谐波减速机关键零部件寿命预测仿真分析及其加速寿命测试方法设计毕业论文
2020-04-13 11:23:32
摘 要
谐波减速器由于具有体积小重量轻、输出转矩大而平稳精确等优点,承担了机器人关节的关键传动工作,在多关节的工业机器人上应用较多。柔轮是谐波减速器的关键零部件,工作中受循环交变载荷作用,其疲劳断裂是谐波齿轮传动最常见、最主要的失效形式。柔轮的疲劳寿命制约着减速器的寿命,因此对柔轮进行寿命分析有重要意义。
本文首先介绍了谐波齿轮传动原理,分析了柔轮在波发生器的作用下的变形和受力,根据公式进行了柔轮的应力计算和强度校核。根据获得的参数进行了柔轮尺寸的设计计算,运用SolidWorks软件建立了柔轮的三维全齿模型,并根据实际情况对柔轮模型进行了简化。将简化后的模型导入到ANSYS workbench中生成有限元模型,设定了材料属性后对其进行静力学分析,结果显示柔轮的齿根处为应力应变的集中区域。运用Fatigue Tool疲劳分析模块,利用S-N曲线法估算了柔轮的疲劳寿命。设计了柔轮的加速寿命测试方法。
本文采用的有限元分析方法和结果,对柔轮寿命和加速寿命的分析和预测有一定的参考价值。
关键词:谐波齿轮传动;柔轮;有限元;疲劳寿命
Abstract
Harmonic decelerator has the advantages of small size, light weight, large output torque, stable and accurate, etc. It undertakes the key transmission work of robot joints and is applied to multi-joint industrial robots. The flexible wheel is the key component of the harmonic reducer. It is affected by the cyclic alternating load during work. The fatigue fracture is the most common and main failure form of the harmonic gear transmission. The fatigue life of flexible wheel restricts the lifespan of the reducer, so it is of great significance to analyze the life of the flexible wheel.
This paper firstly introduces the principle of harmonic gear transmission, analyzes the deformation and force of the flexible wheel under the action of the wave generator. According to the formula, the stress calculation and strength check of the flexible wheel are performed. According to the parameters obtained, the design of the flexure wheel is calculated. The 3D full tooth model of the flexure wheel is established using SolidWorks software. The flexure wheel model is simplified according to the actual situation. The simplified model was imported into the ANSYS workbench to generate a finite element model. After the material properties were set, static analysis was performed. The results showed that the root of the flexible wheel was a stress and strain concentrated area. The Fatigue Tool fatigue analysis module was used to estimate the flex life of the flexible wheel using the S-N curve method. An accelerated life test method for flexible wheel was designed.
The finite element analysis method and results adopted in this paper have certain reference values for the prediction of the life and acceleration life of the flexible wheel.
Key Words:harmonic gear drive;flexible wheel;finite element;fatigue life
目录
第1章 绪论 1
1.1 课题研究的目的及意义 1
1.1.1 课题来源 1
1.1.2 课题目的 1
1.1.3 课题意义 1
1.2 柔轮疲劳寿命的研究现状及分析 2
1.3 本文的主要研究内容 4
第2章 谐波减速器的基本理论 6
2.1 谐波减速器的工作原理 6
2.2 谐波减速器的特点 7
2.2.1 谐波减速器的优点 7
2.2.2谐波减速器的缺点 8
2.3 谐波减速器的主要失效形式 8
2.4 柔轮的形变 9
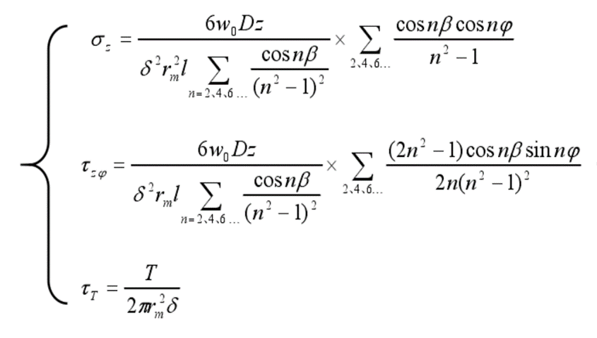
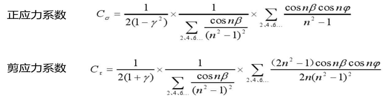
2.5 柔轮的应力计算和强度校核 11
2.5.1 柔轮的应力计算 11
2.5.2 柔轮的强度校核 13
第3章 柔轮的参数化建模和模型简化 15
3.1 柔轮的参数及尺寸计算 15
3.1.1 柔轮的参数 15
3.1.2 柔轮的尺寸计算 15
3.2 SolidWorks建模 15
3.2.1 SolidWorks软件简介 15
3.2.1谐波减速器的模型 16
3.3 柔轮模型的简化 17
第4章 柔轮的有限元分析 20
4.1 有限元理论简介 20
4.2 ANSYS软件简介 21
4.3 柔轮的有限元模型 22
4.5 施加的载荷和约束 24
4.6 应力应变云图 25
第5章 柔轮的疲劳寿命分析及加速寿命测试方法设计 26
5.1 疲劳理论基础 26
5.2 柔轮的疲劳寿命仿真分析 27
5.2.1 添加材料的疲劳属性 27
5.2.2 设置疲劳求解项 28
5.2.3 柔轮疲劳寿命分析结果 29
5.3 柔轮加速寿命测试方法设计 30
5.3.1 加速寿命试验的大致流程 30
5.3.2 加速寿命试验模型选定 31
5.3.3 ADMAS仿真分析 32
5.3.4 加速寿命试验步骤 32
5.3.5加速试验方法 33
5.3.6 加速寿命试验台 33
第6章 经济性与环保性分析 35
第7章 总结与展望 36
7.1 本次课题的总结 36
7.2 后续研究的展望 36
参考文献 37
致谢 38
第1章 绪论
1.1 课题研究的目的及意义
1.1.1 课题来源
上个世纪50年代末,世界各国开始了对外太空的探索,促进了火箭、卫星、探测器技术等航天技术的持续发展。谐波齿轮传动的原理就是在这样的世界背景下产生的,谐波齿轮传动是以薄壳弹性变形理论为基础的,这种新型传动方式一出现就向世人展示了它的优越性能,在当时可以说是机械传动的一个重大突破,进而还推动了机械传动技术的重大创新。
谐波减速器(Harmonic Gear Drive),是一种靠波发生器装配上柔性轴承使得柔性齿轮产生可控的弹性变形,柔性齿轮与刚性齿轮相啮合来传递运动和动力的齿轮传动。组成谐波传动减速器的主要三个基本构件为波发生器、柔性齿轮和刚性齿轮。目前谐波减速器主要是用于机器人关节的关键传动部件。
1.1.2 课题目的
谐波齿轮传动会因为其中任何一种的零部件失效而导致整个谐波齿轮传动丧失工作能力。分析谐波齿轮传动的失效原因,并据此来确立其合理的工作能力准则,是谐波齿轮传动研究过程中的重要部分。根据谐波减速器的实践使用和实验研究显示,谐波齿轮传动的失效主要有以下五种形式:(1)柔轮的疲劳断裂;(2)齿面的磨损;(3)轮齿或波发生器的滑移;(4)齿面的塑性流动;(5)波发生器轴承的损坏。
本设计主要针对谐波减速器关键零部件的寿命进行预测仿真与分析。
1.1.3 课题意义
因为谐波减速器仅由三个基本零部件所构成,所以比较容易实现小型化和轻量化。因为谐波减速器的啮合齿数多,所以它能产生更大转矩,并可以达到更加精确的定位。各个公司在谐波减速器产品的研发过程中,大多充分发挥产品本身的特征,致力创造更加紧凑和轻量的产品,进而也推动了小型化的进程。
因为谐波减速器具有稳定、精确、响应迅速,可在极端环境下工作良好等优点,被广泛应用于以下领域:机器人领域(多关节工业机器人)、航天领域(卫星)、医疗设备、光学测量仪器、通信设备、印刷设备、深海机器人、宇宙航天开发、原子反应堆、高能加速器、机床以及常规军械等领域。如图1.1-1.4所示。
根据谐波齿轮减速器工作原理及组成构件可得,柔轮是谐波齿轮减速器中的关键零部件。柔性齿轮在循环交变载荷作用下极易发生疲劳失效,其疲劳寿命进而决定着整个谐波减速机的使用寿命。所以本课题即在此背景下,在满足柔轮的应力计算和强度校核的的条件下,对其进行有限元分析和疲劳寿命研究,以提高柔轮的疲劳寿命,进而提高谐波减速器的整体寿命。

图1.1 机器人 图1.2 宇宙卫星

图1.3 光学望远镜 图1.4 火星探测车
1.2 柔轮疲劳寿命的研究现状及分析
谐波传动的基本原理是上世纪中期由美国学者 C.W.Musser 于1955年提出,并于 1959 年获得专利,次年在纽约展出谐波机械传动的实物,它是在薄壳弹性变形的理论基础上发展起来的,成功应用于火箭、电机、卫星的传动机构中。
以上是毕业论文大纲或资料介绍,该课题完整毕业论文、开题报告、任务书、程序设计、图纸设计等资料请添加微信获取,微信号:bysjorg。
相关图片展示:









