无人驾驶智能垃圾转运车制动系统设计毕业论文
2020-04-12 15:38:16
Graduation Design (Dissertation) of Wuhan University of Technology
Design of Braking System for Driverless Intelligent Transfer Vehicle
College: International Education College
Specialty amp; Class: Automobile GJ1401
Student name: WenBo Huang
Tutor: Li Xu
Statement of Originality
I solemnly declare that the thesis I submit is a piece of writing I completed independently based on my own research under the guidance of my supervisor. Except for the quotations, this paper does not include any writings published or completed by other individuals or groups. I am fully aware that the legal consequences of this statement are borne by me.
Signature of the author:
Date:
Copyright Letter of Authorization to The Dissertation
The author of this dissertation fully understands provisions stipulated by this school on keeping and using dissertations. The author agrees that the school can reserve and send photocopies and electronic versions of this thesis to relevant departments or institutions managing dissertations. This thesis can be read and borrowed. I hereby authorize excellent provincial institutions appraising bachelor dissertations to incorporate all or any part of this dissertation into relevant databases for retrieval, as well as to preserve and compile this dissertation by photocopying, scanning or reprinting it in a reduced format.
This dissertation is: 1. Confidential until(year) and then this authorization letter will apply. 囗
2. Non-confidential. 囗
(Please tick "√" the corresponding box above)
Signature of the author:
Date:
Signature of the tutor:
Date:
Abstract
Due to the rapid progress of the domestic automobile industry, driverless cars are rapidly entering people's lives, and the safety performance of driverless smart cars has always been one of the topics most concerned by people. Among all automotive systems, the brake system is an important system for active vehicle safety. With the continuous development and application of driverless smart vehicles, people can live their lives to the utmost extent, and the intelligent driverless transport vehicle is one of them. As a vehicle that is very close to people's daily life, the reliability of the braking system must be effectively guaranteed
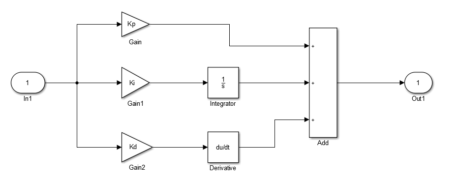
The brake is an important part of the brake system. In this paper, the classification, principle, advantages and disadvantages of the brake are analyzed firstly. Then, according to the various structural parameters of the studied vehicle model, the cam brake drum is finally selected. Then refer to relevant data to design its parameters. Then combined with the characteristics of the electric drive designed the relevant brake drive mechanism, and the CAE modeling of the designed drum brake and drive mechanism. And through the PID control, real vehicle experiments and other feedback data obtained to improve the braking efficiency.
.Key Words:Drum brakes; Braking drive mechanism design; 3D modeling; PID control
目录
I INTRODUCTION 2
1.1 Purpose and significance 2
1.2 Research status at home and abroad 2
1.2.1 Foreign research status 2
1.2.2 Domestic research status analysis 3
1.3 chapter summary 4
II Brake analysis and selection 5
2.1 Disc type, drum brake comparison selection 5
2.2 Drum brake structure analysis 6
2.3 chapter summary 8
III Design and verification of brakes 10
3.1 Calculation of braking torque and braking force 10
3.1.1 Determination of total braking torque 10
3.2 Drum brake structure parameters 11
3.2.1 Brake drum inner diameter D 11
3.2.2 Friction lining width b and wrap angle β 12
3.2.3 Friction lining starting angle β0 14
3.2.4 The distance from the center of the brake to the line of action of the opening force F0 14
3.2.5 Brake shoe position coordinates a and c 14
以上是毕业论文大纲或资料介绍,该课题完整毕业论文、开题报告、任务书、程序设计、图纸设计等资料请添加微信获取,微信号:bysjorg。
相关图片展示:









