MnO3磁电阻增强效应研究毕业论文
2020-05-26 20:46:58
摘 要
半金属锰氧化物一直是科研项目和电子器件的热门材料,主要是由于它具有比较高的居里温度和自旋极化率。但是在室温下它的磁电阻效应较低导致了目前半金属锰氧化物在电子器件中的应用一直停滞不前,因此为了解决这一问题,提高它在室温下的磁电阻效应就特别重要。一直以来在这方面的研究很多,本文采用磁场退火的方法来提高La0.7Sr0.3MnO3的磁电阻效应。
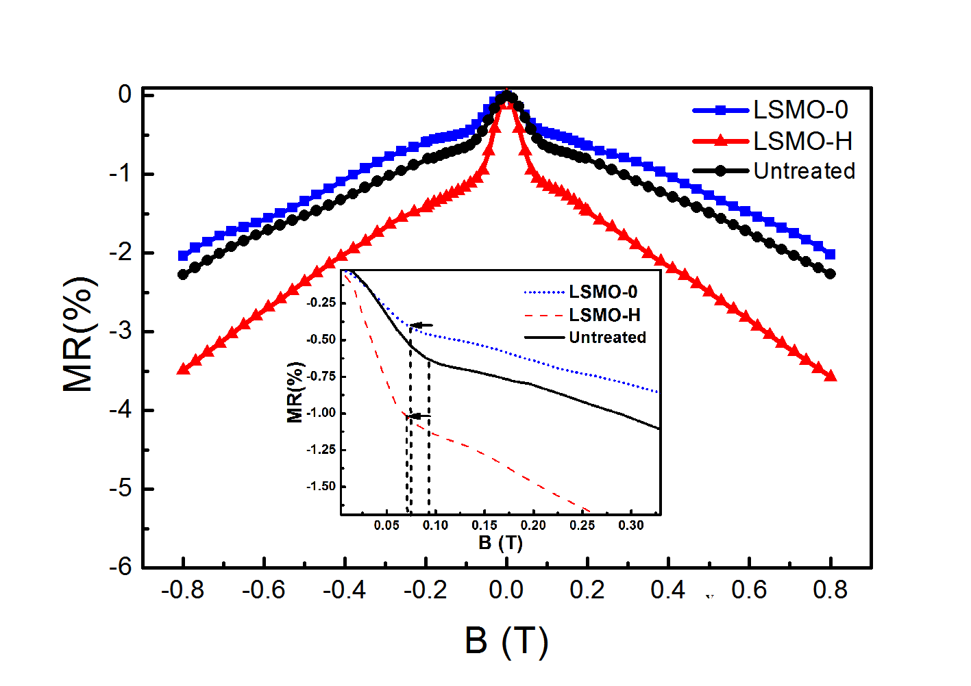
增强电信号(电阻、电压或电流等)对磁场信号的响应能力,是一个重要的研究课题。本文通过对溶胶凝胶法制备得到的La0.7Sr0.3MnO3分别进行磁场退火和零磁场退火处理,发现磁场退火样品的磁化率有明显的增强,并发现磁场退火样品在0.1T下的磁电阻比零磁场退火样品的磁电阻增大了近140%。自旋极化隧穿的磁电阻方程可以说明这种电阻对磁场增强的响应能力。
关键词:磁场退火;自旋极化输运;磁电阻
Magnetic annealing effects on La0.7Sr0.3MnO3
Abstract
Half-metallic manganites have attracted more and more attention due to their abundant scientific connotation and wide application prospects. However, the magnetoresistance effect of polycrystalline La0.7Sr0.3MnO3 is relatively low at room temperature, which restricts its application range in spintronics. In this work, the sol-gel synthesized La0.7Sr0.3MnO3 was annealed under magnetic field, to improve the magnetoresistance effect.
Amplifying the electric response to magnetic field is of great importance. In this paper, magnetic and magnetoresistive properties of magnetic-annealed polycrystalline La0.7Sr0.3MnO3 were investigated. The magnetic hysteresis loops of magnetic-annealed sample showed an enhanced magnetic susceptibility when the external field was applied parallel to the annealing field direction. A significantly MR enhancement of about 140% at 0.1T was observed in the magnetic-annealed sample. The MR enhancement can be explained by the mechanism of spin-polarized intergrain tunneling. An equation is applied to fit the experimental MR data, which clearly reflect the MR response to magnetic field.
Key words: magnetic annealing; spin-polarized tunneling; MR
目 录
摘要…………………………………………………………………………………I
ABSTRACT………………………………………………………………………II
第一章 绪论………………………………………………………………………1
1.1 磁电阻效应(MR)的简介………………………………………………1
1.2 磁电阻效应研究背景 ……………………………………………………1
1.3 磁电阻分类 ………………………………………………………………2
1.3.1正常磁电阻(OMR)……………………………………………2
1.3.2巨磁电阻(GMR)………………………………………………2
1.3.3异向磁阻(AMR) …………………………………………………2
1.3.4隧穿磁阻效应(TMR) ……………………………………………3
1.4 钙钛矿锰氧化物…………………………………………………………3
1.4.1晶体结构…………………………………………………………3
1.4.2电子结构…………………………………………………………4
1.4.3 LSMO的磁结构 ………………………………………………5
1.4.4多晶LSMO研究背景 …………………………………………5
1.5研究工作的目的…………………………………………………………5
第二章 样品制备、表征及理论方法………………………………………7
2.1样品制备方法……………………………………………………………7
2.2测量仪器介绍……………………………………………………………7
2.2.1 XRD………………………………………………………………7
2.2.2 VSM………………………………………………………………8
2.2.3电性的测量 ……………………………………………………10
第三章 磁场退火对La0.7Sr0.3MnO3磁电阻增强效应的研究…………12
3.1引言 ……………………………………………………………………12
3.2实验 ……………………………………………………………………13
3.2.1样品的制备 ……………………………………………………13
3.2.2样品的退火处理 ………………………………………………13
3.2.3测量与表征 ……………………………………………………13
3.3实验结果与讨论 ………………………………………………………14
3.3.1晶体结构与形貌 ………………………………………………14
3.3.2磁学性质 ………………………………………………………14
3.3.3磁电阻 …………………………………………………………15
3.3.4磁电阻灵敏度 …………………………………………………17
3.4本章小结 ………………………………………………………………18
第四章 总结和展望 …………………………………………………………19
参考文献…………………………………………………………………………20
致谢………………………………………………………………………………22
第一章 绪 论
1.1磁电阻效应(MR)的简介
磁电阻表示为:
(1.1)
是指外加磁场变化导致材料电阻变化的效应。式中R(0)、R(H)分别为零场和磁场下的电阻 [1]。在诸如金属、合金及半导体等非磁性材料中,几乎都存在着磁电阻效应。这是因为在外磁场的作用下,传导电子将发生偏转或作回转运动,使得散射截面增大,这样样品的电阻增大,从而具有正的磁电阻效应。在磁性材料中,样品的输运性质与其磁化状态有关。在无外磁场的情况下,磁矩之间的夹角比较大,电子的输运能力较弱,当加上外磁场后,磁矩之间的夹角变小,电子的输运能力变强,显现出负的磁电阻效应。
1.2磁电阻效应研究背景
相关图片展示:








