水下航行器用对转式双转子盘式驱动系统的设计开题报告
2020-02-20 10:02:13
1. 研究目的与意义(文献综述)
1.1研究背景
人类的生存离不开能源的开发,地球表面百分之七十三以上被海水覆盖,海洋中蕴藏着丰富的能源和各种人类赖以生存的元素,陌生的海洋环境导致资源开发困难,海下潜水器可以帮助人们探测海洋环境,开拓新的海洋版图。所以海下潜水器在海洋资源开发中具有举足轻重的地位。同时海下潜水器在军事领域也具有不可缺少的作用,美国、英国、日本等国家都在开发新型的海下潜水器推进系统,来维护自己本国的海洋安全。
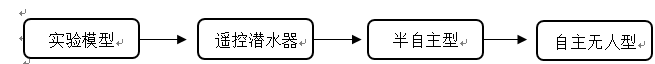
海下潜水器的发展过程【1】:
2. 研究的基本内容与方案
2.1研究的基本内容
1.设计一款额定功率为:2.2kw, 额定转速:500rpm,额定转矩:40n·m, 额定电压:100v的对转式盘式驱动电机。
3. 研究计划与安排
第1~2周:认真阅读任务书,查阅相关文献资料,明确研究内容,完成开题报告的撰写,并完成至少一篇英文文献的翻译。
第3~4周:掌握对转式盘式驱动原理,建立驱动系统的数学模型,完成对转螺旋桨的流体力学相关分析。
第5~8周:完成转式双转子盘式驱动系统的总体设计。
4. 参考文献(12篇以上)
[1] 王童豪,彭星光,潘光,徐德民.无人水下航行器的发展现状与关键技术.西北工业大学,2017.
[2] 陈进华,异向旋转双转子永磁电机研究,沈阳工业大学,电机与电器,2012.
[3] 成双银,盘式双转子对转永磁同步电机及其控制研究,湖南大学,电气工程,2016.


