远程健康管理系统设计与实现毕业论文
2020-02-23 18:23:37
摘 要
本文主要采用了java加mysql的开发模式,开发了一个远程健康管理系统,本文主要讲述了现阶段国内外在远程健康管理方面的现状和存在的不足,基于这一点我决定开发一个远程健康管理系统。
论文主要研究了智能硬件在连接到平台之后的数据处理问题,在数据传送到后台之后,系统会进行数据的处理分析,发现有异常的数据会进行相关的提示。本系统还附带了数据统计的功能,系统可以统计过去录入的各项数据,并将数据以折线图的形式表现出来,为了更加直观的表达出趋势的变化,可以选择统计过去七天录入的数据。在开发完成之后,我还进行了完整的系统测试,在黑盒测试和压力测试之后,系统都能很好的完成任务。
研究结果表明:本系统可以比较良好的完成既定的任务,对老人的健康管理可以起到一定的作用,经过后期的优化可以更好的完成这个目标。
关键词:远程健康管理、Java、老人
Abstract
This article mainly adopts the development mode of java plus mysql, and develops a remote health management system. This article mainly describes the status quo and existing deficiencies of remote health management at home and abroad at this stage. Based on this, I decided to develop a remote health management system. .
The dissertation mainly studies the data processing problems after the intelligent hardware is connected to the platform. After the data is transmitted to the background, the system will perform data processing and analysis, and abnormal data will be prompted. The system also comes with the function of data statistics. The system can count the data entered in the past and display the data in the form of a line chart. In order to more intuitively express the trend changes, you can choose to count the data entered in the past seven days. After the development was completed, I also conducted a complete system test. After the black box test and the stress test, the system was able to complete the task very well.
The research results show that the system can complete the established tasks well and play a certain role in the health management of the elderly. After the later optimization, this goal can be better accomplished.
Key Words:Remote Health Management, Java, Seniors
目 录
第1章 绪论 1
1.1论文研究背景 1
1.2国内外发展现状 1
1.3研究意义 2
第2章 相关技术介绍 3
2.1 java技术 3
2.2 mysql技术 4
第3章 需求分析 4
3.1 需求分析概述 4
3.2 功能分析 4
3.3 可行性分析 4
3.4 性能分析 5
3.5 数据流图 6
第4章 系统概要设计 6
4.1 系统概要设计描述 6
4.2 系统结构概要设计 7
4.2.1 系统总体模块结构图 7
4.2.2 系统总体流程图 8
4.3 数据库设计 8
4.3.1 数据库概念设计 8
4.3.2 数据库逻辑设计 9
第5章 系统的详细设计与实现 10
5.1 录入数据模块设计 10
5.1.1 功能概述 10
5.1.2 处理流程 10
5.1.3 功能实现 11
5.1.4 代码分析 13
5.2 统计数据模块设计 13
5.2.1 功能概述 13
5.2.2 处理流程 14
5.2.3 功能实现 14
5.2.4 代码分析 14
第六章 系统测试 16
6.1 软件测试简介 16
6.2 系统测试 17
6.3 测试报告 18
第7章 总结与展望 19
第1章 绪论
1.1论文研究背景
在这个飞速发展的社会,人们的生活压力也越来越大,生活节奏加快,许多人都忽视自己的健康问题。其中老年人的健康问题尤其重要,许多老年人都是等到发病了再去医院,而这常常会导致错过了最佳的治疗时机,造成悲剧的后果。
虽然中国已经建立起了一套完善了老人医疗保障系统,但还是需要老人自己去医院做检查,这就导致许多老人嫌麻烦而不愿意去医院做定期检查,这时候有一个能随时查看老人健康信息的系统就尤为重要。
还有一个很重要的问题就是,中国的好医院挂号难,常常都是早上刚一开门一天的号已经没有了,手脚不便利的老人很难在挂号大军面前挂上自己想要的号,于是好多老人迫切的需要一款能够在家里,随时随地了解自己的健康状况的系统,让他们免去挂号的烦恼。
总而言之,为了让老人有更好的健康管理意识,减少在看病方面一些不必要的开销,在发病时及时就医,建立一套完成的远程健康管理系统是十分有必要的。这将有助于提高中国老人的平均寿命,让老人更少的感受病痛的烦恼。
1.2国内外发展现状
现代生活普遍压力较大,容易引起消极痛苦的应激,导致不良情绪甚至滋生各类慢性病。针对上述问题,采用可穿戴式传感设备实时采集个体生理信号,利用心理和生理的伴生关系,对个体的心理压力进行长期实时评估[1]。
可穿戴设备即可直接穿戴在身上,或者是整合到衣服上的一个配件,可穿戴设备不仅是一种硬件设备,还可以通过软件的交互操作来实现更多强大的功能[2]。
现阶段健康管理类的软件主要的工作模式是通过一些智能硬件收集穿戴者的血压、心率、血糖等信息,然后穿到后台进行数据分析,以图表化的方式展现出来,对一些异常数据进行高危提醒,通知用户去就医。国外的健康管理平台有苹果的HealthKit、谷歌的Google Fit。国内的有百度的dulife,小米的小米运动[3]。
由于中外的医疗模式的不同,在一些发达国家的电子病历已经基本完成,目前在进行全国医疗信息化系统的建立[4]。1988年,英国国家医疗服务体系(NHS)提出为每一位公民建立一个永久的电子病历并让这个电子病历联网,所有的有医师资格证的医生都可以看到这些病历,这有助于医生快速的了解病人的基本情况,让病人能更好的就医,截止目前为止,已经基本完成了电子病历的制作[5]。
国内健康管理还没有找到合适的出路,大家都是在摸索的阶段。因为政策的不支持,而且带病保险不放开。所谓的健康管理只是商人为了逐利的一个工具,其目的是为了获取更多的利益,为了增强商业保险的竞争力,通过这类方式来节约成本,以达到更多的医疗利益[6]。
健康管理的定义比较明确,它是对人进行数据的采集、分析,对人的健康状况进行评定,其主要模式是预防为主,提醒为辅。最终达到让人从亚健康状态慢慢的转变成健康的状态,最终的目的是减少疾病的发生,使得医疗的费用降低[7]。
在一些农场中,进行了一项实验,选择50个高血压患者作为观察者,50个高血压患者作为对照组。对照组注射药物进行治疗,通过远程健康管理系统进行数据的记录。三个月后,观察组的血压明显低于对照组,可以得出的结论是远程健康管理模式在社区血压防治中的应用可以提高患者的血压达标率[8]。
根据国外经验,在健康管理方面每投入1元钱,可以有效降低因慢性病而导致的死亡人数,并减少以后 6 — 9 元钱甚至更多的医疗费用开支[9]。
再来说说国内的现状,目前我国的健康管理远远没有国外的系统,国内管理乱象丛生,关于健康管理的运作有着十分模糊的认识。虽然政府已经开始重视健康管理,但是由于基建还没有做好,导致政府心有余而力不足。这个社会对健康管理更多的是一种概念性的东西,实际操作还有许多需要商榷的地方。结合我国的国情,我国人均GDP还处于世界中下游地位,许多人民都游离在贫困线边缘,我国经济又是发展极度不平衡,整体呈现东部发达,西部落后,南方发达,北方落后的趋势。这两方面的原因导致我国相当一部分人没法接触到良好的健康管理,这也是我国健康管理迟迟没法向前推进的一部分原因[10]。
上文说到中国国情,中国国情也导致国人对健康管理有个误区,国人普遍认为健康管理是富人的专属品,穷人只能生病了才去看医生,这点是极其不对的。有研究表明,中国人中最不健康的那百分之一的人和患有慢性病的百分之十九的人一共用于去中国医疗费用总和的百分之七十[11]。以上可以看出健康管理并不是富人的专属品,相反的,穷人更加应该注意健康管理,不然未来消耗在健康上的费用会比现在多得多[12]。
中国人对健康管理的人群也有一个误区,他们认为只有那些已经生病了的人才需要健康管理。其实,那些处于亚健康状态和患有慢性病的人才是最需要健康管理的人群。健康管理其实更多的是一种防患于未然。事实上,许多慢性病和癌症在发病初期是可以通过现有的技术完全治愈的,遗憾的是大部分人没有健康管理的意识,这就导致患者一旦发现自己发病了,往往都是无药可救的地步了。
中国正处于一个慢性病发病的高速增长期,虽然每年发病的人数都在增加,但我国人民对于慢性病的了解知之甚少,高血压群体中,有百分之六十都不知道自己有高血压,高血压得到有效控制的人群只占总人群的百分之六点一。因此,在中国大力推行健康管理是十分有必要的[13]。
根据世界卫生组织的研究表明,人类所有的疾病中,有三分之一是可以通过先天条件和环境避免的,有三分之一是可以通过早期的治疗避免的,还有三分之一通过积极的治疗可以提高存活率的[14]。由此可见,健康管理更多的是看自己的认识是否到位,如果对健康管理有一个十分清晰的认识,那么自然会时常去管理自己的身体。健康管理就是根据每个人的不同的情况,用科学的,现代的医疗方法设计一套有效的健康管理方案,充分利用现有的科技,医疗资源,来做到将不健康的因素降到最低。还可以让那些已经处于不健康生活状态的人及早的拉回健康的生活方式,使得人们从以前那种被动的医疗变成主动的疾病预防,帮助人们把握自己的身体健康[15]。
1.3研究意义
这套系统的建立可以有效的预防疾病,提高老年人的寿命,老人通过这套系统,能及时的掌握自己的身体信息,可以尽早的预防潜在的疾病,改善老人的生活方式,提高老人的生命质量。
这套系统还可以降低个人的医疗费用,通过健康管理系统,及时的观察和测量某些疾病,发展有关的医疗应对措施,可以降低个人的医疗费用。
在保护用户隐私的情况下,这套系统还可以帮助建立中国的医疗大数据,使个人健康档案信息化,医院和这套系统结合,能快速的有效的对症下药,使用户能更加便捷高效的就医。
第2章 相关技术介绍
2.1 java技术
Java是一门面向对象编程语言,它不仅拥有了C 语言的各种优点,还摒弃了C 里难以理解的多继承、指针等概念,因此Java语言具有功能强大和简单易用两个特征。Java语言作为静态面向对象编程语言的代表,极好地实现了面向对象理论,允许程序员以优雅的思维方式进行复杂的编程。Java最大的特点就是它是运行在java虚拟机上的,所以任何设备只要装有java虚拟机都可以运行java程序,可移植性十分的强,这也是java如此受欢迎的原因之一。
Java还有一大特点就是它的语言十分的严格,编写java的人代码习惯都很好,且java每一代的版本都对前代有良好的兼容性。不同于Python,Python 3 就不兼容Python 2,且两者的众多语言风格都已经改变。Java从诞生至今就一直良好的遵循着代码之美。
Java具有简单性、面向对象、分布式、健壮性、安全性、平台独立与可移植性、多线程、动态性等特点。而且Java还可以编写桌面应用程序、Web应用程序、分布式系统和嵌入式系统应用程序等[10]。
2.2 mysql技术
由于其体积小、速度快、总体拥有成本低,尤其是开放源码这一特点,许多中小型网站为了降低网站总体拥有成本而选择了MySQL作为网站数据库。MySQL是一个多用户、多线程的关系型数据库管理系统。 工作模式是基于客户机/服务器结构。目前它可以支持几乎所有的操作系统,同时也可以和php完美结合。
第3章 需求分析
3.1 需求分析概述
只有做好了需求分析,才能知道自己要开发一个什么样的软件,这关系到软件最终是否能够顺利的开发完成。需求分析的主要任务就是搞清楚我需要做一个什么样的软件,能实现哪些功能,能达到用户的哪些需求。这是系统开发的基础,一个好的软件第一步就是做好需求分析。
3.2 功能分析
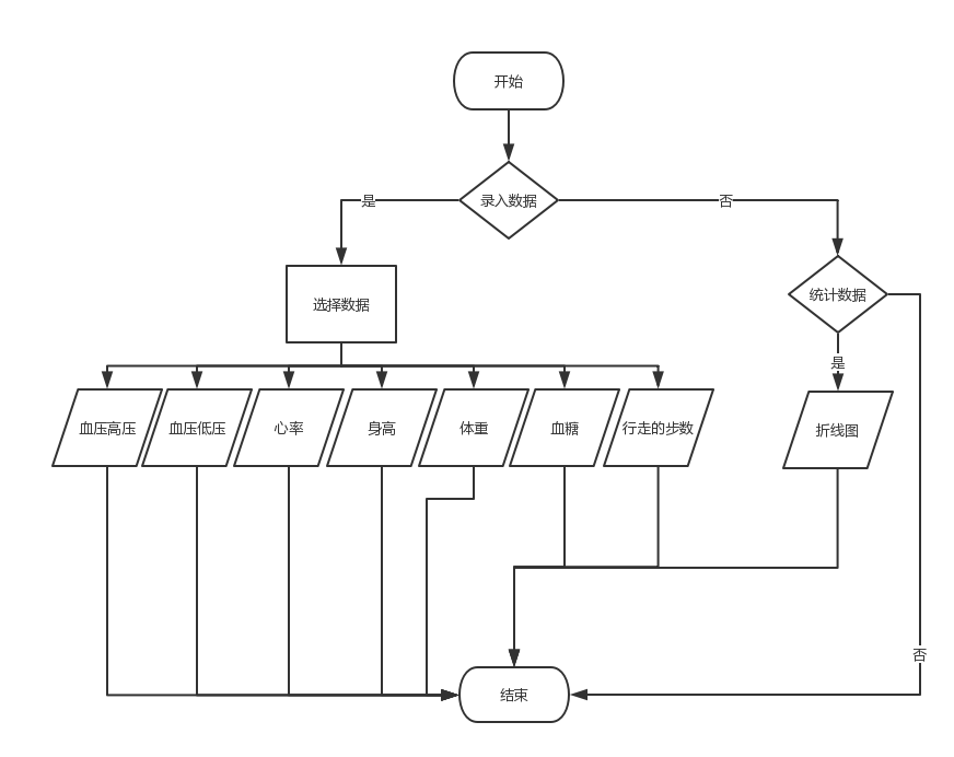
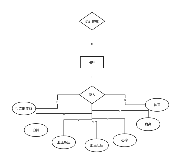
这个系统根据需要,首页是录入数据和统计数据。本系统有两个关键性的模块,一个是录入数据,就是服务器端接收智能硬件传送过来的各类信息。另一个是将接收过来的信息进行统计,并以折线图的形式进行表现。由于是健康管理系统,所以暂时没事做多用户的考虑,所有的录入信息都是默认单用户的。
3.3 可行性分析
这个系统能很好的解决中国人不注重自身身体健康的问题,让老人能随时了解自身的身体状况,发现病情及时就医。在如今健康问题如此重要的时候,科技也应该做些什么来提升健康指数,提高老人的生活指数。
整个系统的开发过程没有任何违背中华人民共和国的相关法律,软件中涉及到的所有数据均来自网络,绝对安全可靠。软件的运行过程也不会造成隐私泄露的问题,是一个纯粹的信息管理类的产品。
这个系统十分容易上手,整个页面干净简洁,数据录入过程一目了然,数据的统计也十分的清晰。这样的好处有两点,一方面方便数据的录入,也方便各方对系统内部数据的一个查询整合操作。
3.4 性能分析
随着科技的进步,设备的架构越来越复杂,设备能允许的空间复杂度也越来越高,所以系统的目标是在空间复杂度和时间复杂度上寻求一个动态平衡,在一定范围内尽可能的利用空间复杂度来换取更快的响应时间,让用户等待的时间更短,使软件拥有更好的用户体验。
1.用户特点
在平时的生活中比较注重自己身体健康,懂得保养自己的身体。用户群体以老年人为主,随着人年龄的增大,如果不注重生活习惯,则会很容易就生病,有些老人及时还没发病,但是也处于亚健康状态。一旦发病,往往会造成不可挽回的后果,所以这类用户群体会时刻关注自身身体状况,一有异常,马上就医。本系统在其中充当一个预警的作用。
2.处理时间要求
系统响应时间:lt;2S
数据转换时间:lt;2S
数据传送时间:lt;2S
3.数据存储要求
记录条数:gt;10000条
4.其他要求
稳定性:软件在系统正常运行的情况下,能保证完成规定的各项功能。严格按照规格说明的要求,无功能遗漏,无功能额外实现。
可移植性:由于本系统采用java开发,故可以移植到任何支持java虚拟机的设备上。在移植之后,还能完整的保留系统特性。
可维护性:本系统各个接口开放,代码注释明确,方便日后进行维护和需求变更。
5.运行环境要求
Windows XP及以上操作系统,安装有JRE,MySQL。
3.5 数据流图
为了更加清晰的、直观的表达出系统的各个部分的关系,我将在下文中采用数据流图的形式展现整个系统。如图3-1所示:
图3-1 数据流图
说明:本系统主要处理的是智能硬件将数据输送到后台之后的数据处理展示过程,为更加直观的展示系统的功能,这里采用了人工录入数据的形式来模拟智能硬件的数据录入过程。
第4章 系统概要设计
4.1 系统概要设计描述
本系统是远程健康管理系统,所以其主要功能是健康管理,暂时没有考虑智能硬件的接口连接问题,在数据传送到数据库之后,系统会对录入的数据进行一个归类整理,然后进行数据的统计,目前初步设定的是统计过去一周的数据,以折线图的形式表现出来,绘图采用的是java.awt包里面的graphics类。
代码如下:
public void paint(Graphics g,int[] high,int[] low) {
super.paint(g);
g.clearRect(0, 0, this.getWidth(), this.getHeight());
g.setColor(Color.black);
g.drawLine(120, 360, 550, 360);
以上是毕业论文大纲或资料介绍,该课题完整毕业论文、开题报告、任务书、程序设计、图纸设计等资料请添加微信获取,微信号:bysjorg。
相关图片展示:








