螃蟹表面微结构特征分析研究毕业论文
2020-02-19 09:17:18
摘 要
海洋附着生物通常也称为海洋污损生物(是指浸入海水中的一切材料表面上生长的动、植物和微生物的总称)。海洋污损生物对材料表面所造成的不良危害称为生物污损。海洋污损生物的危害主要体现在它破坏了船体表面材料结构,加剧了船体表面的金属腐蚀,同时由于大量的海洋污损生物的附着,船舶航行时的阻力就会增加,从而导致船舶航速的降低,增加了燃料的消耗,船舶航行的灵活性也就大大降低。此外,如果污损生物粘附在船舶管道或者螺旋桨上带来的后果将会是极其严重的,因此,对船体表面海洋污损生物的有效防除是非常重要的。
但目前对海洋污损生物的防除主要是通过在浸没海水的船壳上涂防污涂料才实现的,但常用的防污漆都有毒、污染环境,使海洋生物畸变,同时也危及人类自身的安全。自然界中,很多海洋生物自身就具有防止污损生物附着的特性,研究较多的鲨鱼和海豚能等通过自身表皮的微结构保持表面清洁,这为构筑微结构防污涂层提供了重要的参考。
受此启发,论文选取螃蟹作为研究对象,不同于鲨鱼和海豚在海水中高速游动而且有粘液分泌,螃蟹一般静止在海洋岩石缝隙中,即使爬行也较为缓慢,表面无粘液渗出,选择螃蟹作为仿生对象,符合船舶污损一般发生在静止停泊状态这一实际情况。本文以螃蟹为仿生对象,采用反应离子刻蚀手段加工出了仿螃蟹表面的凸起结构,并做了接触角测量实验和硅藻粘附防污实验,印证了螃蟹表面微结构具有防污功能的推论。
关键词:海洋污损;微结构防污;微结构仿生;螃蟹
Abstract
Marine attached organisms are also commonly referred to as marine fouling organisms (referred to as the generic term for animals, plants and microorganisms that grow on the surface of all materials immersed in seawater). The harmful effects of marine fouling organisms on the surface of materials are called biofouling.The hazards of marine fouling organisms are mainly caused by the destruction of the material structure of the hull surface and the metal corrosion on the surface of the hull. At the same time, due to the adhesion of a large number of marine fouling organisms, the resistance of the vessel during navigation will increase, which will result in ships The reduction of speed will increase the consumption of fuel and the navigational flexibility of ships will be greatly reduced. In addition, if the consequences of contaminating organisms adhering to the ship's pipelines or propellers will be extremely serious, the effective control of marine fouling organisms on the hull surface is very important.
However, the control of marine fouling organisms is mainly achieved by coating antifouling paint on the hull of submerged seawater. However, commonly used antifouling paints are poisonous, pollute the environment, distorting marine life, and endangering humans themselves. Safety. In nature, many marine organisms have their own characteristics to prevent the attachment of fouling organisms. The more studied sharks and dolphins can maintain the surface cleanness through the microstructure of their own epidermis, which provides an important reference for the construction of microstructure antifouling coatings.
Inspired by this, the paper selected crabs as research objects. Unlike sharks and dolphins swimming at high speed in the sea and having mucus secretion, crabs are generally still in the cracks of marine rocks. Even if crawling is relatively slow, the surface is mucous-free and crabs are selected. As a bionic object, it is consistent with the fact that the ship's fouling generally occurs in the stationary parking state. In this paper, the protruding structure of crab surface was machined by reactive ion etch with crab as bionic object, and the contact angle measurement experiment and diatom adhesion antifouling experiment were carried out, which confirmed the inference that crab surface microstructure had antifouling function.
Key Words:marine fouling;topography antifouling;topography biomimetic;crab
目录
第一章 绪论 1
1.1 论文研究背景 1
1.1.1 海洋防污的背景 1
1.1.2 海洋生物污损的形成过程 1
1.1.3 海洋防污技术的发展史 2
1.2 研究现状 2
1.2.1国外研究现状 2
1.2.2国内研究现状 3
1.3研究的基本内容 3
第二章 螃蟹表面微观形貌观察 5
2.1 扫描电子显微镜(SEM) 5
2.2 螃蟹样品的选取 6
2.3 扫描电子显微镜观察螃蟹表面形貌 6
第三章 仿生结构的设计加工与接触角测量 8
3.1 仿生结构的设计与加工 8
3.1.1 仿生结构的设计 8
3.1.2 仿生结构的加工 8
3.2 加工样本的观测 9
3.2.1 实验仪器 9
3.2.2 观测成像 10
3.3 接触角测量 10
第四章 仿生微结构的防污性能测试 13
4.1 实验材料与设备 13
4.2 具体试验方案 13
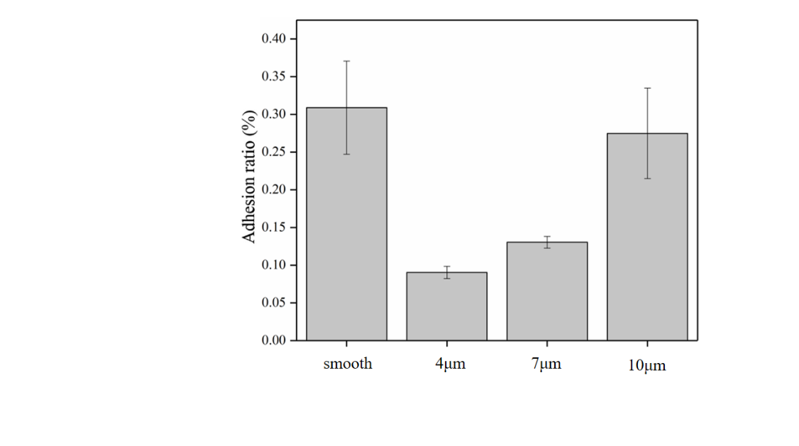
4.3 防污结果分析 16
第五章 结论与展望 18
5.1 研究结论 18
5.2 展望 18
参考文献 19
致 谢 21
第1章 绪论
1.1 论文研究背景
1.1.1 海洋防污的背景
广阔无垠的海洋蕴藏着无法估量的资源,是大自然对人类的恩赐。人类对海洋的探索始于数千年前,如今开发和利用海洋资源已成为许多国家的重要发展战略。然而,海洋工业和海洋活动都不可避免地遇到海洋生物污损(Marine biofouling)这一问题。海洋生物污损是指海洋微生物、植物和动物在浸没于海水的表面上吸附、生长和繁殖所形成的生物垢[1, 2],它会给船舶、核电站和采油平台等海洋工程装备造成巨大的危害[3-6]。例如:船体由于海生物的附着而变得粗糙,同时重量增加,造成航行阻力和燃油消耗的显著增加,导致每年数十亿美元的经济损失和温室气体排放量的上升。藤壶等海生物的分泌物还会诱导、加速设备金属表面的腐蚀,导致其强度下降而造成安全隐患,缩短设备服役期。污损生物还可能堵塞输送海水的管道,严重影响海水蓄能电站、核电站和潮汐发电机组等重大设施的正常运行。在海产养殖网笼中,被堵塞的网孔难以充分交换营养物及氧气,造成鱼虾等养殖物的死亡。此外,附着在船体的海生物还可能入侵到新的海域并与原有的生物形成竞争,影响生态平衡。
1.1.2 海洋生物污损的形成过程
关于海洋生物污损的形成,根据目前最为广泛接受的理论[7],这个过程通常经过四个阶段。一个表面在浸没在海水后的数分钟内就会被蛋白质,多糖和糖蛋白等大分子所粘附,形成基膜,这是第一阶段。随后细菌在基膜上附着繁殖形成生物膜,因为浮游细菌是通过范德华力和静电相互作用等弱作用力在基膜上附着的,因此这过程一开始是可逆的。但随着细菌开始分泌胞外代谢物,细菌的附着变得牢固,这是第二阶段,可在数小时内完成。在第三阶段,由于生物膜为硅藻孢子等多细胞的小型污损生物提供了良好的生存条件,使表面在几天内覆盖着黏液层。最后,藤壶、贻贝、苔藓虫、盘管虫和大型藻类等种类繁多的大型污损生物附着生长,此过程可在一两个月内完成,可覆盖材料表面数年之久。
然而上述过程并不是一成不变的,几个过程之间没有必然的先后性。另外,由于海洋生物的物质多样性及复杂的习性,上述理论仅适用于部分污损生物,而大型绿藻石莼的孢子和纹藤壶的幼虫可在无生物污垢的表面浸泡海水几分钟内附着,无需生物膜和黏液的存在。污损生物的附着生长很大程度上受温度、酸碱度、盐度、水流速度和基底种类的影响,这些极其复杂的因素给了海洋防污巨大的挑战,特别是对静态条件下服役的海洋设备(采油平台和停航时的船舶等)而言,污损生物很少受强水流的冲刷,更易在设备表面积累,长效的防污效果极难达到。
1.1.3 海洋防污技术的发展史
自人类开始探索海洋以来,海洋生物污损带来的问题一直困扰着我们。19世纪以前,人们利用蜡、焦油、沥青、砷和硫磺等制备防污涂料,或利用铜、铅等延展性金属来包覆木船以减少海生物附着[8]。但随后铁船的问世使得金属包覆技术逐渐被舍弃,因为钢铁的腐蚀会由于铜的存在而加速。但对铜腐蚀的研究中人们发现了铜离子具有污损阻抗性,因此人们将以氧化亚铜或硫酸铜作为防污剂,搭配氯化橡胶和松香等基体树脂制备防污涂料。1950 年代,具有高效性和广谱性的有机锡开始取代铜化合物作为防污毒料,而 1970 年代更是出现了接枝有机锡基团的丙烯酸锡酯树脂,配合氧化亚铜使用,由锡酯键水解释放的有机锡基团和铜离子赋予了涂料优异的防污效果,是划时代的防污技术。然而人们发现有机锡会在鱼、贝壳及植物体内长期积累,造成生物体的遗传变异,严重破坏海洋生态系统。因此,国际海事组织(IMO)在2008 年宣布全球范围内禁止使用有机锡类涂料。在此之后,研究者开发出许多相对环境友好的防污材料,包括防污剂(无锡)释放型涂料、污损脱附型涂层(Fouling release coatings, FRC)、生物降解高分子防污材料和仿生防污材料等。
1.2 研究现状
由于具有微结构的表面特有的作用机理及潜在应用前景,近年来,越来越多的实验、理论分析和数值模拟研究相继展开,同时随着微观流体力学、数值计算软件和计算机可视化开发技术的迅速发展,为揭示其防污机理,研究者对具有微结构的表面做了深入、细致的研究。目前,在实验方面,国外对含微结构表面的防污性能已开展了广泛深入的研究,而国内对此方面的研究处于刚刚起步阶段。在理论研究方面,国内外从微结构方面防止微生物附着的内在机理研究尚未深入展开。在实验研究方面,许多学者仿照鲨鱼表皮制造出含微结构的表面材料,测试其防污性能。
1.2.1国外研究现状
Brennan研究团队仿照鲨鱼皮微结构研制出含微观形貌的PDMS表面(Sharklet AF),研究结果表明,此类微结构材料可减少藻类、藤壶等污损生物约85%的附着率[9,10]。Rosenhahn等研究了含微结构的多壁碳纳米管、氟硅共聚材料表面的防污性能[11],实验表明含微/纳米结构表面能够有效减小藻类等的附着。Petronis等通过光刻技术制作出含沟槽和金字塔微结构的聚二甲基硅氧烷(PDMS)材料,在瑞典海岸实地测试藤壶在其不同尺寸微结构表面的附着情况,发现深69µm、宽97µm的沟槽在减少藤壶附着性能最为有效,且沟槽微结构比金字塔微结构更不易让藤壶附着[12]。Scardino等研究了贝壳表面微结构对污损生物附着的影响[13],在同一海域测试了四个不同的紫贻贝和珍珠贝样本,发现紫贻贝表面附着的微生物较少,表明贝壳表面微结构对污损生物附着有较大影响。同时研究了表面纹理形貌与抗污性能间的关系,发现随表面轮廓偏斜度的减小,表面粗糙度变高,表面抗污性能变弱。Hoipkemeier-Wilson等利用化学修饰的PDMS材料,研究了表面微观形貌对石莼孢子附着和脱落的影响[14],将微结构设计为高5µm、宽5µm的柱体与脊肋,间距分别为5、10和20µm,通过实验发现宽、深均为5µm的微观形貌显著降低了孢子附着密度,5µm以上间距的通道更易附着孢子;水槽湍流实验表明,PDMS油改性的光滑表面及含柱体的微结构表面均明显降低了孢子的附着。Carman等模仿鲨鱼皮表面微结构,设计了具有圆柱、脊状及仿生微貌的三种表面[15],实验发现具有仿生微结构的表面最大可减少85%的石莼附着。
1.2.2国内研究现状
目前,国内在此方面开展的工作主要有:百安百科技公司仿照鲨鱼表皮盾鳞结构研制出鲨刻烃涂层,该材料应用在船体表面可降低藻类、贝类及藤壶67%的粘附量;当行驶速度达4~5海里/时,可把附着在船体表面上的海生物清掉,实现船舶“自清洁”[16]。郑纪勇等采用PDMS翻模复制方法,研制出具有十字形柱状且错列分布的微结构[17],实验验证了其表面具有防止硅藻、石莼等微生物附着的功能。徐国庆制造并研究了具有微相分离结构的仿生防污涂层[18],通过摩擦力实验,证实其具有显著的减阻效果,并通过实际的海洋环境中挂板实验,测试了其较突出的防污性能。王贤荣[19]、马丽[20]等模仿荷叶表面双微观结构研制超疏水涂层,研究发现该涂层具有较好的自清洁性能。罗爱梅等利用扫描电镜观察了鲨鱼表皮结构形态,发现其微结构由许多排列紧凑的细小齿状鳞片构成[21],通过实验探究了其表皮的防污性能,认为合适比例的表面凸起与凹槽高宽比使得附着生物仅跨越在几个凹槽上,但是其附着点不能深入凹槽,由此造成微生物的附着不牢,从而实现表面防污性能。彭衍磊等利用先进的三维环境扫描电镜与视频显微镜对鲨鱼表皮的微观形貌进行了细致观察[22],并具体测量了微结构的尺寸。通过污损生物的附着试验发现,底栖硅藻等微生物难以牢固的附着在鲨鱼皮表面微米级的肋骨结构上,提出盾鳞的肋骨结构与流体动力学的共同作用是鲨鱼表皮防污的原因。
1.3研究的基本内容
船舶在海洋中航行,浸在海水中的船体水线下部位会受到污损生物的附着,给船舶营运带来巨大危害,不仅增加燃油消耗还加剧船体腐蚀,降低船舶经济性和安全性。传统的防污方法是在船体表面涂装防污涂料,涂料大多含有毒性,会对海洋环境造成危害。随着人们环保意识的逐渐增强,这种有毒的涂料必将会被时代所淘汰,研制新型环保的防污技术用于船体表面将会成为未来发展的趋势。自然界中,很多海洋生物自身就具有防止污损生物附着的特性,研究较多的鲨鱼、海豚和海洋贝壳能通过自身表皮的微结构保持表面清洁,这为构筑微结构防污涂层提供了重要的参考。
受此启发,论文选取螃蟹作为研究对象,不同于鲨鱼和海豚在海水中高速游动而且有粘液分泌,螃蟹一般静止在海洋岩石缝隙中,即使爬行也较为缓慢,表面无粘液渗出,选择螃蟹作为仿生对象,符合船舶污损一般发生在静止停泊状态这一实际情况。具体的技术路线和实施方案如下:
(1)选取连云港梭子蟹作为样本,采用扫描电子显微镜(SEM)对其表面形貌进行观察。
(2)基于观察得到的结果,对螃蟹表面进行结构仿生设计并加工,对加工样本进行观测。
(3)对所制备的样本材料进行抗菌性测试和表面润湿性测试。
第2章 螃蟹表面微观形貌观察
2.1 扫描电子显微镜(SEM)
扫描电镜(SEM)是介于透射电镜和光学显微镜之间的一种微观形貌观察手段,可直接利用样品表面材料的物质性能进行微观成像。扫描电镜的优点是,①有较高的放大倍数,20-20万倍之间连续可调;②有很大的景深,视野大,成像富有立体感,可直接观察各种试样凹凸不平表面的细微结构;③试样制备简单。 目前的扫描电镜都配有X射线能谱仪装置,这样可以同时进行显微组织形貌的观察和微区成分分析,因此它是当今十分有用的科学研究仪器。
扫描电镜(SEM)是对样品表面形态进行测试的一种大型仪器。当具有一定能量的入射电子束轰击样品表面时,电子与元素的原子核及外层电子发生单次或多次弹性与非弹性碰撞,一些电子被反射出样品表面,而其余的电子则渗入样品中,逐渐失去其动能,最后停止运动,并被样品吸收。在此过程中有99%以上的入射电子能量转变成样品热能,而其余约1%的入射电子能量从样品中激发出各种信号。如图2.1所示,这些信号主要包括二次电子、背散射电子、吸收电子、透射电子、俄歇电子、电子电动势、阴极发光、X射线等。扫描电镜设备就是通过这些信号得到讯息,从而对样品进行分析的。

以上是毕业论文大纲或资料介绍,该课题完整毕业论文、开题报告、任务书、程序设计、图纸设计等资料请添加微信获取,微信号:bysjorg。
相关图片展示:









