基于Android的记账本应用设计与开发毕业论文
2020-02-16 12:02:18
摘 要
从记账诞生以来,人们总是用当下最先进快捷的技术进行记账工作。从古时候用记忆记账到后来手写记录账本,然后进入信息时代,人们开始使用计算机这一强大的工具进行记账工作,然而计算机记账有着时间和空间的局限性。随着近些年来手机的迅猛发展,一款能够随时随地记账的APP显然是不可或缺的。
本APP有着以下几点主要内容:
- 登录注册功能,能够防止他人查看自己的账户。
- 主页的账单功能能够展示最近的账单简略信息并且点进去能查看详细信息,当然还有添加账单的功能。
- 统计模块能够将数据进行一定的处理,在通过图表的方式展示出来,让你一目了然,有着直观的感受。
- 最后的个人中心能够添加预算,控制自己的消费。
本APP简单,便捷,可以实时记录自己的消费情况,不用受平台限制。本文对记账APP展开需求分析,然后是总体的设计以及功能模块的实现。经过测试,本APP有着简单,实用的特点。
关键词:Android;记账;APP
Abstract
Since the birth of accounting, people always use the most advanced and fast technology to do the accounting work. From ancient times, people began to use the powerful tool of computer to record books by memory, and then entered the information age. However, computer accounting has limitations in time and space. With the rapid development of mobile phones in recent years, an APP that can record at any time and anywhere is obviously indispensable.
This APP has the function of login and registration, which can prevent others from checking their accounts. The billing function of the home page can display the latest billing brief information and click in to see the details, of course, there is the function of adding bills. Statistical module can process the data to a certain extent, and display it in the form of charts, so that you can see it at a glance and have an intuitive feeling. Finally, personal centers can add budgets and control their own consumption.
This APP is simple and convenient. It can record its consumption in real time without platform restriction. In this paper, the demand analysis of Accounting APP is carried out, followed by the overall design and the realization of functional modules. After testing, this APP has the characteristics of simplicity and practicability.
Key Words:Android;Accounting;APP
目录
摘 要 I
Abstract II
第1章 绪论 1
1.1 项目背景及意义 1
1.2 国内外研究现状 2
1.3 相关技术 2
1.3.1 Android 简介 2
1.3.2 java语言 3
1.3 设计进度安排 3
第2章 需求分析 5
2.1 登录注册模块 5
2.2 账单模块 6
2.3 统计模块 6
2.4 个人中心模块 7
第3章 总体设计 9
3.1 系统总体设计 9
3.2 系统模块划分 9
3.3 数据库设计 10
第4章 功能设计与实现 11
4.1 登录注册功能实现 11
4.1.1 登录注册模块流程分析 11
4.1.2 登录注册模块功能代码 12
4.1.3 登录注册模块效果展示 13
4.2 账单功能实现 14
4.2.1 账单模块流程分析 14
4.2.2 账单模块功能代码 15
4.2.3 账单模块效果展示 17
4.3 统计功能实现 18
4.3.1 统计模块流程分析 18
4.3.2 统计模块功能代码 19
4.3.3 统计模块效果展示 21
4.4 个人中心功能实现 23
4.4.1 个人中心模块流程分析 23
4.4.2 个人中心模块功能代码 23
4.4.3 个人中心模块效果展示 24
第5章 系统测试 26
5.1 测试步骤 26
5.2 兼容性测试 26
5.3 功能性测试 26
第6章 总结与展望 29
6.1 总结 29
6.2 展望 29
参考文献 31
致谢 32
第1章 绪论
1.1 项目背景及意义
从古至今,记账都是每一个家庭、组织,乃至国家都在做的事。随着时代的发展,记账的手段也是不断变化,以前用账本记账,不但容易出错,事后查账时也是困难重重。后来有了电脑,依靠电脑的强大性能和丰富的软件,在记账上实现了大跨越,然而对于个人来说,用电脑记账仍然是很麻烦的,有着时间和空间的约束。
近几十年以来,中国经济发展势头迅猛,互联网相关的知名企业也涌现了一大批,人们每天使用手机和互联网的时间也是越来越长,而将这两者结合在一起的便是形形色色的APP。经过多年的发展,各式各样的APP已经在人类生活中扮演着极为重要的角色,人们的社交,购物,理财,工作,娱乐等等都依靠APP进行。尤其是新时代的消费,现如今大部分人身上是不带现金的,一切消费都通过网络进行。而这样的消费淡化了金钱意识,导致很多人花钱大手大脚,从而给生活带来不便。在这种情况下,一款记账APP显然是有理财意识的人日常生活不可或缺的。
首先是通信技术,5G通信的时代就要来了,相较于以往的4G时代, 5G拥有很多不一样的新特点, 那不仅仅是对4G、3G技术的简单继承,而是在全方面都有着巨大的提升[1]。而通信技术发展必将进一步带动手机APP的发展,日后APP的重要性将进一步增强。
记账APP对于普通人有以下几点意义:
- 弄清楚日常收支情况。单靠记忆是记不清自己的收支情况的,记账APP能够清楚的展示自己的收支情况。每个月赚了多少,花了多少,为自己下个月的规划提供信息。
- 弄清楚在哪里花了钱。记账APP能够详细展示每个月在饮食,交通等等种类上花费的钱,这样就能知道自己在哪方面花钱花的太多了,从而以后避免乱花钱。
- 培养理财意识。记录下自己的花费无疑是可以培养自己的理财意识的,有了一定的理财意识,进行科学的开源节流,生活将会变得更美好
1.2 国内外研究现状
而目前手机的操作系统经过一段时间沉淀后,以前的霸主塞班已经退出了历史舞台,Windows phone也支撑不住了,唯有Android还在和新霸主iOS抗衡。 Android是目前使用最多的系统之一,是由Google开发用来取代塞班的新系统[2]。两大系统各有优劣,IOS封闭但生态环境良好,品牌价值高。Android开放,但生态系统破碎。由于IOS的独占性,众多第三方厂商,包括国内众多手机厂商纷纷选用了Android系统,也因此占据了手机市场的大部分份额。不仅仅是在国内,在美国也是同样的情况,销量最高的三星同样采用的是Android系统,据调研报告显示其在美国占有很大的份额[3]。
我国学者王秋丽写过一篇论文《财务软件的现状及发展趋势》,她提出了我国财务软件的两个特色:一是随着财务意识扩大而不断扩大的规模,二是随之而来的亟待开发的市场。虽然我国的财务软件发展已经有着十几个年头了,但是早已度过早期的竞争期,进入了平缓期,特别是加入世界贸易组织之后,迎来的竞争将更加激烈 [4]。
不可否认的是国外因为起步比较早,在个人记账软件的普及率上是高于国内的,随着数据和信息技术的发展,对于记账软件对数据进行处理的功能将有着更高的要求[5]。
1.3 相关技术
1.3.1 Android 简介
Android的内核是Linux,是Google公司主持开发的一款开源系统[6]。在如今Android在市场上的情况下,大家对于安卓都十分了解,但是对于Android的内在,大家可能不是特别了解。这里将分别介绍Android主要的架构和几个主要组件,架构就相当于Android的骨骼,而组件是填充其间的血肉。
系统架构分别是Linux内核层、系统运行库层、应用程序框架层和应用程序层[7]。Android系统是基于Linux内核的,虽然因为版本的不同有着些微的差别,但是大体的功能还是不变的[8]。内核层除了常见功能,还扩充了一些功能比如硬件时钟、电源管理、内存分配和分享、Binder机制。但是不同版本的Android系统有着不同的Linux内核,所以功能上有着细微的差别。系统运行库层顾名思义是为了让系统运行起来所设立的,系统运行起来自然需要一些库来支持,这些库都是C/C 库,包含了SQLite库和Webkit库等等。当然还有Android最重要的Dalvik虚拟机。应用程序框架层能让让开发者在开发程序时方便一点,这层提供了API接口以方便快捷的进行程序开发。应用程序层是Android最上面的一层了,也是面对用户的,每个人每天使用的APP就是属于这一层的,包括系统应用和第三方市场下载的应用。
Android几个重要的组件分别是活动(Activity)、服务(Service)、广播接收器(BroadCast Receiver)和内容提供器(Content Provider)[9]。活动就是应用程序能够活动起来让你看见并使用的部分,也就是与用户交互的界面。服务是在底层为其他部分提供支持的部分,即时返回了桌面,也仍会继续工作,当然有一些手段可以及时制止。广播接收器提到广播,就该想到一种一对多的传递方式,这里同样如此,一个地方发出广播消息,其他部分都能收到,也是传递消息的一种方式,这样能通过收到的消息进行下一步操作。内容提供者这个是正经的程序之间传递信息的工具,例如通过QQ登录一些其他软件时,会调起QQ,就是这个在程序之间传递数据。
1.3.2 java语言
Java是一门面向对象编程语言 [10]。学过C 和java的人会发现两者的预言有很多的相似之处,因为java就是从C 脱胎而来,将C 中对人不友好的部分剔除,学习其中的精华,也因此成为一款简单又实用的语言。除此之外,还有跨平台的特点,使用Java语言编写的应用程序不受平台的限制,主要得益于Java Virtual Machine的应用,在这过程中,java程序的源码被转化为字节码,再通过JVM解释成机器码才能被平台执行,也称之为解释性。非法操作是令人头疼的东西,java语言的底层设计避免了这些,保证了安全性。运行时出错没有人想看到,java提供的类型检查和有效地异常处理防止这些情况的发生,保证了健壮性。进程内部有很多个进程一起运行无疑会提高效率,而java语言也支持这一点。
1.3 设计进度安排
第1周:与指导老师见面,了解和安排接下来的工作。
第2周:在老师的帮助下完成开题报告,选取了15篇参考文献以供阅读,并完成了5000字的外文翻译。
第3周:完成开发工作的硬件准备工作,包括开发环境的搭建和开发软件的配置
第4周:针对相关技术,包括Android开发,JAVA语言,数据库等进行进一步的学习。
第5周:完成APP基本框架的搭建和实现登录注册模块。
第6周:完成数据库设计和账单模块。
第7周:完成统计模块,并添加图,加入动画效果。
第8周:完成个人统计模块。
第9-12周:完善APP的开发并且初步完成论文的撰写。
第13-14周:在老师的修改意见下完成定稿。
第15-16周:完成论文答辩。
第2章 需求分析
作为一款日常记账APP主要的功能需求有:用户的登录和注册,添加交易,查看交易,统计查询。本小节从登录注册模块,账单模块,统计模块和个人中心模块四个模块进行分析。
2.1 登录注册模块
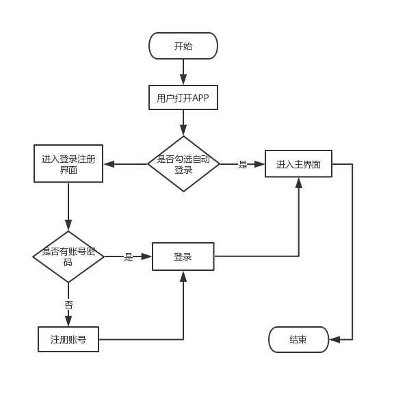
在点击应用图标后,先跳出登录注册界面,依次是账号、密码、登录。下方还有自动登录和注册选项,如果勾选自动登录,那么下次打开APP将会跳过这一步。如果没有账号,点击注册按钮进入注册界面,设定好账号密码后回到上一页,进行登录。表2.1就是该模块的用例说明,该模块的相关信息都在表中列出。
表2.1 登录注册模块用例说明
|
用例编号 |
UC1 |
用例名称 |
登陆注册模块 |
|
|
活动者 |
用户 |
优先级 |
高 |
|
|
描述 |
本用例描述记账APP的启动,到登录注册界面的结构布局和功能,包括登录与注册。 |
|||
|
前置条件 |
用户打开记账APP |
|||
|
基本流程 |
|
|||
|
拓展流程 |
如果没有账号密码,点击注册按钮,进入注册界面。 |
|||
|
异常流程 |
账号密码错误 |
|||
|
后置条件 |
进入主界面 |
|||
|
补充说明 |
由于能力的限制,目前只有单用户。 |
|||
2.2 账单模块
登录注册界面过后进入主界面,主界面上面是列表展示最近的账单信息,包括类别,金额和时间,点击单条信息进入详细信息界面,能看到当时记录时留下的备注和照片。下方有一个加号按钮,点击进入添加账单的界面,从上到下依次是金额、收入支出类型、消费类型、描述、添加照片和保存账目。最下面是APP的三个菜单,主页、统计和个人中心。表2.2是账单模块的用例说明,可以看出所有的相关信息。
表2.2 账单模块用例说明
|
用例编号 |
UC2 |
用例名称 |
账单模块 |
|
|
活动者 |
用户 |
优先级 |
高 |
|
|
描述 |
本用例描述主页的结构和功能,包括最近账单查看,添加账单。 |
|||
|
前置条件 |
通过登录注册界面进入。 |
|||
|
基本流程 |
|
|||
|
拓展流程 |
点击单个账单,进入详细账单界面 |
|||
|
异常流程 |
无 |
|||
|
后置条件 |
进入其他界面 |
|||
|
补充说明 |
主界面主要是添加账单,查看账单进入统计界面。 |
|||
2.3 统计模块
进入该模块后有四个选项,从上到下是日趋势、月度分类统计,年度分类统计。年度收支统计。日趋势点击进入后进入日趋势界面,顶端是月份选择,下方是该月支出总额,然后是一个折线图,横坐标是该月产生账单的日期,纵坐标是金额。最下方是一个列表,展示该月每天消费的总金额。月度分类统计布局类似,不过是环状图,分类依据是消费种类,如饮食、交通等。下方列表展示该月每个种类消费总金额。年度分类统计和年度收支统计与前两个相似,将月份改为了年份,并采用了柱状图。表2.3是统计模块的用例说明,简单的描述了相关信息。
表2.3 统计模块用例说明
以上是毕业论文大纲或资料介绍,该课题完整毕业论文、开题报告、任务书、程序设计、图纸设计等资料请添加微信获取,微信号:bysjorg。
相关图片展示:










