变电站智能巡检后台系统的设计与开发毕业论文
2020-02-23 18:20:08
摘 要
变电站巡检肩负着保证输电稳定可靠的重任,如今电网设备规模快速增长,外部环境更加复杂的发展趋势,但是运检人员数量无法同步增长的情况下,而变电站巡检效率与准确性是影响电力行业生产过程中的关键。变电过程的正常关系到电力运输的安全性和可靠性,因此需要对电力系统变电过程的设备状态和设备维护进行监控和管理,这能够规范变电站巡检的管理工作,同时能够对运行在变电过程中的设备进行管理。
电网的稳定运行关键是在于变电站的询价,本文以某电力公司变电巡检的需求为基础,进行深入的调研和分析,采用计算机和互联网资源相结合的先进管理手段对变电站巡检进行综合性的管理,针对巡检业务开发了变电站智能巡检后台系统,帮助电力公司提升管理水平,推动电力行业发展。
文章对系统需求进行全面分析,设计了系统总体架构和数据库,采用B/S开发模式,通过MVC三层架构进行设计,利用面向对象的系统设计方法,以IntelliJ IDEA为开发工具,MySQL为后台数据库,使用JAVA语言及UML建模进行系统开发。本文的主要内容包括:(1)分析了国内外变电站智能巡检方面的研究现状,结合电力公司的变电站巡检管理制度和企业发展,提出了本文的研究路线和设计思想,并详细描述了本文采用相关技术方法的原因。(2)针对电力公司变电站巡检特点,设计并实现变电站智能巡检后台系统,实现变电站设备巡检、带电检测、倒闸操作、缺陷管理、运维和计划管理等功能。并且实现了支撑作业移动端APP运行的接口。
系统界面友好,操作简单,它为变电站巡检提供优质服务,降低了管理成本,提高了企业管理效率。
关键词:变电站;巡检;Hibernate
Abstract
Substation inspections shoulder the burden of coordinating power production resources and ensure the stability and safety of power equipment operations. Faced with rapid growth in the scale of power grid equipment and a more complex development trend in the external environment, in the case where the number of transport inspection personnel cannot be synchronized, the inspection of power company substations is the key to the production process in the power industry. The normality of the substation process is related to the safety and reliability of the electric transport. Therefore, it is necessary to monitor and manage the equipment state and equipment maintenance of the electric power system substation process. This can standardize the substation inspection and management work, and can The equipment in the substation process is managed.
The key to the stable operation of the power grid lies in the inquiry of the substation. Based on the requirements of a power company's power transformation inspection, this paper conducts in-depth investigation and analysis, and integrates the advanced management means of computer and Internet resources to comprehensively inspect the substations. Sexual management has developed a substation intelligence inspection background system for the inspection business to help power companies improve their management level and promote the development of the electric power industry.
The article makes a comprehensive analysis of system requirements, designs the overall system architecture and database, adopts the B/S development model, designs through the MVC three-tier architecture, uses an object-oriented system design method, uses IntelliJ IDEA as a development tool, and MySQL as a back-end database. , using JAVA language and UML modeling for system development. The main contents of this paper include: (1) Analyze the research status of intelligent patrols in domestic and foreign substations, combine the power company's patrol inspection management system and enterprise development, and propose the research route and design idea of this paper, and describe this article in detail. The reason for adopting related technology methods. (2) Based on the inspection characteristics of the power company's substation, it designs and implements a substation intelligence inspection background system to realize the functions of substation equipment inspection, live detection, switching operation, defect management, operation and maintenance, and program management. And the interface supporting the operation of the mobile terminal APP is realized.
The system has a friendly interface and is easy to operate. It provides quality services for patrol inspection of substations, reduces management costs, and improves the efficiency of corporate management.
摘 要 1
Abstract 2
第1章 绪论 4
1.1 论文的研究背景及意义 4
1.1.1 论文研究背景 4
1.1.2 论文研究意义 5
1.2 国内外研究现状 5
1.2.1 国外的研究现状 5
1.2.2 国内的研究现状 5
1.2.3 论文的组织结构 6
第2章 相关技术介绍 6
2.1 JavaEE技术 6
2.2 三层架构 7
2.3 MVC模式 8
2.4 Mysql数据库 9
2.5 shiro框架 9
2.6 本章小结 10
第3章 系统需求分析 10
3.1 可行性分析 10
3.2 功能需求分析 11
3.2.1 设备巡视功能 11
3.2.2 带电检测功能 12
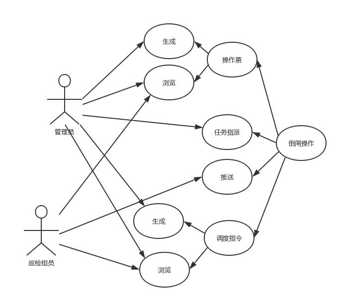
3.2.3 倒闸操作功能 12
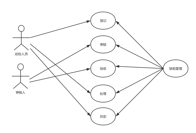
3.2.4 缺陷管理功能 13
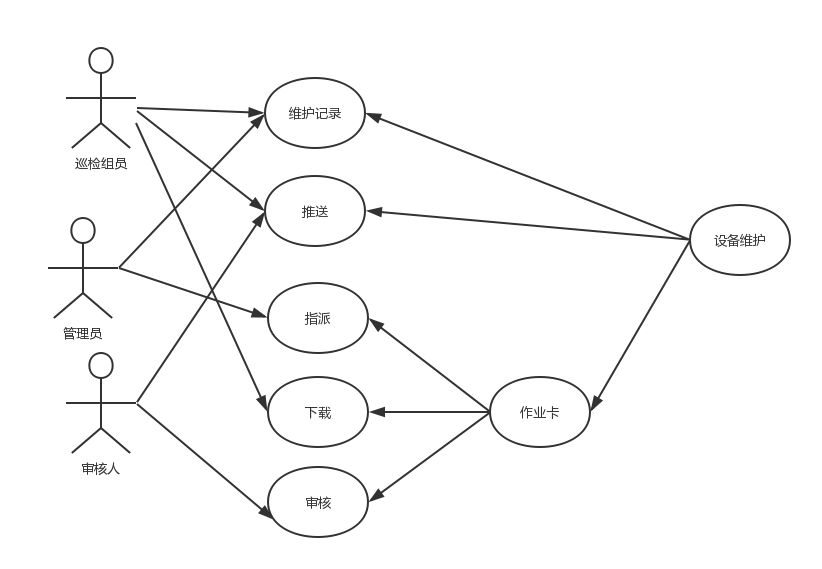
3.2.5 运维功能 13
3.2.6 计划管理功能 14
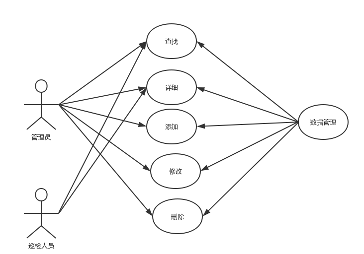
3.2.7 数据管理功能 14
3.2.8 系统管理功能 14
3.3 用户用例分析 14
3.3.1 设备巡视功能用例图 14
3.3.2 带电检测功能用例图 15
3.3.3 倒闸操作功能用例图 17
3.3.4 缺陷管理功能用例图 18
3.3.5 运维功能用例图 19
3.3.6 数据管理用例图 19
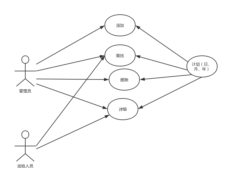
3.3.7 计划管理功能用例图 20
3.4 非功能需求分析 21
3.5 本章小结 22
第4章 系统设计 22
4.1 系统设计原则 22
4.2 系统架构设计 23
4.3 系统模块设计 23
4.3.1 通用任务指派设计 24
4.3.2 数据管理功能模块设计 26
4.3.3 任务计划功能模块设计 27
4.3.4 登录功能模块设计 27
4.4 数据库设计 28
4.4.1 数据管理数据库表 28
4.4.2 一般作业卡数据库表 31
4.4.3 缺陷管理数据库表 35
4.4.4 用户管理数据库表 35
4.5 本章小结 36
第5章 系统实现 37
5.1 实现架构 37
5.1.1 SpringMVC Spring Hibernate整合 37
5.2 系统模块实现 47
5.2.1 缺陷管理模块 47
5.2.2 数据管理模块 47
5.3 本章小结 53
第6章 结论与展望 53
6.1 结论 53
6.2 展望 53
绪论
论文的研究背景及意义
论文研究背景
近年来,以互联网技术为核心的新一轮技术变革,德国的“工业4.0”和美国的“工业互联网”,深刻地影响着传统产业的发展。[1]我国提出了“11个互联网 ”行动计划包含了智慧的能量,在2015年7月,将上升到国家战略层面的行动计划。[2]大力推进“互联网 ”业务的融合是一个国家的电网公司的重要战略之一。
电网面临着以下三点挑战:
- 电网规模快速增长与运检人员配置的矛盾日益突显
面对电网设备规模快速增长,外部环境更加复杂的发展趋势,在运检人员数量无法同步增长的情况下,积极探索智能操作检测技术,提高人员素质,提高技术水平,是操作检测专业发展的必由之路。[3]
- 影响电网安全的风险因素将长期存在
输电线路(跨越高速铁路、高速公路、重要线路)的“三跨”关系到公共安全和电网安全。在特高压长距离输电线路沿线,长期存在雷电、结冰、风灾、山火、泥石流等自然灾害和外力破坏引起的大面积停电危险因素。[4]
- 传统运检模式难以适应电网发展及体制变革要求
在传统的运检模式中,信息采集模式是传统的,源是单一的,设备的状态感知仍然是基于停电检测和离线试验,以及在线监测、现场检测等先进手段。探测、机器人、无人机等先进手段和数据利用率不高。[5]
论文研究意义
为避免设备缺陷的加重或异常运行条件的扩大,将引起电网事故。随着电网的发展,无人值班变电站的数量不断增加。保障电力设备安全稳定运行,排除电力设备安全隐患的最基础方式是电力设备巡检。检查员通过对电力设备的检查来评估电力设备的状态,进而安排人员对电力设备进行维护。本系统使用互联网技术提高巡检的正确性,加快巡检的效率。进而满足电网规模迅速发展,巡检量增大的变化。保证国家输电变电稳定可靠。
国内外研究现状
国外的研究现状
国外在电气领域这方面积累了很多的经验科技成果和经验,因此,在进行具体研究之前,我们可以对国外现有的研究成果进行分析和研究。这可以借鉴国外一些科技成果,避免重复研究。通过对IEEE和EI中发现的国外信息的分析可知,国外电力巡检,尤其是变电站巡检,通常采用智能机器人和视频监控等检测模式,前者通过自动记录收集信息。机器人提供位置信息,并将检测结果存储在数据库中。后者主要使用高分辨率图像模式来识别信息。它们大多是建立在地理信息系统上,然后利用GPS提供经纬度定位信息,并将检测结果输入到大型数据库中。收集信息的唯一途径是收集信息。然而,人工检测的独特适应性和灵活性使其仍然占据着电力检测的主导地位。[6]
国内的研究现状
电网是国家电力传输的命脉,保证电网安全运行,必须要保证电力设备巡检的高效性和准确性。
2007年,宜宾电业局通过科技项目,在220kV龙头变电站建立了变电站设备巡视管理信息系统,实现了变电巡视高效率地进行巡视数据采集,对设备巡视数据进行科学的统计分析,同时为生产规划、基建等管理人员提供决策数据依据。[7]
湖州电力局与杭州雷鸟计算机软件有限公司共同开发了一套基于标准化操作的变电站检测系统,解决了变电站现场运行指令内容多、不适合于变电站检测操作参考的问题。减少变电站设备的数量,必然会有漏检、漏检的可能性。系统提高了设备的巡检效率,系统强大的查询、信息传递、数据共享等功能以及完善的设备管理和缺陷处理流程使变电运行管理工作更趋信息化、标准化。[8]
论文的组织结构
本文主要结构如下:
第1章:绪论。介绍了本文的研究背景和意义,详细介绍了变电站智能检测的发展现状,阐明了本文的主要研究内容和结构。
第2章:相关技术介绍。介绍了系统设计和实现所需的技术和工具,为下一步的系统设计和开发提供了技术依据。
第3章:系统需求分析。根据系统的开发过程,分析了系统的功能需求和非功能需求,并从用户的角度完成了用户案例分析。
第4章:系统设计。利用流程图等软件工程设计工具,介绍了系统的设计原理、体系结构设计、功能模块设计和数据库详细设计。数据库的详细设计包括数据库的逻辑设计和数据库表的创建。
第5章:系统实现。介绍变电站智能巡检后台系统各个模块的实现,页面截图和部分代码。
第6章:结论与展望。对本文现有的功能进行汇总,并对下一步的研究方向进行展望。
相关技术介绍
JavaEE技术
JavaEE Java平台企业版,以前称为Java 2 Platform Enterprise Edition J2EE,是Sun的企业应用程序标准平台。Java EE(是基于Java SE而发展出来的一套规范接口)、Java SE(JDK JVM以及自带的API合集的具体实现)和Java ME(是一套运行专门为嵌入式设备设计的API接口规范)三个版本构成Java大平台。Java EE(Java企业平台)是社区驱动型(由优秀社区驱动)企业软件的标准。Java EE是一套标准,是不包括实现的。 Java EE是使用Java社区推动开发的,来自行业专家,商业和开源组织,Java用户组以及无数个人的贡献。 发行版集成了满足行业需求、提高应用程序的可移植性和提高开发人员生产力的新特性。[9]
JavaEE平台使用简化的编程模型。XML部署描述符是可选的。相反,开发人员只需将信息直接注释到Java源文件中,并在部署和运行时配置JavaEE服务器的组件。这些注释通常用于嵌入程序数据,否则数据将在部署描述符中提供。通过注释,您可以将规范信息放入受影响程序元素旁边的代码中。
三层架构
三层架构模型概述
三层架构是一种客户端 - 服务器软件架构模式,其中用户界面(表示层),功能处理逻辑(业务层),计算机数据存储和数据访问(持久化层)作为独立模块开发和维护,通常在独立平台上。
除了具有定义良好的接口的模块化软件的常见优势之外,三层体系结构的设计是为了允许三层中的任何一层被升级或替换,而不受需求或技术变化的影响。 例如,表示层中操作系统的更改只会影响用户界面代码。
通常,用户界面在桌面PC或工作站上运行,并使用标准图形用户界面功能处理逻辑,该逻辑可以包括在工作站或应用服务器上运行的一个或多个独立模块。数据库服务器或主机上的RDBMS包含计算机数据存储逻辑。 中间层本身可能是多层的(在这种情况下,整个架构被称为“n层架构”)。三层架构如图 2.1所示。

图 2.1
- 表示层 - 这是应用程序的最高级别。呈现层显示与浏览、购买、购物车内容和其他服务相关的信息。它与其他层通信,并通过这些层将结果输出到浏览器/客户端层和网络中的所有其他层。简而言之,它是用户可以直接访问的一个层(例如Web页面或操作系统的GUI)。
- 应用程序层(业务逻辑,逻辑层或中间层) - 从表示层提取逻辑层并作为其自身层,通过执行详细处理来控制应用程序的功能。
- 数据层 - 数据层包括数据持久化机制(数据库服务器、文件共享等)和封装持久机制,并公开数据的数据访问层。数据访问层应该为应用层提供API,以公开管理数据存储的方法,而不暴露或创建对数据存储机制的依赖性。避免依赖存储机制允许进行更新或更改,而应用程序层客户机不会受到甚至不知晓更改的影响。就任何层级的分离而言,实施成本和性能成本通常都会改善可扩展性和可维护性。
MVC模式
1.什么是MVC?
以上是毕业论文大纲或资料介绍,该课题完整毕业论文、开题报告、任务书、程序设计、图纸设计等资料请添加微信获取,微信号:bysjorg。
相关图片展示:









