开关磁阻电机直接转矩控制系统的建模与仿真毕业论文
2020-05-23 16:23:48
摘 要
开关磁阻电机调速系统逐渐的引起人们的关注,因为它的优点很多,如结构简单,调速性能好等,但是它的缺点也比较明显,可以控制的参数比较多而且转矩脉动与其他电机相比比较大。因为它的非线性特性严重,所以针对不同转速条件,它的操控方式也不一样。直接转矩控制方法的控制方式比较特殊,而且它的实现形式也比较简单,人们更加容易接受。本文主要研究开关磁阻电机直接转矩控制的建模与仿真。
本文刚开始详细描述了它的运行原理与基本构造,其次列出它的基本方程式,接着研究了转速不同时它的的运行特性。通过类比异步电动机的操控方式推导出了开关磁阻电机的直接转矩控制方式。最后用
软件搭建一个直接转矩控制方法的模型解决电动机的转矩脉动问题,并使用
仿真进行证明。
关键词: 开关磁阻电机 直接转矩控制 Simulink
Abstract
Switched reluctance motor drive system gradually attracted people's attention because it has many advantages, such as simple structure, speed control performance is good, but its shortcomings are obvious, can control many parameters and torque ripple and other motor compared with relatively large. Because of the switch reluctance motor nonlinear characteristics seriously, so according to different speed conditions, its control mode is not the same. Direct torque control method of control is special, and its realization is relatively simple, people more receptive to. The main purpose of this paper is to study the switch reluctance motor direct torque control modeling and simulation.
In this paper, we first introduce the principle and structure of switched reluctance motor, second, it lists the basic equation, then it analyses the speed and its operating characteristics. By analogy induction motor the control method to derive the switched reluctance motor direct torque control method. Using MATLAB software to build direct torque control method model to solve the torque ripple and the Simulink simulation verified.
Key words:SRM;DTC;Simulink
目录
摘要 I
Abstract II
第一章 绪论 1
1.1 选题背景 1
1.2 直接转矩控制 1
1.3 论文完成的主要工作 2
第二章 SRM电机直接转矩控制理论 4
2.1 开关磁阻电机的结构与基本原理 4
2.2 开关磁阻电机的基本方程式 8
2.3 开关磁阻电机在不同转速下的运行特性 10
2.4 基本控制方法 11
第三章 开关磁阻电机的直接转矩控制 14
3.1 控制的目标 14
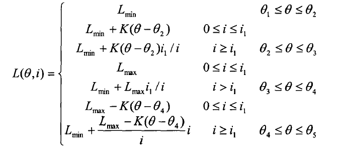
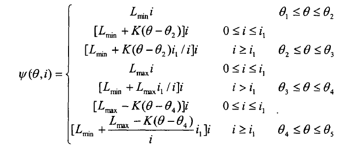
3.2 电感建模 17
第四章 仿真研究 20
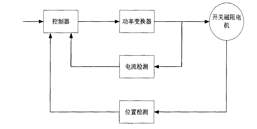
4.1 开关磁阻电机调速系统动态仿真原理图 20
4.2不同控制策略下的仿真对比 22
结论与展望 30
参考文献 31
致谢 32
第一章 绪论
1.1 选题背景
我们知道直接转矩控制技术已经慢慢的用于异步电动机的领域,和以前使用的用调节电压调节频频改变速度的方式相比有很大的不同。它简单实用,变速的精确度也比较好而且能够构造的机电模型有很多,也比较容易研究控制电机的磁链和转矩。直接转矩控制技术不需要先知道其他的一些参数,它相比以前有很大改进,可以把转矩当做被控制的对象。我们用改进后的控制方式解决脉动问题。
我们可以把电机调速看成是从转矩到运转速度的一个一阶积分环节,它的积分时间常数是我们控制不了的,它的大小取决于电机和负载的机械惯量,所以,调速系统在动态和静态方面的功能好坏与怎么改变转矩有很大的关系。电机调速的核心就是对转矩的控制,电机正常运行的时候它的磁通基本上不会发生变化,以前的矩形脉冲通电工作的时候我们能够轻易的看到电动机的转矩脉动,现在电机缓慢工作时,它的脉动也会特别显眼,这让开关磁阻电机不能够在速度低的时候稳定运行并且还不具备在静态的时候转矩继续运行的能力。
开关磁阻电动机当作伺服电动机使用时要克服转矩脉动,因为它需要在低速运行的时候还能够缓慢稳定的旋转并且在静态的时候转矩还能继续运行。开关磁阻电机的转矩脉动能够让我们轻易的看出来,但是一般电机也会有这样的问题只是情况不严重,虽然现在的控制系统越来越先进,但是做不到让转矩脉动不出现,因为控制方式等各方面存在问题。
1.2 直接转矩控制
直接转矩控制在现在生活当中性能比较高,它是用交流电改变频率调节速度,它不需要得到正弦波波形。直接转矩控制首先考虑的是选转矩的什么角度合适,根据结果再说明操控之后的得到的效果。它与矢量操控的区别是它没有使用直流电机的工作方式,而且也不要解藕。
它的基本理论就是把电机和逆变器捆绑一起不单独研究,然后构建一个坐标系,选用的参数的定子,最后选择空间电压矢量研究的方法,在坐标系里面找出它们的位置然后计算出他们的大小。下面研究异步电机是怎样使用直接转矩来进行掌控的,异步电动机首先需要建立一个静止的的坐标系,选取定子为参数,然后选择合适的数学模型,建完模之后我们发现需要考虑的是怎样操控电机的磁链和转矩。它的工作过程其实很简单不要建立旋转坐标系,也不用对定子电路中的流过的电流进行研究,避免了许多复杂的换算。它需要的器件不多,要一组滞环控制器,控制器精度必须很好,还有一个能准确调节速度的调节器而且直接转矩控制要获取磁链的数值。由于矢量控制磁场定向使用的是转子磁链,所以要得到磁链的数值必须知道电机转子的电阻和电感,而电阻和电感比较难求。直接转矩控制在运算的时候只需要知道定子电阻,它不需要其他的电机参数而矢量控制却不一样,更重要的是直接转矩控制的控制性能受参数变化影响也比较小。
当我们在实际生活当中运转电机的时候会发现,有些数据是比较容易得到的,有些却很难,而我们需要测量的是定子电压和电流,测出它们之后,再求出磁链和转矩。控制定子磁链的轨迹的方式有很多,通常用的有两个,一个是六边形,还有一个是圆形,他们主要通过保持定子磁链的最大值和最小值基本不变,让它的波动非常小就行。如果定子磁链的最大值和最小值超过我们设定的数值的时候,这时候我们就需要改变定子的电压矢量,让波动的范围回复正常。为了这种方式能够达到要求,我们选择的开关器件也要符合要求,即每分钟开关的次数不会超过它限制的值,我们可以把它的轨迹先分区,分为六个区比较合适,每个区都自己能够调节控制自己,每个区的调节都用定子电压矢量,而且各个区的不一样,最终得到定子磁链的轨迹,此时我们会看到它是六边形的也有可能是圆形。接下来我们要考虑的是怎么调节定子磁链运转时的速度,根据经验我们知道可以用矢量分析的方法,选取电压作为参量,会看到它展现出来的轨迹是断断续续的,这样它的均匀回旋速度就收到控制了,磁通角的变化我们也能够控制,并且电机的转矩也能够被完美限定。根据平时的学习我们可以知道定子电压空间矢量在工作运行的时候是单独出现的,但是又不是一直存在,在它消失的时候由零状态出现控制电机运转的速度,他们是轮流出现的,这样就使得电机的转矩性能非常好。
1.3 论文完成的主要工作
开关磁阻电机系统比较复杂,包含了很多学科比如电机学、微电子学等,所以它的调速系统和其他的电机有点区别,它使用的器件必须是专门为它设计如变换器和控制器等。电机控制特别重要的一个环节就是转矩控制。开关磁阻电机的机构比较特殊,它是双凸极,这就导致它的转矩脉动会很大。根据公式
,保持功率不变,转矩发生改变转速就会发生改变。为了让转速很平稳能够很好的调节,就需要制造出能够调节速度的调节器,这就要求转矩控制的性能符合要求。反之,,转矩控制的性能不能符合要求,它的反应速度就会非常慢,调节速度也会也会比较慢。因此转矩的控制好坏直接影响调速,转矩调节就是为了达到对转矩的直接控制。本文的主要工作如下:
- 介绍开关磁阻电机
- 推导出开关磁阻电机的直接转矩控制方法。
3.在MATLAB中建立模型,进行仿真研究。
第二章 SRM电机直接转矩控制理论
开关磁阻电机涉及到内容比较广泛,运用了很多领
的技术,而且它的优点非常多,在以后会更广泛的用于工艺生产中。开关磁阻电机的结构很特殊,是双凸极,非常的简单,而且只有定子有绕组,维修也比较方便,成本也低。它的控制方式也比较独特,它每相自己决定主开关的状态,需要导通时导通,需要断开时断开,而且各相所用的操控方式也不一样,最后负载不一样表现出来的机械特性也会不一样。好的控制方案能提高的效率和并且保持较高的运行性能。下图介绍了开关磁阻电机所属类别:
相关图片展示:







您可能感兴趣的文章
- 一种确定磁探针集总电路参数的标定方法外文翻译资料
- 一种人体可接触的大气压低温等离子体射流装置研究(适合电气B方向)毕业论文
- 氩氧中大气压DBD放电特性研究(适合电气B方向)毕业论文
- 大气压氩等离子体射流放电影响因素的仿真研究(适合浦电气B方向)毕业论文
- 含氧高活性均匀DBD改性聚合物薄膜研究(适合浦电气B方向)毕业论文
- 反应器结构对气液两相DBD放电特性的比较(适合浦电气B方向)毕业论文
- 南京某公司研发楼电气设计毕业论文
- 金帆北苑地块经济适用住房——02栋商住楼电气设计(适用于浦电气1004~06A方向学生)毕业论文
- 扬州人武部大楼电气设计毕业论文
- 金帆北苑地块经济适用住房——04栋商住楼电气设计(适用于浦电气1004~06A方向学生)毕业论文


