配电网一二次系统故障后的协调恢复研究毕业论文
2020-07-11 18:03:07
摘 要
电力在国民经济中有举足轻重的作用,随着社会的发展与电力能源应用的推广,配电网的规模越来越大且复杂,人们对供电可靠性与供电质量有更高的需求。配电网的复杂性与电力信号传输介质与其所处环境的多样性会使得二次侧信号并不正确,本文研究在有一二次系统故障发生时系统的协同恢复策略。
在对配电网络进行故障分析时,获得的信息是多样的而且信息之间有一定的关联性,即是冗余的,本文采用了故障信息融合的方案,将故障电流与开关信息融合,获得故障电流的信息矩阵,将获取的矩阵信息用贝叶斯分析的方法获得每个区域故障的后验概率信息,实现故障的诊断,在故障恢复时,本文以区域与电源节点间隔的最小区域数目定义层数的概念,以故障恢复对用户影响最小化的原则对故障区域进行恢复。
本文用C 作为编程语言,基于VS2015开发平台,编制了考虑一二次侧故障的协同恢复软件,本文通过算例对该软件进行测试,分析结果表明该算法在配电系统无故障却发生误报,上报故障的情况以及在存在故障却发生漏报、误报的情况下都能给出有价值的诊断结果,并制定合理的故障恢复方案。
关键词:配电网 供电恢复 非健全信息 贝叶斯理论
Research on Coordinated Recovery of Distribution Network with Faults Occurring in Both Primary Side and Secondary Side System
Abstract
Electricity plays an important role in the national economy. With the development of the society and the popularization of the power and energy application, the scale of the distribution network is becoming lager and more complex. People have a higher demand for the reliability and the quality of power supply. The complexity of distribution network and the diversity of mediums which transmit power signal and its environment will make secondary side signal not correct. This paper studies the cooperative recovery strategy of the system when the faults occur on both primary side and secondary side.
When analyzing the fault of the distribution network, the information obtained is diverse and there is a certain correlation between the information, that is, it is redundant. In this paper, the scheme of fault information fusion is adopted, the fault current and the switch information are fused to obtain the information matrix of the fault current, and the obtained matrix information is used in the Bayes analysis. . In the case of fault recovery, this paper defines the concept of the number of layers with the minimum area number between the region and the power node and restores the fault area by the principle of the minimization of user impact.
In this paper, C is used as a programming language and based on the VS2015 development platform, a cooperative recovery software considering both primary side and secondary side faults is designed. The software is tested by an example. The analysis results show that the given algorithm can give the valuable diagnostic results and formulate a reasonable failure recovery plan on the situation when the distribution system has no fault but misreport the fault and when the distribution system has fault but some nodes fail to report or misreport the faults.
Key Words: Distribution Network; Service restoration; Non sound information; Bayesian Theory
目 录
摘 要 I
Abstract II
第一章 绪论 1
1.1 配电网一二次侧协调恢复研究背景及意义 1
1.2 配电网一二次侧协调恢复研究现状 1
1.3 本文主要工作 4
第二章 故障信息融合 5
2.1 配电网故障信息非健全 5
2.2 信息融合 5
2.2.1 故障电流 5
2.2.2 开关状态估计 6
2.2.3 开关状态估计 7
2.2.4故障信息融合 7
2.3 信息融合的实现 8
2.3.1信息融合处理过程相关定义 8
2.3.2数据结构定义 9
2.3.3 数据处理过程 12
2.4 本章小结 18
第三章 基于贝叶斯的故障诊断与恢复 19
3.1 贝叶斯公式与后验概率 19
3.2 开环诊断方法 19
3.2.1 理论依据 19
3.2.2 原则与处理方法 20
3.2.3 处理流程 22
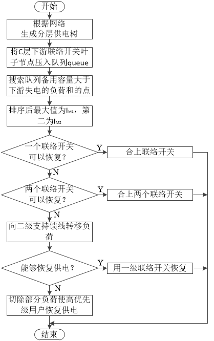
3.3 故障恢复 25
3.3.1 处理原则 25
3.3.2 相关概念 25
3.3.3 算法实现 25
3.4 本章小结 27
第四章 软件实现与算例分析 28
4.1 开发语言与程序介绍 28
4.2 程序结构与实现 29
4.2.1 软件模块 29
4.2.2 算例分析 31
4.3 本章小结 38
第五章 总结与展望 39
5.1 本文总结 39
5.2 今后展望 40
参考文献 41
致 谢 44
附 录 45
第一章 绪论
1.1 配电网一二次侧协调恢复研究背景及意义
电力作为一种二次能源在国民经济与人民生活中的地位举足轻重。由于社会对电力高度依赖同时系统供电发生中断会产生巨大的代价,因此,故障恢复是电网的一个重要研究课题。
配电自动化提高了日常操作的效率,改善了供电恢复过程,包括快速响应故障,减少操作失误和缩短中断持续时间。检测、隔离故障和恢复服务是配电自动化的重要功能并且是建设智能电网的重要战略基石。服务恢复的定义是找出合适的备用馈线和分支来在操作标准之内通过一系列开关操作来转移不工作区域的负荷。恢复是通过对分段开关和联络开关的操作进行的。恢复方法不同因此产生不同的配置,这将影响服务质量。此外,因为恢复的任务通常在经济和时间的制约下进行,这会使问题的复杂度增加。目前,许多配电系统不是全自动的,因此,在大多数情况,用来对故障进行定位隔离,以及恢复供电的动作是由人工手动完成的。这个过程会比智能电网的自恢复功能的运行耗费更多的时间,智能电网可以检测故障,并自动通过网络重新配置。因此,智能电网的核心在于自愈机制。自愈性能用来衡量系统的质量,当系统遇到故障时,它可以自动地、智能地进行正确的操作来使系统恢复到最好的状态,从而在其不违反任何系统约束的情况下,使其能够执行基本操作。因此,快速灵活地重新配置网络,恢复之前断电负载的能力,是自愈功能的关键。
在故障恢复的研究上,已经有一段历史,但是主要只考虑了一次侧的线路问题,是在肯定接受信息的确实可靠的基础上进行判断的,但是,在实际的电力系统中,来自二次侧系统的信息并不是完全可靠。同时继电保护装置的元件损坏会引起误动,工作人员的操作不当也会造成误动,等等。随着电子技术的发展,嵌入式技术与网络通信技术与电力传输已经密不可分,自然灾害、网络攻击、通信控制系统设备的自身故障引起的配电网二次系统失效也会使配电网络无法正常运行,这使得对故障恢复比传统的情况更有挑战性。
相关图片展示:







您可能感兴趣的文章
- 一种确定磁探针集总电路参数的标定方法外文翻译资料
 - 一种人体可接触的大气压低温等离子体射流装置研究(适合电气B方向)毕业论文
 - 氩氧中大气压DBD放电特性研究(适合电气B方向)毕业论文
 - 大气压氩等离子体射流放电影响因素的仿真研究(适合浦电气B方向)毕业论文
 - 含氧高活性均匀DBD改性聚合物薄膜研究(适合浦电气B方向)毕业论文
 - 反应器结构对气液两相DBD放电特性的比较(适合浦电气B方向)毕业论文
 - 南京某公司研发楼电气设计毕业论文
 - 金帆北苑地块经济适用住房——02栋商住楼电气设计(适用于浦电气1004~06A方向学生)毕业论文
 - 扬州人武部大楼电气设计毕业论文
 - 金帆北苑地块经济适用住房——04栋商住楼电气设计(适用于浦电气1004~06A方向学生)毕业论文
 

        
            
