办公自动化OA管理系统的界面设计与实现毕业论文
2020-04-24 11:17:17
摘 要
20世纪以来,信息科学类技术飞速发展,以至于改变了大多数人们的日常生活,而其中受影响最大的莫过于各种信息自动化系统的发展,各种自动化系统都因信息技术的发展而在技术与应用方面取得了更高层次成长。其中,办公自动化管理系统广泛运用,更是使得公司与政府等的部门日常办公与工作更加地便捷和高效。大型公司与政府的管理者们不必说,为了能更加的方便高效,自然愿意付出大量的资金来完善办公室管理自动化系统,而中小型企业则不同,由于自身的弱势,需要采取相对经济合理的方式。
本论文将论述中小型企业办公自动化管理系统的分析与设计过程。本系统使用的主要是基于Spring SpringMVC MyBatis框架,前端设计涉及bootstrap和jquery技术。采用大多数企业都在使用的IntelliJ IDEA作为开发平台,以java高级开发语言作为系统设计的开发语言,采用MySQL数据库进行数据库管理,实现了系统数据管理、个人信息管理、办公用品管理、公告管理、事务管理、流程管理、文件公布与下载等功能。基本符合中小企业办公自动化管理系统的要求,能帮助中小型企业更经济合理的提高效率。
关键词: 中小企业办公自动化 可行性分析 MySQL数据库 java语言
Office Automation Management system OA based on java
Abstract
Since the 20th century, information science and technology have developed so rapidly that they have changed the daily lives of most people, among which the development of various information automation systems has been the most affected. All kinds of automation systems have achieved higher level growth in technology and application because of the development of information technology. Among them, office automation management system is widely used, but also makes the daily office and work of the company and the government more convenient and efficient. Large companies and government managers do not have to say that in order to be more convenient and efficient, they are naturally willing to pay a lot of money to improve the office management automation system, while small and medium-sized enterprises are willing to pay a lot of money to improve the office management automation system. The industry is different, because of its own weakness, need to take a relatively economic and reasonable way.
This paper will discuss the analysis and design process of office automation management system in small and medium-sized enterprises. The system is mainly based on Spring SpringMVC MyBatis framework, front-end design involves bootstrap and jquery technology. IntelliJ IDEA, which is used by most enterprises, is used as the development platform, java language is used as the development language of system design, MySQL database is used to realize system management, personal information management, office supplies management, announcement management and transaction management. Process management, document publication and download Yes. Basically in line with the requirements of office automation management system for small and medium-sized enterprises, can help small and medium-sized enterprises to improve efficiency more economically and reasonably.
Keywords:Office automation for small and medium-sized enterprises ,feasibility analysis ,MySQL Database ,java language.
目 录
第一章 绪 论 1
1.1 研究背景 1
1.2 论文结构 1
第二章 系统相关技术及开发环境概述 2
2.1 JAVA技术介绍 2
2.2 MVC设计模式 2
2.3 MySQL数据库 4
2.4 开发平台IntelliJ IDEA 5
2.5 Bootstrap前端开发工具 5
第三章 系统分析与设计 7
3.1系统的描述 7
3.2系统分析 7
3.2.1系统需求分析 7
3.2.2可行性分析 7
3.2.3组织结构与功能分析 8
3.3流程图 10
第四章 界面设计与实现 13
4.1 系统总体结构设计简介 13
4.2 数据库设计与实现 13
图4.2.1部门信息实体属性图 14
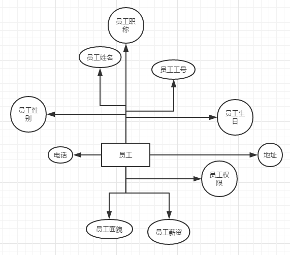
图4.2.2用户信息实体联系图 14
图4.2.3申请信息实体属性图 15
图4.2.4会议信息实体属性图 15
图4.2.5办公用品申领信息实体属性图 16
4.3 系统运行环境 16
4.4 界面设计风格与原则简介 18
4.5系统界面设计 18
4.5.1登录页面 19
4.5.2首页页面 20
4.5.3系统管理功能页面 21
4.5.4事务管理页面 22
4.5.5人才管理页面 23
4.5.6办公用品管理页面 23
4.5.7个人信息管理页面 23
4.5.8流程管理页面 24
4.6 代码设计 25
第五章 总结 31
结束语 31
参考文献 32
致 谢 34
- 绪    论
- 研究背景
 
 
信息化时代正在以一种前所未有的速度快步到来,Internet(互联网)/Intranet(企业网)在全球范围内越来越普遍的被使用,当今社会正快速地由信息化团体向着更高层次的信息化社会稳步前进,信息系统的重要性也越来越被大众及管理者所认知。各级政府部门、各个大型公司与企业凭借原始结累带来的雄厚的资金支持与人才吸收能力,为自己奠定了巨大的经济优势与人才优势,信息化也是在这些巨头的带领下,大步大步地向着信息化社会前进。
磨刀不误砍材工,为了进一步提高了工作效率,增强与同行业之间的竞争力,他们建立起了高质量高效率的办公自动化管理系统来进行企业管理,并以此进一步扩大了自己的优势。但是,与此同时,中小企业们在这巨头林立的环境下,为了能站稳属于自己的脚步,也尝试着努力去建立或已经正在建立适应自身需求与特色的办公自动化管理系统。
相关图片展示:







您可能感兴趣的文章
- UI 和 UE 设计技术及其在 HTML5 网站开发中的地位的研究外文翻译资料
 - .NET MVC框架在开发农业资源清单系统中的适应性外文翻译资料
 - 使用Java平台针对数据库桥接层的Spring框架可靠性调查外文翻译资料
 - 基于MVC架构的数据库和Web应用程序外文翻译资料
 - 利用微服务SpringBoot 设计和开发公众投诉系统的后端应用。外文翻译资料
 - 基于SSM框架的校园自行车租赁管理系统统计外文翻译资料
 - 基于Android的校园交友社交应用的设计与开发外文翻译资料
 - 基于Android的在线社交系统服务端的设计与实现外文翻译资料
 - 基于Spring-boot微服务框架的学生成绩分析系统的设计与实现外文翻译资料
 - 用于生成计算材料科学文献中使用的方法和参数的数据库的自动化工具外文翻译资料
 

        
            
