热天平上城市固体废弃物热解特性研究毕业论文
2020-06-19 22:19:27
摘 要
随着城镇化水平的提高,工业生产以及日常生活产生了大量的城市污泥。现有的污泥处理方式不仅造成资源浪费,同时破坏了生态环境。污泥热解作为一种新型处理污泥技术,有着无害化和高效化等优点,越来越得到相关研究人员的重视。
本实验研究了污泥与松木屑不同配比、是否加入催化剂等因素对污泥热解特性的影响;采用Coats-Redfern法计算污泥与松木屑不同配比和是否加入催化剂条件下的活化能。
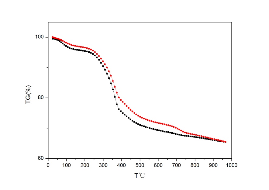
结果表明,污泥热解主要分为三个阶段:干燥(lt;180℃)、挥发分大量析出(180℃~550℃)和炭化阶段(gt;550℃);污泥与松木屑不同配比对污泥热解的最终失重率的影响较为明显,对污泥热解的各阶段的温度范围影响不是很明显。在加入CaO作为催化剂后,整体对热解过程有抑制作用,但对焦炭燃烬阶段有催化作用。
关键词:污泥热解 热分析 活化能 催化剂
Thermal analysis of carbon based materials
ABSTRACT
With the improvement of the urbanization level, a great deal of municipal sludge has been produced in industrial production and daily life. The existing sludge treatment methods not only cause waste of resources, but also destroy the ecological environment. As a new sludge treatment technology, sludge pyrolysis has the advantages of harmlessness and high efficiency. More and more researchers pay attention to it.
The experimental study on the sludge and pine sawdust in different proportions, whether adding catalyst influences on the pyrolysis characteristics of sludge and sludge; calculation of pine sawdust of different ratio and adding the activation energy of catalyst by Coats-Redfern method.
The results show that the sludge pyrolysis is mainly divided into three stages: drying (lt;180 ℃), a large number of volatile precipitation (180℃ ~550 ℃) and carbonization stage (gt;550℃); sludge and pine sawdust with differentproportions of sludge in the final weight loss rate effect is obvious, the temperature range of the effect of sludge pyrolysis stage is not very obvious. After adding CaO as catalyst, the whole has an inhibitory effect on pyrolysis process, but it has catalytic effect on coke burnout.
Keywords: thermal analysis of sludge;activation energy; heavy metals
目录
摘要 I
ABSTRACT II
第一章 绪论 1
1.1城市固体废弃物的现状分析 1
1.2污泥处置的现状分析 2
1.3 污泥现有的研究方法 4
1.4污泥热分析的现状 5
1.5本文主要研究内容 5
第二章 实验部分 6
2.1 实验设备介绍 6
2.1.1 实验原料和条件 6
2.1.2 实验装置 7
2.1.3 实验步骤 7
2.1.4数据处理 8
第三章 结果与讨论 12
3.1 污泥热解特性分析 12
3.1.1 TG-DTG分析 12
3.1.2木屑占比对污泥热解特性的影响 13
3.1.3加入催化剂对污泥热解特性的影响 15
3.1.4不同配比的污泥加入催化剂(CaO)后对热解吸放热的影响 15
3.2 污泥热解动力学研究 18
第四章 结论与展望 28
4.1 结论 28
4.2 展望 29
参考文献 30
致 谢 32
第一章 绪论
1.1 城市固体废弃物的现状分析
改革开往以来,随着中国经济迅速发展,工业化和城市化进程进一步加快,能源短缺与环境污染问题日益严重[1]。由于其种类趋于复杂化和多样化,因此在处理这些固体废弃物时必须考虑资源化、减量化、无害化[2]。在固体废弃物中污泥是典型代表,本论文就是选取污泥为主要研究对象。
1.2 污泥的处置现状
在农田上处理市政污水污泥,意味着节约矿物肥料,节约可持续的资源磷;可以将这种回收管理视为对可持续区域发展的贡献。然而,污泥的使用意味着污染物的大量释放。因此,在中国和国际上,这是一个有争议的问题,因此需要在区域情况下进行重新评估。考虑到粪便中的磷含量,区域规模回收模式的潜力与农业污泥的实际使用情况不符。处理企业回收利润最多的污泥。通过最小化交易成本,可以补偿较大的回收距离。磷回收的潜力有限。计算的全国农业用地量不超过耕地总需磷量的10%,所以对国民经济的益处不太重要[3]。另一方面,污染物主要排放到土壤中,除了铜和镉之外,污水污泥的排放量高于矿物肥料和肥料。此外,内分泌干扰物污染物的风险难以估计。关于净生态效应,污水污泥的热利用,例如在熟料厂,燃煤电厂或垃圾焚烧厂,再加上以前或附加的煤渣回收,符合可持续材料流动标准,而不是用于耕地。尽管这些处置方案仍然比较昂贵,但法律引起了废物市场的调整,更严格的土地使用规定将降低其价格差异。这将使从农业到污水污泥热回收的中期变化成为可能,以避免土壤影响,实现可持续发展的要求[4]。目前对污泥的处理方式主要有以下几种:
(1)污泥焚烧
相关图片展示:









