变电站电压无功优化策略研究与方案设计毕业论文
2020-02-18 10:50:43
摘 要
当今时代,我们已经无法想象离开电能该如何生存。从电的问世到如今各种工厂设备以及家用电器都需要电力来驱动,人们对于电能的需求越来越大。而电力网络也在相应地不断完善和发展,结构也越来越复杂。在这样一个背景下,电网公司承担着确保充足的电力供应以及供电质量安全可靠两个重要的任务。电压、频率和波形是衡量电能质量好坏的三个重要指标。而电压水平主要由系统中的无功功率所决定。但是地区级电网常常会出现无功功率不足的情况。这种情况常常会导致一些损失。因此,无功优化,提高电能质量是必要的。
本文根据某个地级市电网的实际情况,对该地区电力网络中各主要变电站的电压无功优化问题进行分析和研究。在明确目标函数,合理建模,选取适当的算法之后进行仿真和计算。在此基础上,对变电站内无功补偿设备的配置和AVC系统控制策略等方面提出适合该地区电网的无功优化相关改进与设计的方案。最后对整体的设计进行总结,对未来的应用进行展望。
算法上对简单遗传算法进行了寻优方式的改进。通过对比计算结果,发现这样可以帮助电网达到无功潮流的最优。另外,本文还提出了基于AVC系统分层分区的电压控制策略实现优化算法。通过观测其控制效果,发现它在控制补偿设备时更加科学、合理、有效。对于地区级电网的变电站无功优化问题,本文成功将对改进遗传算法的研究应用其中,并取得了一定成果。
关键词:地区电网变电站,电压无功控制,无功补偿,改进遗传算法
Abstract
In today's era, we can't imagine how to survive without electricity. From the advent of electricity to all kinds of factory equipment and household appliances need electricity to drive, people's demand for electricity is growing. The electric power network is also constantly improving and developing, and the structure is becoming more and more complex. Under such a background, the grid company undertakes two important tasks: ensuring adequate power supply and ensuring the safety and reliability of power supply quality. Voltage, frequency and waveform are three important indicators of power quality. Voltage level is mainly determined by reactive power in the system. However, reactive power shortage often occurs in regional power grids. This often leads to some losses. Therefore, reactive power optimization and improvement of power quality are necessary.
In this paper, according to the actual situation of a prefecture-level city power grid, the optimization of voltage and reactive power in the main substations of the power network in this area is analyzed and studied. After defining the objective function, modelling reasonably and selecting the appropriate algorithm, the simulation and calculation are carried out. On this basis, the configuration of reactive power compensation equipment in substation and the control strategy of AVC system are proposed, which are suitable for the improvement and design of reactive power optimization in this area. Finally, the overall design is summarized, and future applications are expected.
The algorithm improves the optimization method of simple genetic algorithm. By comparing the calculation results, it is found that this can help the grid to achieve the optimal power flow. In addition, this paper also proposes an optimization algorithm based on the voltage control strategy of hierarchical partitioning of AVC system. By observing its control effect, it is found that it is more scientific, reasonable and effective in controlling the compensation equipment.
Key words: regional power grid substation, voltage reactive power control, reactive power compensation, improved genetic algorithm.
目 录
第1章 绪论 1
1.1 变电站无功优化的背景及意义 1
1.2 国内外无功优化的研究现状及发展趋势 2
1.3 本文主要工作及章节划分 3
第2章 无功优化的模型建立及算法选取 5
2.1 某地区电网的运行现状 5
2.2 无功优化的数学模型 5
2.2.1 目标函数 6
2.2.2 约束条件 6
2.3 无功优化的算法比较与选择 7
2.3.1 传统算法介绍 7
2.3.2 人工智能算法 8
2.4 算法的选用和改进 10
2.4.1 算法的比较与选择 10
2.4.2 改进遗传算法的研究 10
第3章 AVC系统的设计应用 12
3.1 AVC系统的简单介绍 12
3.2 AVC系统的控制原理 12
3.2.1 AVC系统工作原理 12
3.2.2 AVC系统的控制方式 12
3.3 AVC系统的组成与结构特点 13
3.4 AVC系统的设计与实施 14
3.4.1 设计思路 15
3.4.2 具体实施方法 15
3.5 本章小结 17
第4章 变电站的无功优化设计 18
4.1 无功优化分析 18
4.1.1 潮流计算 18
4.1.2 改进遗传算法的无功优化 21
4.1.3 潮流优化的计算结果及数据分析 23
4.2 优化方案的制定 24
4.2.1 需要优化的问题 24
4.2.2 具体方案的制定 25
4.3 本章小结 26
第5章 结论 27
参考文献 29
附录A 改进遗传算法部分源程序 30
致 谢 35
第1章 绪论
十九世纪以来,电能开始投入应用,近两百年后的今天,电的使用已然成为了家常便饭。电能使得人们的生活发生了翻天覆地的变化。当今,人们对电力的需求越来越多,与之相对应的,电力系统也越来越完善,结构也更为复杂。在这样一个大环境的前提之下,电网公司不仅仅要保证充足的电力供应,更要确保供电质量的安全可靠。
在平时关注的一些有关电力系统的报道中,变电或者线路的故障常常由于电压水平不够而引起,而这些故障常常会给居民带来极大不便,给对电能需求非常大的工厂带来巨大损失。通过四年电气工程专业的学习,我了解到电力系统的电压水平是无功功率的重要决定因素,因此决定对地区电网的变电站无功优化进行研究并提出改进方案。
- 变电站无功优化的背景及意义
电力系统中电压质量是衡量电能质量的重要指标之一,而决定电压质量好坏的一个重要因素便是无功功率。当无功补偿不足时,系统电压会下降,有功损耗会增加,较为严重时会出现“电压崩溃”的现象。而无功补偿过剩时,系统的电压则会升高,这会对电力系统的安全稳定性造成一定的影响,例如造成大面积停电事故的发生。纽约大停电,法国大停电等历史上著名的大规模停电事故的原因都是无功不足引发电压偏移。由此可以得出,电力系统中无功功率和电压两个因素是紧密联系的。合理地控制电压,适当地进行无功补偿,可以有效的减少电力系统中的有功损耗,保证电压质量,从而保障电力系统运行的安全性,稳定性和经济性。
目前,改进电网中的无功功率是将电压稳定在一定范围之内最有效的方法。电压无功优化问题不仅仅关系着解决电网供需矛盾,也是改善电网运行经济效益的关键点。地区级电网可以将用户与电力网络联系起来,是高压输电网和低压配电网之间的重要环节。变电站连接着不同等级的电压网络,是发电厂和用户之间非常重要的一个环节。它的作用进行高低压变换,减少运输过程中的电能损耗,同时,也有接受和分配电能的作用。因此,对地区级电网变电站进行无功优化的必要性毋庸置疑。做好地区级电网变电站的无功优化,可以给用户提供优质的电能,也能有效减少用电设备的故障,减少电网运行不必要的损失,同时也可以保护环环境,节约资源[1-2]。
1.2 国内外无功优化的研究现状及发展趋势
近年来,国内电网的规模正在飞速扩大,功能不断完善木结构也日趋复杂。但是,在电网建设运行的前期,人们没有充分认识到无功功率的作用,因此对其不够重视。这就导致了当前在无功控制方面仍然存在一些问题。例如地区级电网在规划、建设和管理无功电源等方面做的不够完善,局部地区存在无功源不足、功率因数偏低、线损过高、电压不稳、无功的自动化控制程度不高等问题。而目前,电网和供电企业以及开始逐渐意识到作为服务行业,为买方提供优质的服务是很有必要的,因此已经逐步开始重视供电质量。因此,各企业纷纷在供电质量这一块加大投入,对无功进行更加合理而完善的布局与规划,使供电更加可靠。
前面已经提到,在电网运行的过程中,无功补偿不足或者过剩都会使电力系统出现安全隐患,严重时会导致大范围的事故。目前,电网在实际的建设和运行时,对于地区级220KV~110KV的电压无功问题,电网给予了充分的重视。由于科学合理的规划,其运行效果很好。但是在其他方面依然存在着一些缺陷。例如无功源配置不足的情况时常存在于一些地区110KV以下的电力系统中;无功功率调控设备建成之后却不投入使用的现象也时有发生,而有些变电站在小负荷高电压的运行环境下仍然安装大量的无功补偿设备。这都会导致资金,资源的浪费。因此,物尽其用,合理的装配以及投入使用是很关键的。
当前计算机技术迅速提高,在此基础之下,我国的电网自动化水平也随之日渐提高。各类高级应用软件如基于能量管理系统(EMS)与配网自动化系统(SCADA)得到广泛应用。以前靠人工很难完成的任务,如在线的实时负荷预测,发、输电计划的分配,网络拓扑的进阶分析,电力系统的状态估计,最优潮流的计算等,现在用SCADA系统就可以轻松完成。SCDAD系统在各地的应用可谓效果显著。目前,为了解决无功分配的问题,各地区级电网中都配备有VQC电压无功补偿装置。VQC的作用是对变压器分接头档位和电容器投切进行本地调节。但是其缺点也很明显,在解决单一变电站电压质量问题,提高设备利用率上,其效果显著。但无法控制整个地区范围内所有的电压无功水平。目前,AVC(电压自动控制系统)的应用可以有效解决这个问题。在国际上AVC控制模式可以分为一、二、三级电压控制模式,其分类依据是电网规模和系统的复杂程度。德国 RWE 公司设计推出的两级电压控制系统中,没有分区控制的理论。其基本方法是电力调控中心统一决策,以最优潮流计算当日的目标值直接下发到控制设备,完成全局的电压控制。这种控制方法是基于德国的具体情况而设计产生,德国本身不像我国一样地域辽阔,并且不同地区的发展存在差异,因此其没有采用分区方式。法国 EDF 系统采用的是三级电压控制模式,这是最早进行三级电压控制模式研究的单位,其研究工作始于上世纪 70 年代,到目前为止已经经历了三十余年的研究、开发和应用。这是当今为止国际上公认的、最为先进的电压控制系统。目前为止,我国是二级和三级并存的情况,具体根据各个地区的发展,人口密度等情况来应用[3-4]。
1.3 本文主要工作及章节划分
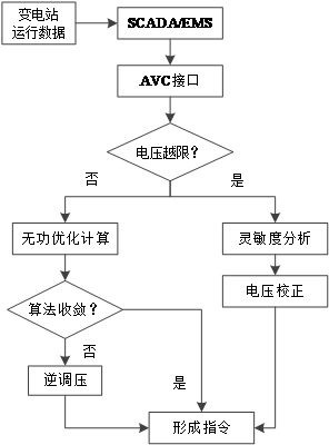
本文需要完成的主要工作任务就是结合某个地级市电网的实际情况,分析和研究该地区电力网络中各主要变电站的电压无功优化的相关问题,并合理的建模、仿真及计算。在此基础上,对变电站内无功补偿设备的配置和AVC系统控制策略等方面提出适合该地区电网的无功优化相关改进与设计的方案。流程图如图1-1所示。根据流程图,本文主要解决的技术问题分为四个方面,分别是控制目标和模型的建立,求最优解的方法实现,无功补偿的优化设计以及适合该地区的一个改进方案。
第1章主要讲述绪论以及该课题即地区级电网变电站无功优化的背景和意义,以及国内外目前在该领域的研究和应用现状。第2章做的是控制目标的选取和模型的建立,根据实际情况选取目标函数,建立恰当的模型。此外对潮流计算的各种算法进行了介绍,并对其进行选取和改进,选择可以实现潮流最优解的算法。第3章主要对AVC系统的功能、结构和控制手段进行了一些介绍和研究。作为本次研究和设计所选区的重要控制系统,应当对其有一个全面且深入的解,
才能进行正确的应用。第4章则将前面所建立的模型,选取和改进的算法应用到该地区的电网变电站实际情况中,通过获取的数据进行计算,得到潮流最优解并设计出适合该地级市电网的无功优化方案,最终达到对该地区的电压水平、电能质量进行改善的目的。最后对前面的工作进行总结并对无功优化方面的未来进行展望。

图1-1 本文的主体流程图
第2章 无功优化的模型建立及算法选取
电力系统无功优化的概念可以阐述为:给定电力系统的结构,运行方式以及负荷参数之后,通过控制变压器的变比、发电机的节点电压或者无功补偿的容量这些系统变量来进行无功优化,使系统在满足相关约束条件的情况下能达到电网无功的最优运行状态。无功优化的实质是对无功潮流分布进行控制。其要求有两点,一是优化过程中要引入使潮流解可行的控制变量,二是要使得系统的目标函数最优。建立数学模型,并依此得出无功优化的目标函数,这是分析计算的基础。潮流计算的结果是无功优化的重要依据,因此算法是十分重要的。在算法的选取上,也应当寻找最有利于得出潮流最优解的那一个。
2.1 某地区电网的运行现状
湖北省孝感市是湖北省内的电力重镇之一。其采用的是220KV主环网运行、110KV分布扩散的运行方式。根据最近的数据统计,该地在全网共同建设并投运11座220KV变电站,48座110KV变电站。主变容量之和共计5750MVA。全区的电源种类较多,且非常分散,约有250万千瓦的总装机容量接入该地区。该地区的历史最高负荷是176.5万千瓦,于2014年11月5日出现。
根据最新数据,在电压无功方面,在该地级市的全范围内,所有厂站的无功补偿容量共配备有1300Mvar,电压合格率达到98%以上。就该地区的总体电压水平和补偿容量而言,是较为突出和优异的。但是,该地区内的经济发达水平不一,用电量的差距也十分的大,这就导致了有着十分严重的局部电压不合格现象。该地区的无功分布与规划存在不合理之处造成了这个清理。
结合上述情况,首先我们应该做的是建立模型,明确我们本次研究的目标函数。
2.2 无功优化的数学模型
在电网这一复杂的系统中,直观的观测是无法认清很多现象与规律的。只有理论和分析也难以解释清楚。因此,构建合理的数学模型,将电网运行转化为数学表达式,并对此进行分析,这对我们的优化设计是十分必要的。
电网的无功优化中所涉及到的变量分为两种,分别是控制变量和状态变量。其中控制变量是指需要人为进行调节的变量,包括补偿容量,节点电压等等;而状态变量则有节点电压的相位角、PV节点和平衡节点的无功功率等。确定控制变量的值,可以通过计算得出状态变量。
2.2.1 目标函数
将我们所要求的某一变量作为目标,找到其与其他变量之间的关系,以函数表达式的形式写出来,便成了目标函数。本次研究的目标是对变电站无功进行优化,而优化目标则决定了目标函数。无功优化的数学模型常常分为经典数学优化模型和基于电力市场实际情况下的数学优化模型。
数学优化的经典模型的优化目标是将系统的网损降低到最小,关注点是电网运行的经济指标,并以此构建目标函数。也有从电网安全运行方面切入,以选取的节点电压偏移量最小为目标进行优化。也可以兼顾上述二者构建函数。而基于电力市场实际情况下的数学优化模型的关注点则是于电网无功的综合成本,其模型的建立所要考虑的是无功电价。这类模型的目标函数一般是系统发出电能的总成本,目标是使发电和输电的总成本尽可能的低。
本次研究我们将电力系统的电压质量和电网的经济性兼顾起来,以此为据选取目标函数,将系统中的有功网损最小值作为目标函数,写出的表达式如式2-1所示。
(2-1)
其中
是系统中的有功网损。
以上是毕业论文大纲或资料介绍,该课题完整毕业论文、开题报告、任务书、程序设计、图纸设计等资料请添加微信获取,微信号:bysjorg。
相关图片展示:







您可能感兴趣的文章
- 一种确定磁探针集总电路参数的标定方法外文翻译资料
- 一种人体可接触的大气压低温等离子体射流装置研究(适合电气B方向)毕业论文
- 氩氧中大气压DBD放电特性研究(适合电气B方向)毕业论文
- 大气压氩等离子体射流放电影响因素的仿真研究(适合浦电气B方向)毕业论文
- 含氧高活性均匀DBD改性聚合物薄膜研究(适合浦电气B方向)毕业论文
- 反应器结构对气液两相DBD放电特性的比较(适合浦电气B方向)毕业论文
- 南京某公司研发楼电气设计毕业论文
- 金帆北苑地块经济适用住房——02栋商住楼电气设计(适用于浦电气1004~06A方向学生)毕业论文
- 扬州人武部大楼电气设计毕业论文
- 金帆北苑地块经济适用住房——04栋商住楼电气设计(适用于浦电气1004~06A方向学生)毕业论文


