锂离子电池建模毕业论文
2020-02-18 11:03:10
摘 要
现如今,能源危机问题越发严重,大气和水污染问题也经常出现。为了追求更好的生活品质和环境,人们致力于寻找更加清洁、绿色的能源动力来解决这些问题。自从相关出台政策后,电动汽车的发展就进入了快车道,相关的动力锂离子电池的研究也受到人们重视。建立准确的锂离子电池仿真模型,对锂离子电池的研究工作来说至关重要。本文介绍锂离子电池的发展和相关模型的建立方法,比较各模型之间的优劣。然后选择一种锂离子电池建模的方法,通过参数辨识,搭建模型进行实验仿真。
首先,本文对锂离子电池的发展历程进行一个说明,分析其发展成为主流的动力电池背后原因和重大意义,作为研究本文的背景资料。
其次,作为研究的重点,针对已有的多种锂离子电池模型,介绍其建模原理和方法,让人们明白锂电池建模的研究这个概念,了解建模研究的意义以及各种模型之间的关系。
最后,为了更好地建立模型,通过实验室获取实验数据,利用最小二乘法算法,进行参数辨识得到所需的模型参数。选择RC等效电路模型建立锂离子模型,在Matlab软件仿真功能模块搭建模型,并进行仿真工作。获得仿真结果,并进行波形分析。
关键词:锂离子电池;MATLAB软件平台;RC等效电路;参数辨识;建模仿真
Abstract
Nowadays, the energy crisis is becoming more and more serious, and the air and water pollution problems often arise. In pursuit of a better quality of life and environment, people are committed to finding cleaner and greener energy sources to solve these problems. Since the introduction of relevant policies, the development of electric vehicles has entered the fast lane, and the relevant research on the power lithium ion battery has received people's attention. It is very important to establish accurate simulation model of lithium ion battery. This thesis introduces the development of lithium ion battery and the methods of establishing related models, and compares the advantages and disadvantages of each model. Then a lithium-ion battery modeling method is selected. Through parameter identification, the model is built for experimental simulation.
First of all, this thesis describes the development process of lithium ion battery, analyzes the reasons behind its development into the mainstream power battery and its great significance, as the background information of this research..
Secondly, as the focus of the research, the modeling principles and methods of various existing lithium ion battery models are introduced, so that people can understand the concept of lithium battery modeling research, understand the significance of modeling research and the relationship between various models.
Finally, in order to better establish the model, the experimental data are obtained through the laboratory, and the required model parameters are identified by the least square algorithm. RC equivalent circuit model was selected to establish the lithium ion model, and the model was built in Matlab software simulation function module, and the simulation was carried out. Simulation results are obtained and waveform analysis is carried out.
Key words: Lithium ion batteries; MATLAB software platform; RC equivalent circuit; Parameter identification; Modeling and simulation
目 录
摘 要 I
Abstract II
目 录 II
第1章 绪论 1
1.1 课题研究背景与意义 1
1.2 国内外研究现状 2
1.3 本文主要研究内容 5
1.4 论文结构 5
第2章 常见锂离子电池模型介绍 7
2.1 电学特性模型 7
2.1.1 等效电路模型 7
2.1.2 电化学模型 8
2.2 热模型 9
2.3 热电耦合模型 11
2.4 小波神经网络模型 12
第3章 锂离子电池参数辨识 14
3.1 参数辨识方法 14
3.1.1 最小二乘法 14
3.1.2 Trust-Region 16
3.2 参数辨识结果 17
第4章 锂离子模型建立 21
4.1 仿真模型原理 21
4.2 锂离子电池仿真模型模块介绍 21
4.2.1 等效电路模型 21
4.2.2 可变电阻电阻模块 22
4.2.3 Simscape充电电路 23
4.2.4 信号源模块 23
第5章 锂离子电池仿真模型结果 25
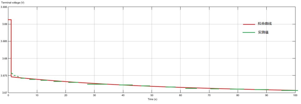
5.1 仿真结果说明 25
第6章 总结和展望 29
参考文献 31
致 谢 33
第1章 绪论
1.1 课题研究背景与意义
在2018年全球经济普遍遭遇寒冬的时候,中国的经济体量GDP仍然可以达到了90万亿元。伴随着经济的快速增长,我国的能源消费和生产数量都是一直排在世界前列。一直是市场上最大的买家,同时也是卖家。我国形成了较为完善的能源生产和消费体系,主要的能源包含着煤炭、石油、天然气新能源等成熟的能源品种。2018年,中国的煤炭的消费量达到了38.5亿吨,主要来源了巴西这个矿石生产大国,同比增长了1.4%,增速达到新高,超过1个百分点。清洁能源的天然气使用量达到2770亿立方米,同比增长了17.3%,作为的传统的石油能源的使用达到了6.1亿吨,同比也增长了3.4%。预计在2019年的经济增速下,我国的能源消费还是会达到新高[1-3]。
同时我国也是世界上第一大汽车市场,无论国产车还是进口车型。中国汽车工业协会发布的2019年中国汽车的产销说明。1月份的产销量比2018年的12月份有所下降。汽车生产量有236.52万,环比下降4.7%。同时的销量也有236.7万辆汽车,同比下降15.7%。汽车本来就是为了人们方便出行而产生的工业产品,缩短人们在路上消耗的时间。但凡事都有两面性,虽然汽车有诸多的便利,但是其消耗的汽油等能源产品,燃烧排放出来的二氧化碳和硫化物大大污染了我们的环境,使得环境和能源矛盾越发突出,人们一直寻找解决措施。各国都在追求更加清洁的能源,纯电动汽车也作为一种解决方案,得到了各国的支持而发展起来了。
我国在千年之始,就已经将新能源汽车作为可以解决汽车污染问题的一种措施,我国也将其相关的研究项目作为了国家‘863’项目之一。作为一个重大的科技课题,相关的研究院校和企业也越来越多了。新能源汽车的发展虽然得到了巨大的关注,同时也面临这巨大的挑战与机遇。动力汽车发展的核心关键技术,就是动力电池的研究。在这其中,锂离子电池因为其自身的优点,受到大众的关注,成为了混合动力汽车中的电部分和现在纯电动汽车的主流动力电池选项。
锂离子电池拥有诸多的优点,例如容量高、比容高、安全性好、价格低廉等等,同时也可以做到长寿命。这些优点使得它在电动汽车、信息的存储和电子设备等各种的工业电子领域和日常生活中的应用也越来越广泛。在新能源汽车的动力电池的研制与应用之中, 也要求锂离子电池拥有高的比能量和其更好的稳定性[4, 5]。
锂离子电池作为一个统一的系统,锂离子电池内部的电化学反应,是一个非线性的进程,这一点就使得其内部的参数和性能,难以被现有的仪器直接进行测量和捕捉。所以对锂离子电池建立精确的模型,这样就可以更好的研究锂离子电池的工作特性,为提高电池的使用效率打下仿真实验基础,从而达到延长锂离子电池使用寿命和提高性能的目的。锂离子电池的仿真模型得出的结果,可以为锂离子电池状态估算[6]和性能分析提供理论基础,例如电池荷电状态[7](State of Charge,简称SOC)。同时可以让人们更好的对锂离子电池进行一个科学的评价,以便实验提供理论数据的支持。一个正确的锂离子电池模型可以搭建起锂离子电池内部状态和外部特征之间的联系,帮助人们更好的了解锂离子电池的运行原理[8, 9]。
1.2 国内外研究现状
1970年,第一个锂电池出现的世界上,硫化钛作为锂电池的阳极材料,阴极材料就是金属锂,组合制成世界上的首个锂电池,发明人就是埃克森公司的M.S.WhitTIngham。而后锂电池也广泛的应用在生活之中,常见的正极用料就是二氧化锰,锂作为负极选材。这种组合成的锂电池只要按要求设计好之后,就会自动在系统产生电压,不需要进行充电操作。这种锂电池可以进行充电工作,但是也因为循环充放电效果不好,在充放循环的过程之中,因为会产生锂结晶,导致电池内部的短路,而损坏甚至爆炸。
锂离子电池(Li-ion Batteries)和锂电池有所不同。1992年,索尼公司使用炭材料作为电池负极材料,用金属锂化合物作为锂电池的正极材料,这种电池和之前工作方式有所不同,因为电池在充放电的过程,我们在系统里没有检测到没有金属锂,只有锂离子在电解液之中,因此这种新的锂电池就称作锂离子电池。
锂离子电池结构看似简单,主要由三个部分构成的,其一是进行氧化反应的阳极区域,其二是进行还原反应的阴极区域,第三个就是提供离子运动通道的电解质材料。在统一的整体之中时,锂离子就会在正负极材料之间所形成的嵌入化合物的锂状态和产生的电位差,通过电子的得失来实现充放电的过程,这是一个电化学的过程。锂离子电池因为其化学反应的过程特殊,我们也可以称之为“摇椅电池”,这是因为在锂离子电池的工作过程之中,我们可以发现锂离子在不断的进行嵌入和脱嵌[10]。我们现有应用比较广泛的锂离子电池材料就是正极是锂的氧化物,负极就是使用碳材料。
下列给出锂离子电极反应的一般式:
正极反应:
负极反应:
总的反应方程:
自从90年代开始,锂离子电池(LIBs)成功的进入了商业应用领域,到现在已经有很多的锂离子电池的能量密度和功率都跟不上现阶段的的需求。考虑到电池的成本问题,人们在致力于寻找更加优秀的倍率性能还有长循环寿命的结果。
最新研究表明,我们可以从电池的正极材料入手,使用纳米工程技术来增强转换型。其中的“转换反应”是Li 和过渡金属化合物(MaXb)之间的氧化还原反应,其中也涉及到高理论比容量的锂的二元化合物的形成和分解,通常,由M-X键的离子性确定的反应电位在相对于Li/Li 的0.5-1.0V的范围内,使得大多数过渡金属化合物都可以作为潜在的正极。
在这个等式之中,因为LinX的化合过程在我们热力学上是可行的。但是实验发现本体M粉末很难分解LinX,,因为化合物在电化学特性上是惰性的,难参与化学反应。因此,这个转化的可逆性的关键技术点,就是希望形成高电化活性的M纳米粒子,以分解由固体电解质中间相(SEI)层包围的LinX基质。其反应原子层面方程式如下图所示。
图1.1 等式原子示意图
利用这个纳米工程技术来增强转换型正极材料,提高电池能力密度。运用低维纳米结构、分层多孔纳米结构、空心结构和与各种碳质材料的杂交各种技术。纳米工程技术来增强转换型正极材料运用结构示意图如下图所示。
图1.2 主要运用的技术
锂离子电池即将进入更大规模的应用,各国政府也都在大力支持锂离子电池产业,我国也随之发布了一系列相关的政策,促进我国锂离子电池在内的新能源产业的良性发展。2017年,工信部联合多部委共同发布文件,在未来的5-10年间,促进锂离子电池产业的研制和发展。并在2020年实现商用。
讲到锂离子电池的仿真模型的建立,相关的研究探索也一直在进行之中。国内外建立的电池模型可以大致分为几种:
电学特性模型之中的一种,电化学模型可以从锂离子电池电解液,电极材料,隔膜材料之间的化学反应入手,用数学模型来反映化学变化的过程和离子浓度的变化。
数学分析模型可以根据人们长期以来的经验,来利用数学方程来反映锂离子电池大反应,将电池抽象出来[11]。
电气模型可以叫做等效电路模型,模型将电池的内部特性和外部特征用一系列电气方程来表达。
热模型,毫无疑问锂离子的工作时产生的温度,对电池性能寿命会有很大的影响,所以我们可以建立锂离子电池的热模型,常见的可以分为单状态集中参数热模型、基于偏微分方程的分布参数热模型等[12]。
热电偶模型,因为锂离子电池在工作的时候,电池温度和电学特性模型之间是相互作用,相互影响的。为了更好的解释这其中的关系,人们开发和建立了电热耦合模型。这些模型的介绍会在后续章节详细给出。
1.3 本文主要研究内容
锂离子电池拥有容量高、比容高、安全性好、价格低廉诸多有点,同时也可以做到长寿命。这些优点使得它在电动汽车、信息的存储、和电子设备等各种的工业电子领域和日常生活中的应用也越来越广泛。锂离子电池也从单纯的小容量,应用在一些电力电子设备上,到现在成为一个成熟的系统,可以达到复杂的规模,能够很好的解决电力系统的挑战。
本文的研究内容就是研究锂离子电池的建模工作,主要就是进行锂离子电池的研究,通过调查,查阅资料,寻找现有的锂离子电池的建模方法,选择合适的锂离子电池模型,进行实验室实验,获取实验数据,从而利用最小二乘法进行参数辨识,在PC环境下进行仿真工作,得到软件结果,检查是否符合设计要求[13]。具体的工作内容可以分为一下几点:
1.针对研究的锂离子电池建模,可以先对锂离子电池的发展历程做一个详尽的解释。
2.对锂离子电池的模型搭建进行说明,针对不同的建模方法进行说明,简单描述其工作原理和优缺点。
3.选择合适的锂离子电池模型,在实验室环境下获取实验数据,进行参数辨识,得到模型参数。借助电脑软件MATLAB/Simulink模块搭建所需的锂离子电池电路模型,得出仿真的波形数据。
1.4 论文结构
本文分六章进行论述,首先阐述了锂离子电池发展现状。然后介绍锂离子电池建模的不同方法,还有参数识别的方案。并选择Thevenin模型作为仿真的建模的基础,实现锂离子电池的建模,在该模型下进行充放电实验得到所需的端电压波形和SOC状态图。其主要内容分别如下:
第一章,论述背景及意义,简述锂离子电池的演变过程,还有国内外的研究现状,说明进行锂离子电池建模的意义和目标。
第二章,介绍常见的锂离子电池建模的方法,并且阐述它们之间的不足和优点。为后文进行锂离子电池建模做准备。
第三章,对锂离子电池的参数辨识做一个系统的介绍,了解不同的参数辨识方法,为锂离子电池建模提供实验基础和数据支持,进行参数识别获得模型参数。
第四章,所选的锂离子电池等效电路模型解释,针对每一个模块进行原理上的说明。
第五章,在Matlab仿真平台上锂离子电池模型进行相关实验,得到仿真结果并进行分析。
第六章,是对毕业设计过程的概述,反思其中的不足。
第2章 常见锂离子电池模型介绍
2.1 电学特性模型
电学特性模型,就是由理想元器件组成的电路,但是和实际电器元件达成效果上一致。就是针对实际电路的模型仿真,通过锂离子电池电学模型,我们可以给锂离子电池增加不同的负载情况下,然后通过示波器得出对应电压响应特性曲线。
2.1.1 等效电路模型
等效电路根据电路学知识。运用电路元器件,例如电流源、电感、电容,组成电路网络,这样可以将电池内部的反应和动态的电压特性,通过电路的输出表示出来。
因为电路模型是一种集中参数的办法,因此其中含有较少的参数,推导锂离子电池的状态空间方程的过程比较简单,计算量小,这也使得这类模型在系统仿真还有实时控制之中应用广泛。正是因为其采用的集中参数的方法,也因为其本质上还是缺乏真实的物理意义,因为只能对宏观的物理量进行检测,会影响电池管理工作,出现安全问题和保守性问题,我们可以通过大量的模型定标工作,来解决模型的有效性和鲁棒性问题。现有的等效电路模型有很多种,比如常见的RC模型、PNGV和内阻模型。
以上是毕业论文大纲或资料介绍,该课题完整毕业论文、开题报告、任务书、程序设计、图纸设计等资料请添加微信获取,微信号:bysjorg。
相关图片展示:







您可能感兴趣的文章
- 一种确定磁探针集总电路参数的标定方法外文翻译资料
- 一种人体可接触的大气压低温等离子体射流装置研究(适合电气B方向)毕业论文
- 氩氧中大气压DBD放电特性研究(适合电气B方向)毕业论文
- 大气压氩等离子体射流放电影响因素的仿真研究(适合浦电气B方向)毕业论文
- 含氧高活性均匀DBD改性聚合物薄膜研究(适合浦电气B方向)毕业论文
- 反应器结构对气液两相DBD放电特性的比较(适合浦电气B方向)毕业论文
- 南京某公司研发楼电气设计毕业论文
- 金帆北苑地块经济适用住房——02栋商住楼电气设计(适用于浦电气1004~06A方向学生)毕业论文
- 扬州人武部大楼电气设计毕业论文
- 金帆北苑地块经济适用住房——04栋商住楼电气设计(适用于浦电气1004~06A方向学生)毕业论文


