微型汽车后桥传动效率测量装置设计开题报告
2020-02-19 10:36:31
1. 研究目的与意义(文献综述)
近年来,中国的微型汽车业快速增长,成为汽车行业中增长速度最快的车种之一,成为汽车生产和消费市场的重要拉动力量和生力军。中国的微型汽车在国际上也有着一定的竞争能力,在价格、质量等方面具有一定的比较优势,在开拓国际市场上形成了一定的实力。微型车行业之所以能保持增长势头,与行业自身的发展状况有着直接关系。
微型汽车一般是指发动机排量不超过1.1l,车身长度、宽度、高度不超过3.8m、1.6m和2m,最大载重量不超过600kg的汽车。微型汽车包括微型轿车、微型客车、微型货车[1]。
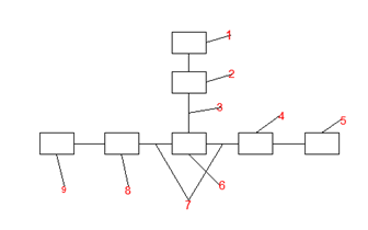
我国现有微型汽车大多为“前置后驱[2]”车,即发动机在汽车前方,通过传动装置,通过后轮驱动汽车行驶。微型汽车发动机与驱动轮之间的动力传动装置称为汽车的传动系,其性能的好坏直接影响汽车行驶性能的优劣。如图1为汽车传动系[3]示意图,后桥属于传动系统必不可缺的一部分,汽车传动轴接收来自汽车变速箱的动力,并把动力传递给后桥,从而驱动汽车的正常运行。
2. 研究的基本内容与方案
本设计的基本内容:分析研究微型汽车传动系统中后桥的传动效率,后桥的传动效率η等于其输出功率与输入功率之比,后桥的输入功率等于传动轴传递给后桥的功率,输出功率等于两个半桥的输出功率之和。传动轴与后桥的功率为p=mn/9550,因此只要得出传动轴工作时的转速与转矩以及两个半桥的转速与转矩即可得到传动效率。
本设计的目标:设计出一种实用性强、精度高、可靠性高的微型汽车后桥传动效率测量装置。

3. 研究计划与安排
1-3周:收集文献资料,完成开题报告;
3周:完成英语文献的翻译;
4-6周:确定设计方案,完成基本结构规划;
4. 参考文献(12篇以上)
[1]柳荣,节能微型车市场营销策略研究[j]。长春大学学报,2011(20)
[2]曹寅昌,汽车构造[m],湖北科学技术出版社,1989
[3]曹兴盛. 各因素对微车传动轴弯扭振动情况影响的研究[d].武汉理工大学,2012.


