某型增压柴油机中冷器设计及优化毕业论文
2020-04-10 16:57:37
摘 要
近几年,汽车的排放问题一直是一个严酷的挑战。随着汽车工业的发展到相对于完善的水平,因为不可再生能源的短缺,人们的生活水平随着时代而上升,日益严重的环境污染逐渐成为了现在的大问题,而汽车则最为被人们所谈。汽车尾气排放越来越受到人们的重视。对于现在的局势,我们知道,汽车的排放需要经历许多严格的检查,而对于汽车的排放,我们可以用汽车的中冷器来优化汽车的尾气的排放,所以,汽车中冷器的设计已经成为我们的重点。对于涡轮增压中冷系统而言,汽车中冷器不仅对汽车发动机的工作效率有一定的帮助,而且显著降低污染物的生成,对现在的我们有大的好处。这对改善和优化发动机的动力性、经济性和排放性能具有重要意义。本文根据原始参数及设计要求,进行热力设计,确定增压中冷器的结构形式和几何参数,建立模型。然后对中冷器进行校核计算分析,优化设计参数,提高中冷器热力性能,减小流动阻力。
关键词:中冷器,CFD,压降,换热系数
Abstract
In recent years, the problem of automobile emissions has always been a severe challenge. With the development of the automobile industry to a relatively perfect level, due to the shortage of non-renewable energy, people’s living standards have risen with the times, and increasingly serious environmental pollution has gradually become a big problem, and cars are the most people’s talk. Automobile exhaust emissions are getting more and more attention. For the current situation, we know that automobile emissions need to go through many rigorous inspections. For automobile emissions, we can use the car's intercooler to optimize the emission of automobile exhaust gas. Therefore, the design of automobile intercoolers has become Our focus. For a turbocharged intercooler system, the intercooler in the car not only helps the working efficiency of the car engine, but also significantly reduces the generation of pollutants, which is of great benefit to us today. This is important for improving and optimizing the engine's power, economy, and emissions performance. In this paper, according to the original parameters and design requirements, thermal design, determine the structure and geometric parameters of the intercooler intercooler, and establish a model. Then, the intercooler is calibrated and analyzed to optimize the design parameters, improve the thermal performance of the intercooler, and reduce the flow resistance.
Key words: Intercooler, CFD, Pressure drop, Heat transfer coefficient
目录
摘要 I
Abstract II
目录 I
第一章 绪论 1
1.1 目的及意义(含国内外的研究现状分析) 1
1.2 研究的基本内容与方案 3
1.研究内容 3
2.拟采用的技术方案 4
第二章 汽车中冷器的模型的建立 5
2.1 中冷器的基本工作原理 5
2.1.1中冷器的基本工作过程 6
2.1.2 中冷器的类型、结构 6
2.1.3风冷式中冷器结构 7
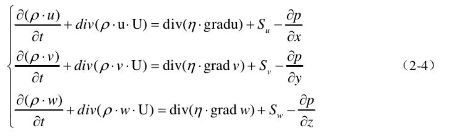
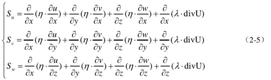
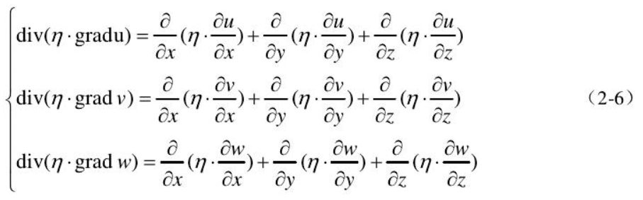
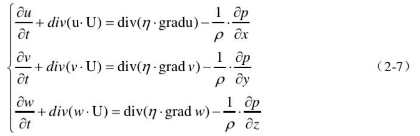
2.2 流体动力学基本控制方程 9
2.2.1 质量守恒方程 9
2.2.2动量守恒方程 9
2.2.3 能量守恒方程 11
2.3 中冷器模型的建立 11
2.3.1 中冷器模型的描述 12
2.3.2 中冷器散热芯体计算域模型的建立 12
2.3.3 中冷器百叶窗翅片的计算域模型的建立 13
2.3.4 网格的划分 13
2.3.5 中冷器的网格划分 14
2.3.6 边界条件的设置 14
2.3.7 中冷器散热芯体的边界条件 15
2.3.8 中冷器百叶窗翅片的边界条件 16
2.4 物理模型 16
2.5 计算参数 16
2.6 本章小结 16
第三章 汽车中冷器CFD仿真计算 17
3.1仿真计算的步骤 17
3.2 中冷器内部流场分析 17
3.3 本章小结 20
第四章 汽车中冷器的仿真优化 21
4.1汽车中冷器进排气管直径的优化分析 21
4.1.1 压力随中冷器排气管道直径的变化 22
1.1.2速度随中冷器排气管道直径的变化 22
4.1.3 汽车中冷器的优化结果分析 22
4.2 中冷器百叶窗翅片的优化分析 23
4.2.1 速度随中冷器百叶窗翅片多少的变化 23
4.3 中冷器百叶窗翅片的优化结果分析 24
4.4 本章小结 24
第五章 全文总结与展望 25
5.1 本文总结 25
5.2 展望 25
参考文献 26
致谢 27
第一章 绪论
1.1 目的及意义(含国内外的研究现状分析)
近年来,随着人们的发展,汽车对于人们的作用越来越大,而汽车的排放也是人们日益关注的重点,对与不可再生能源的不断减少,环境污染慢慢的变得恶劣,汽车尾气的污染对人们的影响越来越大,人们的重点开始向汽车的排放倾斜,人们重点关注于汽车的排放。发动机排放性能已成为汽车设计中重要的性能指标[1]。
为了符合最新的排放法规并使发动机减少污染物的排放,已提出了各种建议。人们日益认识到,能够满足越来越严格的环境法规以及CH,CO,NOX和烟尘等污染物在显着减少[2]。加压中冷大大改善了增压发动机的动力,经济和废气净化。对汽车工业的发展和能源环境的改善具有重要意义[3] [4]。
中冷器作为发动机的一部分,它非常重要,具有重要的作用。例如,它可以降低入口温度并增加空气密度,进而提高燃烧效率。 实验证明,安装中冷器可明显提高发动机功率; 同时,节油效果明显。 而且,还可以减少排放,保护环境。 因此,研究中冷器的工作性能是必要的。
与自然吸气式发动机相比,带有涡轮增压器发动机的汽车将产生高温充气。通过增加空气的压力,空气的温度将会升高,而空气的密度会下降。充入的空气需要冷却以在进入进气歧管之前获得较高的增压空气密度。当空气温度降低时,增压空气变得更密集,空气密度更高,为发动机高效运转提供了更多优势。中冷系统是涡轮增压器发动机冷却过程中的重要设备之一。中冷器系统的功能是在进气歧管之前冷却涡轮增压器出口的温度。在这项研究中,水被用作介质来冷却进气歧管之前的增压空气的温度,而不是使用作为中间冷却系统的基本介质的直接空气。液冷式中间冷却器系统类型是为了实现其日常生活中的实际应用而构造的,例如用于提高汽车的性能并且还用于节省车辆的燃料消耗。
在国内学者的研究中,康海军分析了各种翅片的传热性能和流动性能。发现换热性能和空气流量值受翅片间距的影响很大。在层流状态下,中间冷却器的散热片间距增加,散热片的传热性能降低,但其流动性能得到改善[5]。
李国祥等[6]通过CFD数值模拟方法对空气冷却器热侧通道的传热性能进行了更多的研究工作。研究发现,中间冷却器热侧的数值模拟结果与实验值吻合较好。
刘云刚对管鳍和分段中冷器进行了数值计算和实验分析。发现管翅式中冷器的传热性能优于管式中冷器的传热性能。但空气侧流阻损失更大[7]。
张力[8]和其他测试者对管带式空气冷却器和三种更普通类型的增强型中冷器之间的传热效率进行了比较分析。已经发现,管带增强中冷器在一定的阻力下具有更高的传热效率。
宋富强等基于不同位置的冷却空气速度矢量与翅片温度变化的协同作用,得出如下结论:当气流很小时,翅片场的温度变化程度和冷却空气的速度矢量都非常好[9]。
徐百平等提出了通过控制宏观流场对传热强化和流动阻力的数值模拟,并提出了一种适用于工程应用的方法[10]。
何国庚研究了不同数量的直翅片,并提出了冷却空气流量对不同数量翅片流动性能的影响。并得出以下结论:当翅片的数量少时,冷却空气的流动对翅片的性能有很大的影响;但是,随着翅片数量的增加,冷却空气流量对翅片性能的影响逐渐趋于稳定[11]。
张哲,李延中,田进进基于计算流体动力学(在当前的发展状况和流体力学软件本身的特点,指出了目前中国技术研究领域与国际先进水平的差距。并指出未来技术的研究方向。现在,技术已经超越了传统流体力学的应用范围,并已应用于航空和电力等领域。同时该技术也广泛应用于中冷器结构优化设计和转子叶片结构设计等领域[12]。
对于船用燃气轮机的快速机动性和中冷循环船用燃气轮机中冷器的动态时滞问题,基于转换单元的有效数量(ε-NTU)和集中参数建立了中冷器的动态仿真模型方法。该模型综合考虑了与温度有关的相关物理性质。详细分析了不同材质和冷却剂的中间冷却器在船用燃气轮机运行工况变化下的气体出口温度和压力以及冷却剂出口温度的动态响应特性。结果表明,材料和冷却液是影响中间冷却器传热和动态性能的重要因素。采用模拟退火算法得到的中间冷却器的传热和动态性能优于初步设计。
在国外,对于中冷器的一些研究,普遍的较早,而在这些年的不断探索与进步中,已经有了一些自己独特的见解。特别是在美国,日本,德国等发达国家,对于中冷器在汽车上的运用与研究已经到了比较高的地步了。有因为中冷器对于汽车的性能有一定的提升,特别是在减少排放污染与提高汽车的燃油消耗上有巨大的帮助,所以运用特别的广,在许多的汽车都有中冷器的作用在体现。对于汽车未来的发展,中冷器对于现在的汽车行业有着举足轻重的作用,涡轮增压中冷技术的发展将汽车行业带入了一个新的领域,使得汽车的经济学,动力学得到了加强,对大气的排放也降低了许多。所以,汽车的涡轮增压中冷技术在汽车行业的未来发展具有着重要的影响。在国外,那些发达国家对排放的要求非常高,而且还有着法律的监管,所以对于如何真正的提高中冷器的换热效率,提高中冷器的工作性能,国外的学者有着更多的建设,也被国内外的学者所关注。
对于中冷器翅片的分析,与国内学者一样,国外学者也进行着大量的研究与实验,并且得出了相应的成果。
Ehsan Khorasani Nejad[13]对于多目标遗传算法用于同时优化总成本率和总循环效率。包括中冷器和有/无空气预热器在内的两个工厂分别进行研究。据观察,在这两种情况下,高压压缩机中的空气压缩机压力比都高于低压压缩机,并且对于没有空气预热器的设备而言其差异更大。实际上,在空气预热器的情况下,空气压缩机压力比分别比理想值低8.5%,比LP压缩机和HP压缩机的理想值高9.5%。此外,在每种情况下的最佳情况下推导出中冷器压降在其有效性方面的相关性。
Stannely Engkuah[14]发现与自然吸气式发动机相比,带有涡轮增压器发动机的汽车将产生高温充气。通过增加空气的压力,空气的温度将会升高,而空气的密度会下降。充入的空气需要冷却以在进入进气歧管之前获得较高的增压空气密度。当空气温度降低时,增压空气变得更密集,空气密度更高,为发动机高效运转提供了更多优势。中冷系统是涡轮增压器发动机冷却过程中的重要设备之一。中冷器系统的功能是在进气歧管之前冷却涡轮增压器出口的温度。在这项研究中,水被用作介质来冷却进气歧管之前的增压空气的温度,而不是使用作为中间冷却系统的基本介质的直接空气。液冷式中间冷却器系统类型是为了实际上在日常生活中构造的,例如用于提高汽车的性能并且还用于节省车辆的燃料消耗。
Zhao, Xin,Grönstedt, Tomas[15]建立一个优化的中冷发动机是一个耦合问题,中间冷却器和发动机的概念设计必须同时考虑。传热和压力损失特性将取决于中冷器结构的选择。因此,为了能够优化中冷发动机的性能,在航空发动机优化的预期参数范围内必须知道给定中冷器结构的性能特征。在此,介绍了用于涡扇发动机应用的管式双通道横流中冷器结构的概念设计。使用中间冷却器管的多孔介质模型对内部流动进行模拟,而对连接管进行三维模拟分析,从而评估许多设计方案。用两维模拟处理外部流动,研究两个椭圆管叠层的外部压力损失和传热特性。然后通过开发降低的阶数相关性来涵盖涡扇发动机概念设计优化预期的参数范围,从而推广中冷器性能。这篇论文构成了第一次为航空发动机中冷器性能预测建立一个开放的文献全套相关性的工作。
1.2 研究的基本内容与方案
1.研究内容
以车用中冷器为研究对象,根据原始参数及设计要求,对中冷器进行模型的建立,之后进行数据的校核与分析计算,通过fluent软件分析并优化模型,优化参数,提高中冷器的散热效率与流动性能。
2.拟采用的技术方案
本文将采用以下的思路来进行中冷器优化与设计:
确定增压中冷器散热芯体的结构和百叶窗翅片的的结构形式和几何参数,通过catia软件来建立中冷器的模型,并对模型进行优化,简化分析 |
通过ANSYS分析软件里面的fluent对已经建好的模型进行分析,仿真计算 |
对中冷器进行校核计算分析,并对其中的参数进行优化与改进 |
对中冷器的结构参数进行改进,通过仿真分析的结果对其进行优化分析,并对结果进行总结 |
对前文一系列工作成果进行总结,得出本文的最终结论与未来展望; |
第二章 汽车中冷器的模型的建立
2.1 中冷器的基本工作原理
中冷器的原理是冷却进入涡轮增压器出口和进气管之间的气缸的空气。中间冷却器就像一个散热器,它被风冷却或被水冷却,空气的热量通过冷却逸出到大气中。试验表明,性能良好的中间冷却器可以能使发动机的压缩比保持在一定的值,而且中冷器可以对汽车的效率有一定的提高,还可以降低热空气的温度,达到冷却的作用,增加进气压力的大小,对有效功率有大的提高。

图2.1 中冷器的工作原理
对于中间冷却器,它的的作用是降低发动机的进气温度。但是,降低进气温度对汽车的行驶有什么作用呢,我们为何要降低进气温度呢?
(1)发动机排出的废气的温度非常高,通过增压器的热传导会提高进气的温度。而且,空气在被压缩的过程中压力会升高,同时也导致增压器排出的空气温度升高,随气压升高,但氧气密度降低,从而影响发动机的有效充气效率。如果想要进一步提高充气效率,就要降低进气温度。有数据表明,在相同的空燃比条件下,增压空气的温度每下降10 ℃,发动机功率就能提高3%~5%。
(2)中冷器的作用主要是冷却涡轮增压的空气,而当涡轮增压之后的空气没有直接通过中冷器而直接进入到下一个循环时,这样会对发动机产生巨大的损害,不仅仅是降低发动机的效率,严重时还会产生爆震,同时生成的污染气体也会增加,对空气造成污染。所以对于这样应该的情况,我们应该设置一个中间冷却器来降低进气温度,以至于抹除增压空气给我们带来的不良影响。
(3)减少发动机燃料消耗
以上是毕业论文大纲或资料介绍,该课题完整毕业论文、开题报告、任务书、程序设计、图纸设计等资料请添加微信获取,微信号:bysjorg。
相关图片展示:









