热电发电器件性能ANSYS有限元仿真毕业论文
2020-02-19 18:24:15
摘 要
在过去的几个世纪中,人们主要希望增加他们的能源生产,以发展他们的工业,交通工具和生活质量。自最近的能源危机以来,研究人员和工业企业主要致力于以更好的方式管理能源,特别是通过提高能源系统效率。如今,热电发电机(TEG)可以有效地利用地热能、海洋热、太阳能、工业余热等自然界中的热源发电,还可以回收工业和生活中产生的大量低温余热,这对于提高能源效率,改善能源结构,保护环境有着特殊的意义。
通过数值方法测试热电发电器性能参数是热电发电器(TEG)开发必不可少的一部分,在时间和成本节省情况下,通过材料组合和关键参数的变化进行测评(例如,形状,颗粒长度和热耦合),考虑到热电发电器(TEG)系统的复杂性及其众多影响因素,数学处理的方法更加适合。有限元建模(FEM)的软件是热电发电器(TEG)性能测评非常好的工具,为我们提供的几何界面,网格生成器,求解器和后处理选项。
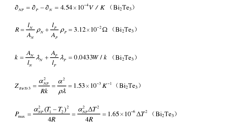
首先,通过对一维物理模型的分析,得出了提高热电发电器(TEG)输出功率的简单规律。通过测评得出其性能指标分别达到1.13 (p型)和1.02 (n型),然后建立模块输出性能测试系统,优化模块的安装压力。 在此基础上,通过实验测试分析了热元件厚度和截面等模块结构参数对输出功率的影响。最后最后通过ANSYS 11.0建立以工业废气为气态能源,气热清除热电发电器(TEG)模型,进行循环测试,对其输出功率进行分析。
关键词:热电发电器(TEG)性能仿真;有限元建模;输出功率;热电耦合;
ABSTRACT
In the past few centuries, people have mainly wanted to increase their energy production to develop their industry, transportation and quality of life. Since the recent energy crisis, researchers and industrial companies have focused on managing energy in a better way, especially by improving energy system efficiency. Today, thermoelectric generators (TEG) can effectively use heat sources such as geothermal energy and solar energy in nature to generate electricity, and also recover a large amount of low-temperature waste heat waste heat generated in industry and life, to improve energy efficiency, improve energy structure and protection. The environment has great significance.
Testing the thermoelectric generator performance parameters by numerical methods is an integral part of thermoelectric generator (TEG) development, and is evaluated by changes in material combinations and key parameters (eg, shape, particle length, and heat) in time and cost savings. Coupling), considering the complexity of the thermoelectric generator (TEG) system and its many influencing factors, the mathematical processing method is more suitable. The finite element modeling (FEM) software is a very good tool for thermoelectric generator (TEG) performance evaluation, providing us with geometric interfaces, mesh generators, solvers and post-processing options.
Firstly, through the analysis of the one-dimensional physical model, the simple rule of improving the output power of the thermoelectric generator (TEG) is obtained. The polycrystalline Bi2Te3 based material prepared by spark plasma sintering mechanical alloy method is used to prepare the thermoelectric module. The performance indicators are 1.13 (p type) and 1.02 (n type) respectively, and then the test system for module output performance is established, and the installation pressure of the module is optimized. On this basis, the influence of module structure parameters such as thickness and cross section of the thermal element on the output power is analyzed through experimental tests. Finally, through ANSYS 11.0, the industrial waste gas is used as the gaseous energy, the gas-heat removal thermoelectric generator (TEG) model is used to carry out the cycle test, and the output power is analyzed.
Key words: thermoelectric generator (TEG) performance simulation; finite element modeling; output power; thermoelectric coupling;
目录
第1章 绪论 5
1.1课题的背景 5
1.2研究意义 6
1.3热电发电研究现状 7
1.4技术方案与措施 7
第2章 热电发电理论知识 10
2.1基本概念 10
2.2热电器件原理 13
2.3热电器件的综合性能测试 15
第3章 热电发电器件的性能优化 17
3.1温差对性能的仿真分析 17
3.2电偶臂面长比对性能的影响仿真 25
3.3导流热阻对热电性能的仿真分析 33
3.4负载电压对性能的仿真分析 36
3.5多段设计热电发电片的性能优化分析 38
第4章 结论与展望 44
4.1主要总结 44
4.2创新点与不足 45
致 谢 46
参考文献 47
绪论
1.1课题的背景
随着工业革命的进行人类社会对物质文明的追求,以及世界人口的增长和消费需求的扩大,人类对能源的需求也在不断增长。目前,随着人类的不断开发,自然界中的石油,天然气和煤炭等化石能源越来越少。越来越野蛮的寻找、开发和消耗地球能量的方式,对地球造成了不可逆转的破坏,引发了一系列棘手的问题,甚至引起了全球环境的巨大变化。因此,解决21世纪的环境和能源问题是不可能放缓的。
世界能源危机是人为的能源短缺。石油资源将在一代人中耗尽。它的储备不是无限的。易于开发和利用的储量不多。剩余储备的发展变得越来越困难。在一定程度上,它将失去持续剥削的价值。在世界能源消费以石油为主导的条件下,如果能源消费结构发生变化,就会出现能源危机。虽然煤炭资源不仅仅是石油,但它们并非取之不尽,用之不竭。除煤炭外,很少有其他能源可以大规模使用而不是石油。
人类社会必须在不可再生矿物能源枯竭可能造成的危机之前,以便将注意力转移到新能源结构上,尽快探索,研究和开发利用新能源。能源消耗的速度,人均能源消耗的比例,环境污染和能源的大规模使用给人类带来了文明和繁荣的同时,热泪的生存环境也收到了重大的威胁。
所以,解决环境污染和能源危机问题已经成为我们这一代人必须面对的艰巨任务。
1.2研究意义
工业文明和社会的发展必须有足够的能量作为保障,为了缓解近年来的能源危机,各国都出台了一系列措施。典型措施有:1、对化石能源结构进行改变,将能源的利用效率不断提高,特殊时期甚至可以禁止对某些能源的开发。我们将确保社会和谐和可持续发展。2、新能源(主要是可再生能源)的开发和利用受到各国的欢迎,因为它们具有清洁,无污染和可回收的特性。利用废物回收和废物发电技术也陆续在一些发达国家开始开展,比较典型的算是日本,他们的“固体废物燃烧多产生的能量回收研究计划”,指出在垃圾焚烧炉上安装热电发电装置,既可以解决废物垃圾问题,还可以将焚烧所产生的热量转化成电能。余热废热的利用,显然已经成为当代科学研究的重点。废热主要在工业和农业生产中产生,并且在自然界中不使用的热源统称为废热。主要有太阳的热能、地下的热能、海洋的热能、和工业余废热等。
更常见的废热类型是工业余废热、地热、海洋热和太阳能等。工业余废热温度一般都小于500K,地热一般都小于450k,太阳能一般都小于450k。目前由于技术的限制,绝大多数的太阳能都被浪费掉了。从之前的温度分布可以看出,废热温度非常低,这证实了上述废热特性。目前,还没有成熟的技术来广泛使用这种废热,这种废热很少或没有初始投资。如果使用得当,它将缓解甚至解决日益严重的能源问题和环境危机,突破瓶颈,开辟保护人类环境,开发利用可再生能源的局面。根据目前的研究情况,热电发电在这方面显示出优势。
基于热电效应所研制的热电发生器(TEG),利用塞贝克效应将热能直接转化为电能,这是一种将热能转化成电能的固态能量转换技术。热电发生器具有无噪音、质量轻、,体积小、无污染、易于实现小型化和集成化、可靠性高等特点。这是一种目前为止非常环保无污染的发电技术。特别适用于低品级,分散式和分布式的废热回收,与传统能源相比具有独特的优势。在热电方面研究的热点应该放在,利用热电效应如何将低品位热源直接转化为电能。我国地热、太阳能、工业废热等低档热源资源丰富,如何利用这些低档热源,借助热电装置将其转化为电能,将产生良性循环。它热电发电技术既可以缓解越来越严重的环境污染问题,而且还具有非常巨大的社会经济价值。正是在这样的背景下,热电机组(TEG)进入了人类社会。
1.3热电发电研究现状
温差电流的现象的发现,是物理学家塞贝克在1821年发现的。即两种金属或半导体组成的电路中,如果节点之间存在温差,电路中会有一种热电势产生。这就是著名的塞贝克效应。过了23年,也就是1844年,物理学家佩尔蒂尔探索出了赛贝克效应的逆效应,即帕尔效应(两种不同金属组成的电路中有电流时,会出现时的吸热或放热现象)。通过以上两种现象,科学家们探索了金属材料的热电发电。 由于当时的材料在热电性能和转换效率方面比较低,其利用价值并不是很高。所以,在过去的100年里,除了金属热电偶在温度测量中的应用外,热电联产的研究并没有取得重大突破。
物理学家约飞在20世纪30年代提出使用半导体材料作为热电能量转换材料的理念,奠定了热电发电技术的实际利用。
根据热端的工作温度,热电发电机可分为高温(700℃以上),中温(400~700℃)和低温(400℃以下)发电机。用于高温发电机的主要能量交换材料是Ge-Si合金和硅铁合金;碲化铅及其合金是组成中温发电机主要材料,碲化铋及其合金是组成低温发电机的主要材料。热电发电机可分为:(1)放射性同位素热电发电机,是可以直接将放射性同位素(比如钚-238,锶-90,pol -210等)的衰变热转换成电能;;(2)以碳氢化合物为燃料的热电发电机,主要包括天然气,液化石油气,水煤气和煤油,汽油等液体燃料发电机等燃气发电机;(3)以烃类为燃料的热电发电机。废热热电发电器可以以不同的形式使用的废热直接转换成电能。
1.4技术方案与措施
ANSYS是一种常用的仿真软件,用于热电分析和计算。本小节将简单介绍有限元计算中使用的一些基本理论。
热电基于焦耳热、帕尔贴效应、汤姆逊效应、塞贝克效应和其他热电效应。
在承载电流的导体上发生焦耳热。焦耳热量只与电流大小有关系(平方成正比),而与电流方向无关。
塞贝克效应:当热电材料存在温差时会有电动势产生。产生的电动势与温差成比例。比例系数称为塞贝克系数。
帕尔贴效应 - 当电流流过两种不同的热电材料时,两种材料的接头将被加热或冷却。帕尔贴热与电流成正比,但当电流反转时,它将取负值,即与吸热和制冷相反。
汤姆逊效应 - 当电流流过具有不同热特性的两种热电材料时,会发生吸热或放热现象。当电流方向相反时,汤姆逊的热量与电流成正比,而负值则为负值。
典型应用包括加热线圈,保险丝,热电偶,热电制冷和热电发电。
用于热电分析的热电单元。 ANSYS程序为热电分析提供了一些单元。常见元素是PLANE223,SOLID226和SOLIID227。在本文中,SOLID226元素用于计算。该元件具有以下属性:结构-热、压电性、电弹性、热电性、压阻性、结构-热电和压电性。该单元包括20个节点与5个自由度,其中包括大型弹性变形、应力加强结构功能。热电功能包括Sebeck,Palpate和Thomson效应以及焦耳热。结构热功能不仅有动态分析效果,而且还有热膨胀。可以获得科里奥利效应和结构自由度分析。进行热电分析时,该单元不仅仅有温度,而且还有电动势的自由度。
热电分析可以是稳态或瞬态的。在本文中,使用稳态分析。在热电分析之前,需要对单元类型与材料属性进行定义。其中一些属性是固定值,有些属性随温度而变化。在热电分析中,Sebeck-Palpate热电效应需要对塞贝克系数(SBKX、SBKY、sBKz)与单位类型进行定义,(MP)以及绝对零到零摄氏度(TOFFST)的转换。
二维8节点表面元素PLANE223,三维20节点体元素Solid226,三维10节点体元素solid227。这些装置适用于塞贝克效应、焦耳热、汤姆逊效应和Parte效应。耦合的热电结构方程分别为:

将
用
代替,进一步分析,则上面的两个方程变为:

其中:帕尔贴系数【fll=T{al,
T—绝对温度
塞贝克矩阵

{q}—热流量(输出为TF)
{J}—电流密度(输出为JC,适用于电流计算单元)
热导率矩阵

{ΔT}—温度梯度。
电阻率矩阵

{E}—电动势。
最新文献介绍了利用有限元方法计算稳态热电器件性能的优缺点。 同样,文献分析了使用有限元模型分析瞬态条件。 它建立了具有有限元模型动态性能的模型,并将其与其他建模技术进行了比较。
分析是基于一个简化的单P一N结模型。该模型由单个元素的叠加形成,差分方程在有限元部分中建立。许多单元或有限元构成热电装置。该模型考虑了材料参数随温度变化的特征。
有限元分析预测的结果与预期平均温度预测的结果不同。在优化时使用有限元分析很重要,因为它可以准确地确定材料的热电效应,其材料参数随温度变化。平均温度方法由于其自身的特性,简化了模型的一些信息并且不是非常准确。 ANSYS可以使用一组新元素准确有效地分析热电器件。总结了有限元公式,包括Sebeck,Patel和Thomson效应以及焦耳热。基于Patel效应的热电装置和单级热电冷却器是稳态和瞬态模拟的示例。分析了多级热电冷却器,证明了ANSYS的参数分析能力。
热电发电理论知识
2.1基本概念
所谓的热电发电是将热能直接转换成电能,通过高低温之间的温差产生的热量,将移动的热能转化为电能发电。温差存在于世界各个角落,所以说热点发电具有非常广泛的利用前景。目前可用的热源温度范围是 —200℃~ 2000℃。
2.1.1温差电效应
热电效应的研究既是古老的也是新兴的。它很好地将电压的产生与温差紧密的联系起来。 它被广泛应用热电发电与高温测量等领域。 在热电技术的基础上,有三个基本效应:塞贝克效应,皮埃尔效应和汤姆逊效应。物理学家塞贝克在1821年发现了热电的第一个效应,因此它被称为塞贝克效应,通过连接两种不同的金属形成闭合电路,如果在两个接头之间存在温差,则电路中将产生电流。因此赛贝克效应对未来热电发电的技术发展提供了基础。后来,法国科学家佩尔特发现,皮尔效应与塞贝克效应相反,塞贝克效应是由两种不同金属组成的闭合电路。如果直流电流通过电路时,两个接头之间有温差现象存在。第三种效应,是汤姆森在1856年发现的汤姆森效应。
2.1.2塞贝克效应
塞贝克效应,也被称作为第一热电效应,是指由于两个不同导体或半导体之间存在相应的温差,而引起的两种物质之间产生了的电压差的热电现象。 通常规定热电势的方向是:电子在热端从负向正流动。
在由金属导体A和金属导体B组成的电路中,如果两个接触点之间存在温差,则在电路中将产生电流,这被称为热电流。 其电动势也称为热电力。 电动势的方向由温度梯度的方向决定。
以上是毕业论文大纲或资料介绍,该课题完整毕业论文、开题报告、任务书、程序设计、图纸设计等资料请添加微信获取,微信号:bysjorg。
相关图片展示:









