温度对污泥热解过程中重金属迁移的影响毕业论文
2020-06-19 22:19:30
摘 要
污泥,既是现代城市污水处理的废弃物,又是一种可以利用的生物资源。随着城市污水效率的提升,污泥的排量也激增,对环境造成的污染问题日益严峻,这使得污泥处理成为了当前现代城市面临的最为迫切的需求。当前污泥处理采取的主要工程途径就是充分利用其富含的有机物和热值的特点,在降解其污染性的同时使其成为一种有益的资源。热解法作为目前最广泛的资源化污泥方法之一,具有经济性好,二次污染小及能量回收率高等特点。污泥热解产物之中,重金属的去留也受到了广泛的关注。本研究立足于从温度对污泥中重金属迁移的影响的角度,对污泥在高温下的热解,气化以及后续产物进行研究,主要内容和结论如下:
采用管式炉热解装置,研究了不同含水率,不同生物质配比,不同温度的污泥热解实验。在实验同时进行了HSC模拟,绘制出不同条件下重金属的迁移曲线图。
对数据分析后我们可以得出,重金属高温热解的后绝多数产物为重金属蒸汽,而且大多数重金属在污泥中以氯化物,硫酸化合物两种形式存在。
关键词:污泥 热解 重金属 温度
Abstract
Sludge is not only a waste of modern municipal wastewater treatment, but also a kind of biological resource that can be used. With the improvement of municipal wastewater efficiency, the displacement of sludge increases sharply, and the environmental pollution problems are becoming more and more serious. This makes sludge treatment become the most urgent demand of modern city. At present, the main way to deal with sludge is to make full use of its rich organic matter and calorific value. It can be a useful resource while degrading its pollution. Pyrolysis, as one of the most widely used methods of sludge recycling, has the advantages of good economy, small two pollution and high energy recovery rate. The fate of heavy metals in the pyrolysis products of sludge has attracted extensive attention. This study is based on the influence of temperature on the migration of heavy metals in sludge. The pyrolysis and gasification of sludge at high temperature and subsequent products are studied. The main contents and conclusions are as follows:
The pyrolysis of sludge with different water content, different biomass ratio and different temperature was studied using a tubular pyrolysis unit. At the same time, the HSC simulation was carried out, and the migration curves of heavy metals under different conditions were plotted.
After analyzing the data, we can conclude that most of the products of heavy metal pyrolysis are heavy metal vapor, and most of the heavy metals exist in the sludge in two forms: chloride and sulfuric acid.
Keywords: sludge pyrolysis, heavy metals
目 录
摘要 I
Abstract II
第一章 绪论 2
1.1 研究背景 2
1.2 国内概况 2
1.3 国外研究概况 5
1.4 研究意义和内容 5
第二章 实验部分 6
第一节 热解实验 6
2.1 实验原料 6
2.1.1 成分分析 6
2.1.2 热解实验装置 7
2.1.3实验步骤 9
2.1.4 实验条件 10
2.1.5数据处理 11
第二节模拟实验 12
2.2化学热力学平衡 12
2.2.1计算原理 12
2.2.2 HSC Chemistry 6.0软件介绍 13
2.2.3计算条件 13
2.2.4数据分析 14
第三章结果与讨论 16
3.1 污泥热解产物气象分析 16
3.1.1温度对热解三相产物的影响 16
3.1.2 含水率对热解三相产物的影响 17
3.1.3 不同配比生物质对热解三项产物的影响 19
3.2 模拟数据分析 20
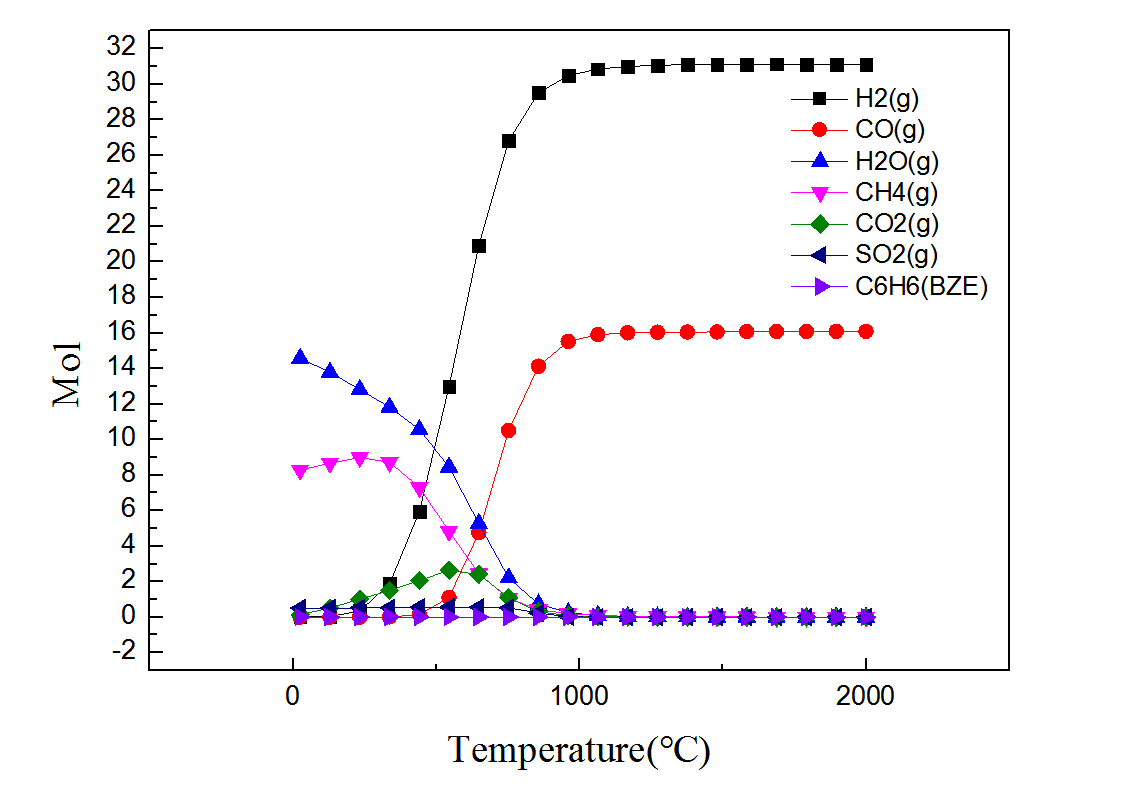
3.2.1 温度对气体组分的影响 20
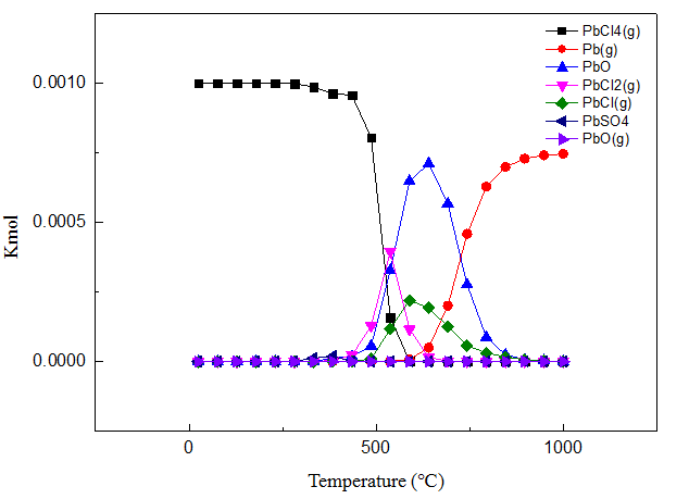
3.2.2 温度对污泥中重金属迁移特性分析 21
第四章 结论与展望 28
4.1 结论 28
4.2 展望 28
参考文献 29
致 谢 31
第一章 绪论
1.1 研究背景
在城市化历程加快和生产力发达的今天,人们愈来愈关注我们所面临的环境问题,其中由于城市化和生产产生污泥废弃物的利用更是引起来研究者的广泛关注。
污泥,既是现代城市污水处理的废弃物,又是一种可以利用的生物资源。随着城市污水效率的提升,污泥的排量也激增,对环境造成的污染问题日益严峻,这使得污泥处理成为了当前现代城市面临的最为迫切的需求。当前污泥处理采取的主要工程途径就是充分利用其富含的有机物和热值的特点,在降解其污染性的同时使其成为一种有益的资源。热解法作为目前最广泛的资源化污泥方法之一,具有经济性好,二次污染小及能量回收率高等特点。在热解时,重金属的迁移特性也成为环境科学的研究重点。
1.2 国内概况
武雁榕[1]等人利用仪器分析法对不同条件下城市污水污泥析出的滤液进行分析,他们发现在酸性条件下除Cr外,其他重金属元素含量相比于中性和碱性条件下高出许多。
而王涵[2]则针对在不同条件下对污泥进行固化处理,从而对重金属进行分析研究,因为在一般研究过程中,除了使用特殊模拟软件外,我们基本上很难从实验过程中得到实时的数据。而针对同条件下的污泥固化则是相当于在实验过程中定点取样手段。用种手段来保持重金属在取样时的状态。通过对污泥固化物的分析,发现在污泥中最容易析出的重金属为Pb,Ni为最难析出的重金属,而其他重金属析出难易度排序为Zn,Cr,Cu,Cd。
相关图片展示:









