牵引力耦合式混合动力转矩分配策略研究毕业论文
2020-04-12 09:08:51
摘 要
本文通过对现有的混合动力汽车结构和各种控制策略进行研究后,通过合理的选择混合动力汽车的各重要组成部件对现有的内燃机车辆进行改造,将其改造为混合度为52%的重度混合动力汽车。
使用AMESim软件建立牵引力耦合式混合动力汽车(TTR)动力学模型并使用规则控制策略对车辆进行控制。利用Simulink软件建立VCU模型,将驱动模式分为纯电动模式、纯内燃机模式、混合动力模式和充电模式,将制动模式分为两种:制动能量回收和制动器制动。
通过AMESim与Simulink软件的联合仿真得出结论:经改造后的混合动力汽车不仅具有优于传统车辆的动力性能,而且在SOC上限为50%和SOC下限为20%时不仅能保证SOC始末变化外还能使燃油消耗降低39%。
关键字:混合动力汽车;控制策略;扭矩分配;AMESim与Simulink联合仿真
Abstract
After studying the existing structure and various control strategies of hybrid vehicles, this paper will transform the existing internal combustion engine vehicles into a mixture of 52% by selecting the important components of hybrid vehicles. Heavy hybrid cars.
The AMESim was used to modeling Parallel Through-the-Road Hybrid Electric Vehicles’s model and use a regular control strategy to control the vehicle. Using Simulink to modeling the VCU’s model. the drive modes are divided into pure electric mode, pure engine mode, hybrid mode and charging mode. The braking modes are divided into two types: braking energy recovery and brake braking.
Through the joint simulation of AMESim and Simulink, it is concluded that the modified hybrid vehicle not only has better dynamic performance than traditional vehicles, but also can not only guarantee the SOC change when the SOC upper limit is 50% and the SOC limit is 20%. It also reduced fuel consumption by 39%.
Key word:Hybrid vehicle; Control strategy; Torque distribution; Co-simulation of AMESim and Simulink
目 录
第1章 绪论 1
1.1研究目的及意义 1
1.2 国内外研究现状 2
1.2.1各国发展状况 2
1.2.2国内外学者研究现状 2
1.3研究内容 3
第2章 混合动力汽车简介 5
2.1混合动力汽车分类 5
2.2混合动力汽结构简介 6
2.2.1串联式混动结构 6
2.2.2并联式混动结构 6
2.2.3混联式混动结构 7
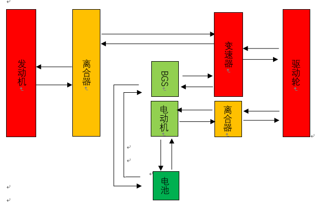
2.2.4牵引力耦合式混动结构 7
2.3本章小结 8
第3章 车辆动力学模型建模 9
3.1仿真软件简介 9
3.2建模方法 9
3.2.1前向建模 10
3.2.2后向建模 10
3.3车辆参数 11
3.3.1传统车辆参数 11
3.3.2混合动力参数 12
3.4 数据处理 12
3.4.1发动机数据处理 12
3.4.2 BSG数据处理 13
3.4.3驱动电机数据处理 13
3.5 整车建模 14
3.5.1动力学模型建模 14
3.5.2外部接口建模 16
3.6本章小结 16
第4章 控制模块建模 17
4.1控制策略的目的 17
4.2控制策略简介 18
4.2.1规则控制策略 18
4.2.2瞬时优化控制策略 18
4.2.3全局优化控制策略 19
4.2.4自适应路况预测控制策略 19
4.3 仿真软件简介 19
4.4驾驶员模型建模 20
4.5驱动模式 21
4.5.1纯电动模式 21
4.5.2纯发动机模式 21
4.5.3混合动力模式 21
4.5.4充电模式 22
4.5.5发动机启停模型 23
4.6制动模式 23
4.7驱动模式切换策略 25
4.7.1 25
4.7.2 27
4.8换挡控制策略 27
4.9本章小结 28
第5章 结果与分析 30
5.1车辆动力性能 30
5.2循环工况仿真 32
5.3燃油经济性对比 34
5.5本章小结 34
第6章 总结 36
6.1全文总结 36
6.2研究展望 36
参考文献 37
致谢 40
第1章 绪论
1.1研究目的及意义
随着汽车工业的迅猛发展, 汽车保有量迅速增加, 石油资源的逐渐枯竭和环境污染等问题给人们带来前所未有的挑战,因此大力发展新能源以及节省能源、降低排放变得尤为重要。但是由于电池技术无法取得突破,电池的能量密度无法得到进一步提高使得纯电动汽车在续航里程和整车质量方面一直都处于劣势,因此混合动力汽车应运而生,相比于上面提到的两种汽车混合动力汽车具有以下优点:
1)与传统汽车相比,混合动力汽车的内燃机总是工作在最佳工作区域且可以避免怠速工况;
2)内燃机可工作在最佳工况区间,具有很好的经济性能和排放性能;
3)不需要与外部供电系统连接,续航里程得以保障的同时可以解决充电装置等问题;
4)电池组的小型化可以使车辆成本得以控制,相比于纯电动汽车,其比功率更高;
5)两种动力源特性可以互补,满足车辆动力性需求。
在当前的技术水平和生产条件下,混合动力结构是所有新能源汽车中最具有产业化能力和市场化前景的车型。混合动力汽车的两个驱动装置兼具燃油发动机长续航里程、能量补给方便等特点,又有电动机动态响应快、无污染和低噪声等特点,达到了发动机和电动机性能的最佳匹配。
混合动力从结构构架上分为串联式、并联式和混联式。并联式和混联式架构相对于串联式混合动力汽车具有更高的工作效率,但是在动力总成的布置形式方面以及动力总成的成本方面都处于劣势。本课题中的牵引力耦合式混合动力汽车是属于并联式架构中的一种,这种架构除了拥有并联式混合动力汽车能量利用率高等优点外,在整车布置形式和整车质量控制方面都具有一定优势。这种混合动力架构通过道路将两个动力单元的扭矩进行耦合,用这种形式代替机械扭矩耦合器,通过控制策略对扭矩进行分配。
限制混合动力汽车的三大技术关键-电动机、蓄电池和控制策略,控制策略决定着车辆动力分配,是决定车辆动力性和燃油经济性的关键。同时也是混合动力汽车的研究中研究范围最广、研究程度最深的技术之一,优秀的控制策略,可根据行驶工况以及驾驶员意图实时、合理的划分工作区间,分配动力输出,可显著提高发动机的燃油经济性以及发动机的工作效率,同时还可以维持电池荷电状态(state of change,SOC)平衡的目的以延长电池的使用寿命、提高整车能量利用效率。
1.2 国内外研究现状
1.2.1各国发展状况
中国国家专利局是世界上最早实现混合动力的技术概念和专利授权的公开的。。1997年1月27日国家专利局受理了我国第一个关于混合动力汽车的专利申请(混合动力这个中文名词及技术概念也是第一次使用)并于次年7月7日该项专利获得国家专利局授权并公开。目前我国各大汽车公司都在进行混合动力汽车的研发和生产工作,大多数以混合动力商用车为主,这种研发方向也非常符合我国国情,有利于我国新能源汽车的研究与发展。与此同时,新能源汽车作为未来汽车的必然发展方向,国家近年来给予的支持和鼓励也非常大。如《汽车产业发展政策》、《“十一五”汽车产业发展规划》等方针政策都在鼓励清洁汽车、代用燃料和汽车节油技术的发展。
从世界范围内来看新能源汽车的整个形势,日本是新能源汽车技术发展速度最快的几个国家之一,尤其是在发展混合动力汽车方面,日本居世界领先地位。目前世界上能够批量生产和销售混合动力汽车的企业,只有日本的丰田和本田两家汽车公司。1997年12月,首先在日本公司在市场上率先推出了世界上第一款可以批量生产的混合动力乘用车。到2012年为止,其所有的车型都将装上混合动力的发动机。日本车企在实现混合动力汽车的低排放、低能耗以及改进行驶性能方面目前位居世界的前列。
美国三大汽车公司只是小批量生产、销售过纯电动汽车,而混合动力和燃料电池电动汽车还未能实现产业化,日本的混合动力电动汽车在美国市场上占据了主导地位。美国能源部与三大汽车公司于1993年签订了混合动力电动汽车开发合同,进行为期5年的研发工作,并于1998年在北美国际汽车展上展出了样车。在此基础上,现已推出3款混合动力概念车。2004年,两公司对外宣布双方将在开发混合动力电动汽车的技术领域携手,共同推进此项技术的发展。
1.2.2国内外学者研究现状
在大的市场环境和政策下国内外对于此方面的研究非常广泛。隗寒冰[1]曾对国内外混合动力汽车的发展现状进行过调研,研究状况大致分为:硬件方面的研究和控制策略的研究。关于控制策略方面就目前已知的公开材料总结控制策略可总结为以下四种:基于规则控制的策略、基于瞬时燃油消耗最小化的瞬时控制策略、基于综合能耗最小化的全局优化控制策略以及基于道路工况的自适应控制策略[2]
周奇勋[3]等、武汉理工大学的黄妙华教授[4]、郑州日产公司 [5]、王庆年等[6]胡明辉等[7]学者对规则控制策略进行过研究,他们分别针对以车辆动力性为主要因素、考略电池的SOC平衡、考虑ISG介入等方面对特定情况下的混合动力汽车进行功能划分并对扭矩分配规则以及模式切换规则进行制定。秦大同,等[8]分别对不同工作模式下的系统的机械损耗进行测量并通过计算得到最优系统效率,根据得到的计算结果得到关于SOC 阀值、充放电曲线和发动机启停三个参数间对于模式切换的影响规律,对混合动力系统中开发的开关式控制策略进行优化处理。
以上是毕业论文大纲或资料介绍,该课题完整毕业论文、开题报告、任务书、程序设计、图纸设计等资料请添加微信获取,微信号:bysjorg。
相关图片展示:









